Sub-Surface Defect Depth Approximation in Cold Infrared Thermography
Abstract
1. Introduction
2. Materials and Methods
3. Experimental Results and Discussion
3.1. Image Data Preprocessing
3.2. Temperature Evolution in Time
- (a)
- Heat diffusion in solid occurs on a pure conduction basis;
- (b)
- The cold flux can be described as a square pulse characterised by the maximum density of absorbed power density and the stimulation duration ;
- (c)
- Adiabatic conditions can be accepted, meaning there is no energy exchange from both front and rear surface;
- (d)
- Boundaries between the host material and air-filled defects can be regarded as adiabatic, meaning ;
- (e)
- First internal reflections, or reverberation, of the energy pulse between the air gap defect and the sample surface are considered to be the most dominant, meaning in Equations (8) and (9).
- (a)
- Based on a 1D square-pulse model, both maximum (end of stimulation) and minimum (a long time after stimulation) temperatures depend on pulse duration, absorbed energy of the pulse and defect depth; see Equation (11). However, the ratio between maximum and minimum is strictly proportional to pulse duration and defect depth; see Equation (12). In practice, the specimen temperature decreases slowly to the ambient level, meaning the contrast curve decays to zero. This is due to 3D heat diffusion.
- (b)
- A shorter pulse tends to generate a greater ratio of maximum minimum temperature due to the fact that, in short pulse, only the near-surface layer of medium is being stimulated and the energy dissipates faster and stronger after a shorter pulse [30]. Table 3 shows some of the estimated temperature characteristics derived from 1D square-pulse equation. It is known from Equations (11) and (12) that the ratio between and in square pulse is mainly controlled by the pulse duration and it is independent of . However, for deeper defects, not only the decrease in , but also increasing depth has an exponential effect on significant increase in ratio, ; see the highlighted comparison in Table 3.
- (c)
- Both maximum temperature and maximum temperature contrast (contrast peak) occurrence time tend to be earlier for longer pulse durations compared to shorter pulse [43].
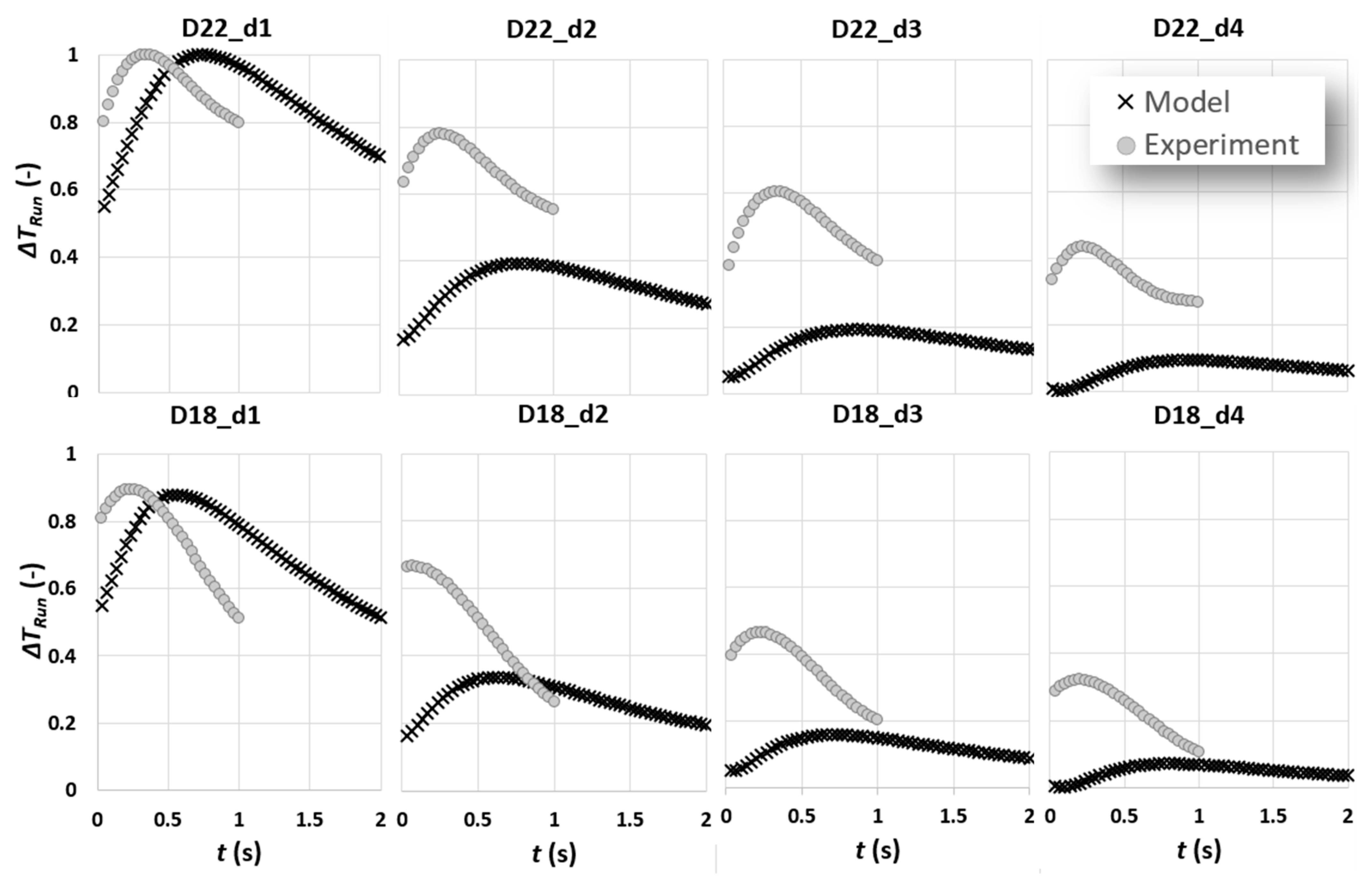
3.2.1. Running Contrast Peak Time
3.2.2. Running Contrast Peak Amplitude
3.3. Proposed Analytical Model
- First-order effect of pulse duration on temporal characteristics (contrast peak occurrence time) of both temperature and contrast peak;
- The first-order effect of depth on amplitude of contrast peak.
- Except for the results of defects of depth 1 mm, there is an offset between experimental and analytic contrast peak amplitudes. It was found that this is due to the contrast adjustment process known as “Automatic Gain Correction” or “AGC” occurring in the camera software. In linear AGC, 14-bit digital data are transformed based on a linear transformation function to 8-bit colour intensities. The weakness of linear AGC is, however, quite pronounced in scenes characterised with bi-modal histogram of intensities in which some areas with very high or low intensities can be, respectively, over-enhanced or under-enhanced (which is exactly the case for subsurface defect detection) [22]. This can result in loss of important information, which, in case of a dynamic scene similar to what has been configured in this work, can translate to loss of key information from contrast evolution data. A detailed discussion of linear and nonlinear contrast enhancement in subsurface defect detection using cold thermal imaging has been addressed through authors’ previous works [22,23]. Here, the automatic mode of AGC using nonlinear transformation function is used, in which the entire intensity range available in 14-bit thermal data has been transformed to 8-bit colour intensity. The adjustment of contrast in each frame is heavily based on the available range of intensities. In thermal images of subsurface defects, the range of intensities is highly dependent on the presence of very dark (defect) and very light (reference) intensities. As a result, we compared the ratio of contrast peak for the model and experiments.
- 2.
- For all experimental contrast evolutions, there is an offset in terms of contrast peak occurrence time in a way that the contrast peak occurs earlier than its equivalent model peak. This can be attributed to two phenomena: first, the fact mentioned previously addressing the latency of capturing experimental results as a result of current experimental setup or ; second, the duration of complex cooling processes over a defect, which is simplified to a square pulse, might not be accurately measurable.
3.4. Dynamic Time Wrapping for Defect Depth Prediction
4. Conclusions
Author Contributions
Funding
Institutional Review Board Statement
Informed Consent Statement
Data Availability Statement
Conflicts of Interest
References
- Doshvarpassand, S.; Wu, C.; Wang, X. An overview of corrosion defect characterization using active infrared thermography. Infrared Phys. Technol. 2019, 96, 366–389. [Google Scholar] [CrossRef]
- Huang, H.; Huang, M.; Zhang, W.; Pospisil, S.; Wu, T. Experimental investigation on rehabilitation of corroded RC columns with BSP and HPFL under combined loadings. J. Struct. Eng. 2020, 146, 4020157. [Google Scholar] [CrossRef]
- Wang, P.; Wang, L.; Leung, H.; Zhang, G. Super-resolution mapping based on spatial–spectral correlation for spectral imagery. IEEE Trans. Geosci. Remote Sens. 2020, 59, 2256–2268. [Google Scholar] [CrossRef]
- Du, Y.; Qin, B.; Zhao, C.; Zhu, Y.; Cao, J.; Ji, Y. A novel spatio-temporal synchronization method of roadside asynchronous MMW radar-camera for sensor fusion. IEEE Trans. Intell. Transp. Syst. 2021, 1–12. [Google Scholar] [CrossRef]
- Huang, H.; Huang, M.; Zhang, W.; Yang, S. Experimental study of predamaged columns strengthened by HPFL and BSP under combined load cases. Struct. Infrastruct. Eng. 2021, 17, 1210–1227. [Google Scholar] [CrossRef]
- Li, Y.; Che, P.; Liu, C.; Wu, D.; Du, Y. Cross-scene pavement distress detection by a novel transfer learning framework. Comput.-Aided Civ. Infrastruct. Eng. 2021, 36, 1398–1415. [Google Scholar] [CrossRef]
- Liu, C.; Wu, D.; Li, Y.; Du, Y. Large-scale pavement roughness measurements with vehicle crowdsourced data using semi-supervised learning. Transp. Res. Part C Emerg. Technol. 2021, 125, 103048. [Google Scholar] [CrossRef]
- Tang, Y.; Liu, S.; Deng, Y.; Zhang, Y.; Yin, L.; Zheng, W. An improved method for soft tissue modeling. Biomed. Signal Process. Control. 2021, 65, 102367. [Google Scholar] [CrossRef]
- Wei, J.; Xie, Z.; Zhang, W.; Luo, X.; Yang, Y.; Chen, B. Experimental study on circular steel tube-confined reinforced UHPC columns under axial loading. Eng. Struct. 2021, 230, 111599. [Google Scholar] [CrossRef]
- Zhang, H.; Liu, Y.; Deng, Y. Temperature gradient modeling of a steel box-girder suspension bridge using Copulas probabilistic method and field monitoring. Adv. Struct. Eng. 2021, 24, 947–961. [Google Scholar] [CrossRef]
- Zhao, C.; Liao, F.; Li, X.; Du, Y. Macroscopic modeling and dynamic control of on-street cruising-for-parking of autonomous vehicles in a multi-region urban road network. Transp. Res. Part C Emerg. Technol. 2021, 128, 103176. [Google Scholar] [CrossRef]
- Zhou, G.; Deng, R.; Zhou, X.; Long, S.; Li, W.; Lin, G.; Li, X. Gaussian inflection point selection for LiDAR hidden echo signal decomposition. IEEE Geosci. Remote Sens. Lett. 2021, 19, 1–5. [Google Scholar] [CrossRef]
- Zhou, G.; Li, C.; Zhang, D.; Liu, D.; Zhou, X.; Zhan, J. Overview of underwater transmission characteristics of oceanic LiDAR. IEEE J. Sel. Top. Appl. Earth Obs. Remote Sens. 2021, 14, 8144–8159. [Google Scholar] [CrossRef]
- Zhou, G.; Li, W.; Zhou, X.; Tan, Y.; Lin, G.; Li, X.; Deng, R. An innovative echo detection system with STM32 gated and PMT adjustable gain for airborne LiDAR. Int. J. Remote Sens. 2021, 42, 9187–9211. [Google Scholar] [CrossRef]
- Gao, J.; Sun, H.; Han, J.; Sun, Q.; Zhong, T. Research on Recognition Method of Electrical Components Based on FEYOLOv4-tiny. J. Electr. Eng. Technol. 2022, 1–11. [Google Scholar] [CrossRef]
- Gong, X.; Wang, L.; Mou, Y.; Wang, H.; Wei, X.; Zheng, W.; Yin, L. Improved Four-channel PBTDPA control strategy using force feedback bilateral teleoperation system. Int. J. Control Autom. Syst. 2022, 20, 1002–1017. [Google Scholar] [CrossRef]
- Huang, H.; Guo, M.; Zhang, W.; Huang, M. Seismic Behavior of Strengthened RC Columns under Combined Loadings. J. Bridge Eng. 2022, 27, 5022005. [Google Scholar] [CrossRef]
- Wang, J.; Tian, J.; Zhang, X.; Yang, B.; Liu, S.; Yin, L.; Zheng, W. Control of Time Delay Force Feedback Teleoperation System With Finite Time Convergence. Front. Neurorobot. 2022, 16, 877069. [Google Scholar] [CrossRef]
- Zhang, C.; Mousavi, A.A.; Masri, S.F.; Gholipour, G.; Yan, K.; Li, X. Vibration feature extraction using signal processing techniques for structural health monitoring: A review. Mech. Syst. Signal Process. 2022, 177, 109175. [Google Scholar] [CrossRef]
- Ibarra-Castanedo, C.; Tarpani, J.R.; Maldague, X.P. Nondestructive testing with thermography. Eur. J. Phys. 2013, 34, S91. [Google Scholar] [CrossRef]
- Civera, M.; Surace, C. Non-Destructive Techniques for the Condition and Structural Health Monitoring of Wind Turbines: A Literature Review of the Last 20 Years. Sensors 2022, 22, 1627. [Google Scholar] [CrossRef]
- Doshvarpassand, S.; Wang, X. An Automated Pipeline for Dynamic Detection of Sub-Surface Metal Loss Defects across Cold Thermography Images. Sensors 2021, 21, 4811. [Google Scholar] [CrossRef] [PubMed]
- Doshvarpassand, S.; Wang, X.; Zhao, X. Sub-surface metal loss defect detection using cold thermography and dynamic reference reconstruction (DRR). Struct. Health Monit. 2021, 21, 1475921721999599. [Google Scholar] [CrossRef]
- Carslaw, H.S.; Jaeger, J.C. Conduction of Heat in Solids, 2nd ed.; Oxford Clarendon Press: Oxford, UK, 1959. [Google Scholar]
- Parker, W.; Jenkins, R.; Butler, C.; Abbott, G. Flash method of determining thermal diffusivity, heat capacity, and thermal conductivity. J. Appl. Phys. 1961, 32, 1679–1684. [Google Scholar] [CrossRef]
- Lau, S.; Almond, D.; Milne, J. A quantitative analysis of pulsed video thermography. NDT E Int. 1991, 24, 195–202. [Google Scholar] [CrossRef]
- Ibarra-Castanedo, C.; Genest, M.; Piau, J.-M.; Guibert, S.; Bendada, A.; Maldague, X.P. Active infrared thermography techniques for the nondestructive testing of materials. In Ultrasonic and Advanced Methods for Nondestructive Testing and Material Characterization; World Scientific: Singapore, 2007; pp. 325–348. [Google Scholar]
- Bracewell, R.N.; Bracewell, R.N. The Fourier Transform and Its Applications; McGraw-Hill New York: New York, NY, USA, 1986; Volume 31999. [Google Scholar]
- Patel, P.; Almond, D.; Reiter, H. Thermal-wave detection and characterisation of sub-surface defects. Appl. Phys. B 1987, 43, 9–15. [Google Scholar] [CrossRef]
- Vavilov, V.; Grinzato, E.; Bison, P.; Marinetti, S.; Bales, M. Surface transient temperature inversion for hidden corrosion characterisation: Theory and applications. Int. J. Heat Mass Transf. 1996, 39, 355–371. [Google Scholar] [CrossRef]
- Maldague, X.P. Nondestructive evaluation of materials by infrared thermography. NDT E Int. 1996, 6, 396. [Google Scholar]
- Milne, J.; Reynolds, W. The non-destructive evaluation of composites and other materials by thermal pulse video thermography. In Proceedings of the Thermosense VII: Thermal Infrared Sensing for Diagnostics and Control, Bellingham, WA, USA, 8–9 April 1985; pp. 119–123. [Google Scholar]
- Almond, D.P.; Pickering, S.G. An analytical study of the pulsed thermography defect detection limit. J. Appl. Phys. 2012, 111, 93510. [Google Scholar] [CrossRef]
- Marinetti, S.; Vavilov, V. IR thermographic detection and characterization of hidden corrosion in metals: General analysis. Corros. Sci. 2010, 52, 865–872. [Google Scholar] [CrossRef]
- Marinetti, S.; Bison, P.; Grinzato, E. 3D heat flux effects in the experimental evaluation of corrosion by IR thermography. QIRT’02 Quant. InfraRed Thermogr. 2002, 6, 92–98. [Google Scholar]
- Almond, D.P.; Lau, S. Defect sizing by transient thermography. I. An analytical treatment. J. Phys. D Appl. Phys. 1994, 27, 1063. [Google Scholar] [CrossRef]
- Almond, D.P.; Lau, S. Edge effects and a method of defect sizing for transient thermography. Appl. Phys. Lett. 1993, 62, 3369–3371. [Google Scholar] [CrossRef]
- Sun, J. Analysis of pulsed thermography methods for defect depth prediction. J. Heat Transf. 2006, 128, 329–338. [Google Scholar] [CrossRef]
- Vavilov, V.P. Pulsed thermal NDT of materials: Back to the basics. Nondestruct. Test. Eval. 2007, 22, 177–197. [Google Scholar] [CrossRef]
- Potet, P.; Lesbre, F.; Bathias, C. Quantitative characterization of impact damage in composite materials—a comparison between computerized vibrothermography and X-ray tomography. In Nondestructive Testing and Evaluation for Manufacturing and Construction; Dos Reis, H.L.M., Ed.; CRC Press: Boca Raton, FL, USA, 1989; pp. 95–105. [Google Scholar]
- BlueScope Steel. AS/NZS 1594—HA250 Material Properties. 2005. Available online: https://cdn.dcs.bluescope.com.au/download/ha250-floorplate-datasheet (accessed on 20 July 2022).
- Usamentiaga, R.; Venegas, P.; Guerediaga, J.; Vega, L.; Molleda, J.; Bulnes, F.G. Infrared Thermography for Temperature Measurement and Non-Destructive Testing. Sensors 2014, 14, 12305–12348. [Google Scholar] [CrossRef]
- Ishikawa, M.; Hatta, H.; Habuka, Y.; Fukui, R.; Utsunomiya, S. Detecting deeper defects using pulse phase thermography. Infrared Phys. Technol. 2013, 57, 42–49. [Google Scholar] [CrossRef]
- Müller, M. Dynamic time warping. In Information Retrieval for Music and Motion; Springer: Berlin, Germany, 2007; pp. 69–84. [Google Scholar]
- Senin, P. Dynamic time warping algorithm review. Inf. Comput. Sci. Dep. Univ. Hawaii Manoa Honol. USA 2008, 855, 40. [Google Scholar]
- Liu, L.; Li, W.; Jia, H. Method of time series similarity measurement based on dynamic time warping. Comput. Mater. Contin. 2018, 57, 97–106. [Google Scholar] [CrossRef]
- Ratanamahatana, C.A.; Keogh, E. Three myths about dynamic time warping data mining. In Proceedings of the 2005 SIAM International Conference on Data Mining, Newport Beach, CA, USA, 21–23 April 2005; pp. 506–510. [Google Scholar]
- Grinzato, E.; Vavilov, V. Corrosion evaluation by thermal image processing and 3D modelling. Rev. Générale Therm. 1998, 37, 669–679. [Google Scholar] [CrossRef]
- Almond, D.P.; Angioni, S.L.; Pickering, S.G. Long pulse excitation thermographic non-destructive evaluation. NDT E Int. 2017, 87, 7–14. [Google Scholar] [CrossRef]
















| Chemical Composition | Mechanical and Thermal Properties | ||
|---|---|---|---|
| Carbon, C | 0.10–0.20% | Density | 7.83 × 103 (kg/m3) |
| Iron, Fe | 98.81–99.26% | Tensile Strength, Yield | 350 (MPa) |
| Manganese, Mn | 0.45–1% | Thermal Conductivity | 64 (W/m·K) |
| Phosphorous, P | ≤0.040% | Specific Heat | 434 (J/kg·K) |
| Groups | A | B | C | D | ||||||||||||
|---|---|---|---|---|---|---|---|---|---|---|---|---|---|---|---|---|
| D (mm) | 22 | 18 | 14 | 10 | 22 | 18 | 14 | 10 | 22 | 18 | 14 | 10 | 22 | 18 | 14 | 10 |
| d * (mm) | 1 | 1 | 1 | 1 | 2 | 2 | 2 | 2 | 3 | 3 | 3 | 3 | 4 | 4 | 4 | 4 |
| Groups | ||||||||||||||||
|---|---|---|---|---|---|---|---|---|---|---|---|---|---|---|---|---|
| 1 | 2 | 3 | 4 | 1 | 2 | 3 | 4 | 1 | 2 | 3 | 4 | 1 | 2 | 3 | 4 | |
| 1.88 | 0.47 | 0.21 | 0.11 | 9.44 | 2.35 | 1.04 | 0.58 | 18.8 | 4.7 | 2.09 | 1.17 | 37.7 | 9.41 | 4.18 | 2.35 | |
| 0.32 | 0.19 | 0.18 | 0.16 | 1.5 | 0.79 | 0.58 | 0.48 | 2.97 | 1.53 | 1.07 | 0.85 | 5.91 | 3.00 | 2.05 | 1.59 | |
| 0.29 | 0.14 | 0.09 | 0.07 | 1.47 | 0.73 | 0.49 | 0.36 | 2.94 | 1.47 | 0.98 | 0.73 | 5.88 | 2.94 | 1.96 | 1.47 | |
| 1.10 | 1.42 | 1.84 | 2.22 | 1.02 | 1.08 | 1.19 | 1.34 | 1.01 | 1.04 | 1.09 | 1.17 | 1.00 | 1.02 | 1.04 | 1.08 | |
| Year | Authors | Sample Thickness (mm) | Metal Loss Detection Limit (%) | Metal Loss Prediction Limit (%) | Method | Refrence |
|---|---|---|---|---|---|---|
| 1996 | Vavilov et al. | 1.3 | 10% | 25% | Flash pulse | [30] |
| 1998 | Grinzato et al. | 4 | 20% | 20% | Flash pulse | [48] |
| 2010 | Marinetti et al. | 3 | 10% | 10% | Flash pulse | [34] |
| 2010 | Marinetti et al. | 10 | 20% | 50% | Square pulse | [34] |
| 2017 | Almond et al. | 6 | 20% | 50% | Long pulse | [49] |
Publisher’s Note: MDPI stays neutral with regard to jurisdictional claims in published maps and institutional affiliations. |
© 2022 by the authors. Licensee MDPI, Basel, Switzerland. This article is an open access article distributed under the terms and conditions of the Creative Commons Attribution (CC BY) license (https://creativecommons.org/licenses/by/4.0/).
Share and Cite
Doshvarpassand, S.; Wang, X. Sub-Surface Defect Depth Approximation in Cold Infrared Thermography. Sensors 2022, 22, 7098. https://doi.org/10.3390/s22187098
Doshvarpassand S, Wang X. Sub-Surface Defect Depth Approximation in Cold Infrared Thermography. Sensors. 2022; 22(18):7098. https://doi.org/10.3390/s22187098
Chicago/Turabian StyleDoshvarpassand, Siavash, and Xiangyu Wang. 2022. "Sub-Surface Defect Depth Approximation in Cold Infrared Thermography" Sensors 22, no. 18: 7098. https://doi.org/10.3390/s22187098
APA StyleDoshvarpassand, S., & Wang, X. (2022). Sub-Surface Defect Depth Approximation in Cold Infrared Thermography. Sensors, 22(18), 7098. https://doi.org/10.3390/s22187098

