NN-Based 8FSK Demodulator for the Covert Channel
Abstract
1. Introduction
- To ascertain the pros and cons of using 8FSK modulation we have compared the performances of the main modulation schemes used to create a covert channel;
- We examined the imperfect SIC operation on 8FSK demodulation;
- We proposed both soft- and hard-decision NN-based demodulator for covert channel and compared it with correlator-based FSK detector.
2. Model of the Covert Transmission
2.1. Covert Transmission Model
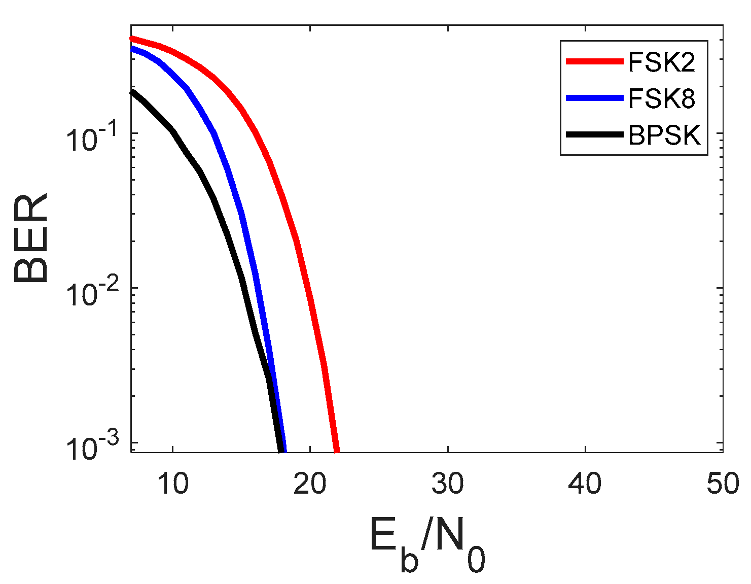
2.2. Selection of the Modulation for Hidden Transmission
- Non-coherent detection (easier detection, lack of expensive, and complex recovery circuit);
- Possible low BER (bit error rate) for given energy per symbol to noise power (reliable transmission).
2.3. The System Model for Cover Communication
3. Imperfect SIC Operation
4. NN-Based 8FSK Demodulator and Its Evaluation
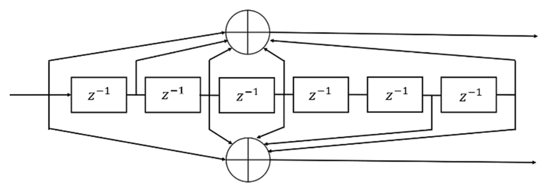
4.1. Correlator-Based 8FSK Demodulator
4.2. NN-Based 8FSK Demodulator
4.3. Channel Coder
5. Simulations Results
- Hard 8FSK demodulation;
- Hard/soft 8FSK demodulation with a covert data decoder.
5.1. Hard Demodulation (Without Channel Coder)
5.2. Demodulation with Hard/Soft Viterbi Decoder
6. Conclusions
Author Contributions
Funding
Institutional Review Board Statement
Informed Consent Statement
Data Availability Statement
Acknowledgments
Conflicts of Interest
References
- Lampson, W. A note on the confinement problem. Commun. ACM 1973, 16, 613–615. [Google Scholar] [CrossRef]
- Dutta, A.; Saha, D.; Grunwald, D.; Sicker, D. Secret agent radio: Covert communication through dirty constellations. In Proceedings of the Information Hiding, Berkeley, CA, USA, 15–18 May 2012. [Google Scholar]
- Cao, P.; Liu, W.; Liu, G.; Ji, X.; Zhai, J.; Dai, Y. A Wireless Covert Channel Based on Constellation Shaping Modulation. Secur. Commun. Netw. 2018, 2018, 1–15. [Google Scholar] [CrossRef]
- D’Oro, S.; Restuccia, F.; Melodia, T. Hiding data in plain sight: Undetectable wireless communications through pseudo-noise asymmetric shift keying. In Proceedings of the 2019 38th IEEE Conference on Computer Communications (INFOCOM), Paris, France, 29 April–2 May 2019; pp. 1585–1593. [Google Scholar]
- Qiao, S.; Liu, G.; Shi, J.; Ji, X.; Liu, W. Wireless Covert Channel with Polarized Dirty Constellation in Backscatter Communication. Available online: https://assets.researchsquare.com/files/rs-816334/v1_covered.pdf?c=1631877587 (accessed on 30 August 2022). [CrossRef]
- Moskowitz, I.S.; Safier, P.N.; Cotae, P. Pre-Modulation Physical Layer Steganography. Patent 0101059A1, 25 April 2013. [Google Scholar]
- O’shea, T.J.; Hoydis, J. An introduction to deep learning for the physical layer. IEEE Trans. Cogn. Commun. Netw. 2017, 3, 563–575. [Google Scholar] [CrossRef]
- Fang, L.; Wu, L. Deep learning detection method for signal demodulation in short range multipath channel. In Proceedings of the IEEE 2nd International Conference on Opto-Electronic Information (ICOIP), Singapore, 7–9 July 2017; pp. 16–20. [Google Scholar]
- Zheng, S.; Zhou, X.; Chen, S.; Qi, P.; Yang, X. DemodNet: Learning Soft Demodulation from Hard Information Using Convolutional Neural Network. arXiv 2004, arXiv:2011.11337. [Google Scholar]
- Shental, O.; Hoydis, J. “Machine LLRning”: Learning to softly demodulate. arXiv preprint 2019, arXiv:1907.01512. [Google Scholar]
- Nojima, D.; Nagao, Y.; Kurosaki, M.; Ochi, H.; Ishikawa, A.; Fukagawa, S.; Tahira, A. Soft decision Viterbi decoder for FSK demodulation under fast fading channel. In Proceedings of the International Conference on Communications and Electronics, Nha Trang, Vietnam, 11–13 August 2010; pp. 222–227. [Google Scholar] [CrossRef]
- Souryal, M.R.; Larsson, E.G.; Peric, B.; Vojcic, B.R. Soft-Decision Metrics for Coded Orthogonal Signaling in Symmetric Alpha-Stable Noise. IEEE Trans. Signal. Process. 2008, 56, 266–273. [Google Scholar] [CrossRef]
- Mohammad, A.S.; Reddy, N.; James, F.; Beard, C. Demodulation of faded wireless signals using deep convolutional neural networks. In Proceedings of the IEEE 8th Annual Computing and Communication Workshop and Conference (CCWC), Las Vegas, NV, USA, 8–10 January 2018. [Google Scholar]
- Chung, K. Impact of Channel Estimation Errors on BER Performance of Single-User Decoding NOMA System. Int. J. Internet Broadcast. Commun. 2020, 12, 18–25. [Google Scholar]
- Usman, M.R.; Khan, A.; Usman, M.A.; Jang, Y.S.; Shin, S.Y. On the performance of perfect and imperfect SIC in downlink non orthogonal multiple access (NOMA). In Proceedings of the International Conference on Smart Green Technology in Electrical and Information Systems (ICSGTEIS), Denpasar, Indonesia, 6–8 October 2016. [Google Scholar]
- Rivest, R.L.; Shamir, A.; Adleman, L. A Method for Obtaining Digital Signatures and Public-Key Cryptosystems. Comm. ACM 1978, 21, 120–126. [Google Scholar] [CrossRef]
- Ta, H. Physical-layer Secrecy and Privacy of Wireless Communication. Ph.D. Thesis, Iowa State University, Ames, IA, USA, 2020. [Google Scholar]
- Kelner, J.M.; Ziolkowski, C.; Nowosielski, L.; Wnuk, M. Localization of Emission Source in Urban Environment Based on the Doppler Effect. In Proceedings of the IEEE 83rd Vehicular Technology Conference (VTC Spring), Nanjing, China, 15–18 May 2016. [Google Scholar]
- Peng, P.; Ning, P.; Reeves, D.S. On the secrecy of timingbased active watermarking trace-back techniques. In Proceedings of the 2006 IEEE Symposium on Security and Privacy, Berkeley/Oakland, CA, USA, 21–24 May 2006; pp. 334–348. [Google Scholar]
- Althuwayb, A.A. On-Chip Antenna Design Using the Concepts of Metamaterial and SIW Principles Applicable to Terahertz Integrated Circuits Operating over 0.6–0.622 THz. Int. J. Antennas Propag. 2020, 2020, 1–9. [Google Scholar] [CrossRef]
- Alibakhshikenari, M.; Virdee, B.S.; Azpilicueta, L.; Naser-Moghadasi, M.; Akinsolu, M.O.; See, C.H.; Liu, B.; Abd-Alhameed, R.A.; Falcone, F.; Huynen, I.; et al. A Comprehensive Survey of “Metamaterial Transmission-Line Based Antennas: Design, Challenges, and Applications”. IEEE Access 2020, 8, 144778–144808. [Google Scholar] [CrossRef]
- Althuwayb, A.A. Enhanced Radiation Gain and Efficiency of a Metamaterial-Inspired Wideband Microstrip Antenna Using Substrate Integrated Waveguide Technology for sub-6 GHz Wireless Communication Systems. Microw. Opt. Technol. Lett. 2021, 13, 1892–1898. [Google Scholar] [CrossRef]
- Alibakhshikenari, M.; Ali, E.M.; Soruri, M.; Dalarsson, M.; Naser-Moghadasi, M.; Virdee, B.S.; Stefanovic, C.; Pietrenko-Dabrowska, A.; Koziel, S.; Szczepanski, S.; et al. A Comprehensive Survey on Antennas On-Chip Based on Metamaterial, Metasurface, and Substrate Integrated Waveguide Principles for Millimeter-Waves and Terahertz Integrated Circuits and Systems. IEEE Access 2022, 10, 3668–3692. [Google Scholar] [CrossRef]
- Tang, X.; Alouini, M.S.; Goldsmith, A.J. Effect of channel estimation error on M-QAM BER performance in Rayleigh fading. IEEE Trans. Commun. 1999, 47, 1856–1864. [Google Scholar] [CrossRef]
- Selim, B.; Muhaidat, S.; Sofotasios, P.C.; Al-Dweik, A.; Sharif, B.S.; Stouraitis, T. Radio-Frequency Front-End Impairments: Performance Degradation in Nonorthogonal Multiple Access Communication Systems. IEEE Veh. Technol. Mag. 2019, 14, 89–97. [Google Scholar] [CrossRef]
- Chin, E.; Chieng, D.; Teh, V.; Natkaniec, M.; Loziak, K.; Gozdecki, J. Wireless link prediction and triggering using modified Ornstein–Uhlenbeck jump diffusion process. Wirel. Netw. 2014, 20, 379–396. [Google Scholar] [CrossRef]
- Vakili, A.; Sharif, M.; Hassibi, B. The Effect of Channel Estimation Error on the Throughput of Broadcast Channels. In Proceedings of the IEEE International Conference on Acoustics Speech and Signal, Toulouse, France, 14–19 May 2006; p. IV. [Google Scholar]
- Peric, B.M.; Souryal, M.R.; Larsson, E.G.; Vojcic, B.R. Soft decision metrics for turbo-coded FH M-FSK ad hoc packet radio networks. In Proceedings of the 2005 IEEE 61st Vehicular Technology Conference, Stockholm, Sweden, 30 May 2005–1 June 2005; pp. 724–727. [Google Scholar]
- Przesmycki, R.; Bugaj, M.; Skokowski, P.; Wnuk, M. Identification of Interface in the Complex Systems Based on Radiated Emission of Mobile Computer. Available online:https://web.s.ebscohost.com/abstract?direct=true&profile=ehost&scope=site&authtype=crawler&jrnl=15599450&AN=98478863&h=psbWUBvuELCKkQOvUSWlBzkp8QHcqbcmJyT2eCykgYu%2bt4EmqTNjPaC6yFzswHymmwxn%2fMIglmyxbwEVlu5Hxg%3d%3d&crl=c&resultNs=AdminWebAuth&resultLocal=ErrCrlNotAuth&crlhashurl=login.aspx%3fdirect%3dtrue%26profile%3dehost%26scope%3dsite%26authtype%3dcrawler%26jrnl%3d15599450%26AN%3d98478863 (accessed on 5 September 2022).


















| Modulation | Variance | Number Samples Per Symbol | 
|---|---|---|
| 16QAM (cover) | 1 | |
| BPSK (covert) | 8 | |
| 2FSK (covert) | 8 | |
| 8FSK (covert) | 24 | 
| Signal | Modulation | Bit Rate | Variance | Signal | 
|---|---|---|---|---|
| cover | 16QAM | 9600bps | = 1 | cover | 
| covert | 8FSK | 600bps | covert | 
| Publisher’s Note: MDPI stays neutral with regard to jurisdictional claims in published maps and institutional affiliations. | 
© 2022 by the authors. Licensee MDPI, Basel, Switzerland. This article is an open access article distributed under the terms and conditions of the Creative Commons Attribution (CC BY) license (https://creativecommons.org/licenses/by/4.0/).
Share and Cite
Grzesiak, K.; Piotrowski, Z. NN-Based 8FSK Demodulator for the Covert Channel. Sensors 2022, 22, 7181. https://doi.org/10.3390/s22197181
Grzesiak K, Piotrowski Z. NN-Based 8FSK Demodulator for the Covert Channel. Sensors. 2022; 22(19):7181. https://doi.org/10.3390/s22197181
Chicago/Turabian StyleGrzesiak, Krystian, and Zbigniew Piotrowski. 2022. "NN-Based 8FSK Demodulator for the Covert Channel" Sensors 22, no. 19: 7181. https://doi.org/10.3390/s22197181
APA StyleGrzesiak, K., & Piotrowski, Z. (2022). NN-Based 8FSK Demodulator for the Covert Channel. Sensors, 22(19), 7181. https://doi.org/10.3390/s22197181
 
        



 
       