An Ex Vivo Study of Wireless Linkage Distance between Implantable LC Resonance Sensor and External Readout Coil
Abstract
1. Introduction
2. Materials and Methods
2.1. Sensor Design
2.2. Sensor Fabrication
2.3. Readout Coil
2.4. Repeater Coil
2.5. Device Validation
3. Results and Discussion
3.1. Characterization of Sensor and Readout Coil at Porcine Tissues
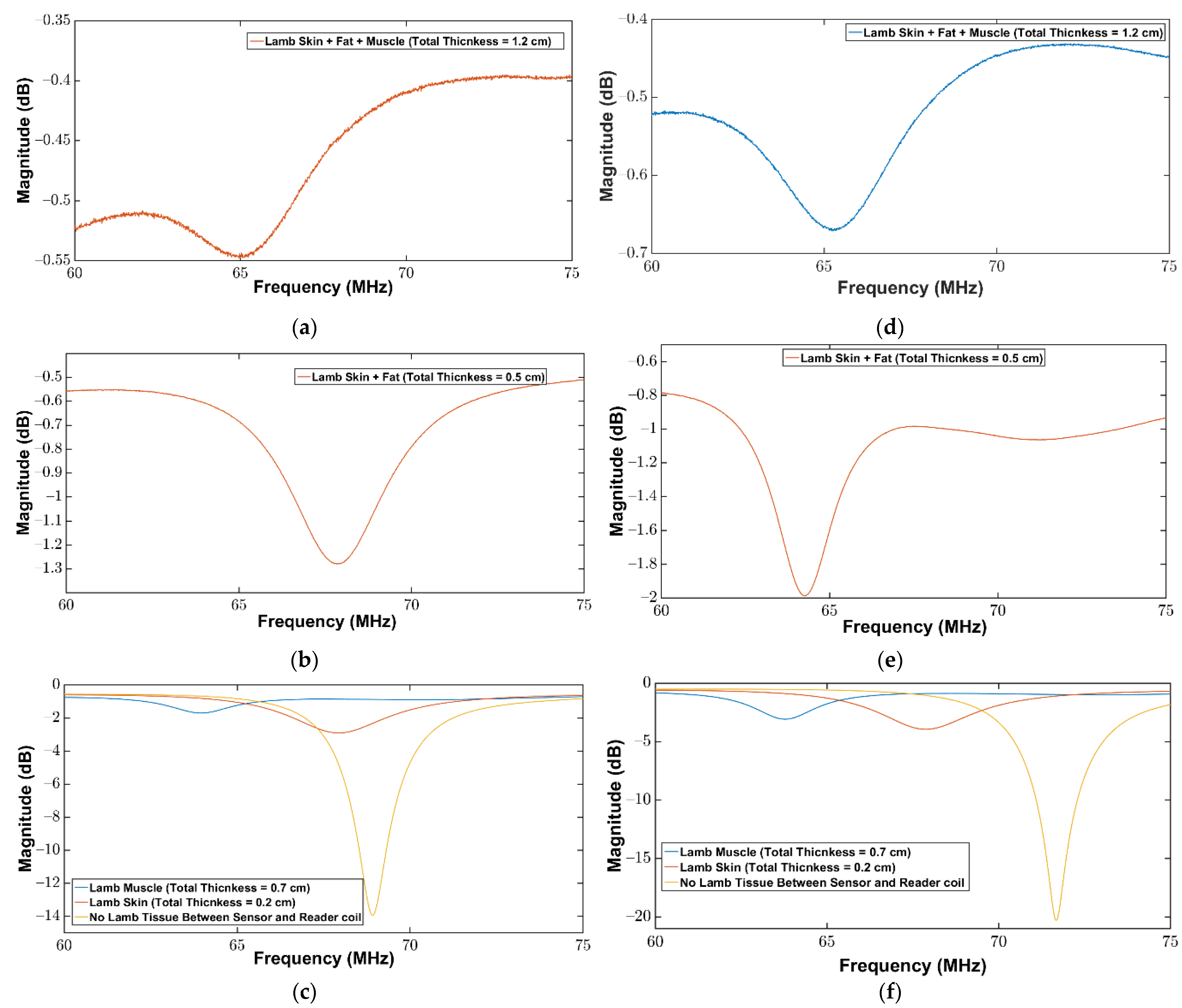
3.2. Characterization of Sensor and Readout Coil for Ovine Tissues
4. Conclusions
Author Contributions
Funding
Institutional Review Board Statement
Informed Consent Statement
Data Availability Statement
Conflicts of Interest
References
- Boashash, B. Time-Frequency Signal Analysis and Processing: A Comprehensive Reference, 2nd ed.; Academic Press: Cambridge, MA, USA, 2015. [Google Scholar]
- Wang, X.; Gu, Y.; Xiong, Z.; Cui, Z.; Zhang, T. Silk-molded flexible, ultrasensitive, and highly stable electronic skin for monitoring human physiological signals. Adv. Mater. 2014, 26, 1336–1342. [Google Scholar] [CrossRef]
- Charkhabi, S.; Jackson, K.J.; Beierle, A.M.; Carr, A.R.; Zellner, E.M.; Reuel, N.F. Monitoring Wound Health through Bandages with Passive LC Resonant Sensors. ACS Sensors 2020, 6, 111–122. [Google Scholar] [CrossRef]
- Carlson, C.E.; Mann, R.W.; Harris, W.H. A Radio Telemetry Device for Monitoring Cartilage Surface Pressures in the Human Hip. IEEE Trans. Biomed. Eng. 1974, 21, 257–264. [Google Scholar] [CrossRef]
- Iqbal, T.; Elahi, A.; Redon, P.; Vazquez, P.; Wijns, W.; Shahzad, A. A Review of Biophysiological and Biochemical Indicators of Stress for Connected and Preventive Healthcare. Diagnostics 2021, 11, 556. [Google Scholar] [CrossRef]
- Reilly, R.B.; Lee, T.C. Electrograms (ECG, EEG, EMG, EOG). Technol. Heal. Care 2010, 18, 443–458. [Google Scholar] [CrossRef]
- Teplan, M. Fundamentals of EEG measurement. Meas. Sci. Rev. 2002, 2, 1–11. [Google Scholar]
- De Luca, C.J. The Use of Surface Electromyography in Biomechanics. J. Appl. Biomech. 1997, 13, 135–163. [Google Scholar] [CrossRef]
- Kim, D.-H.; Lu, N.; Ma, R.; Kim, Y.-S.; Kim, R.-H.; Wang, S.; Wu, J.; Won, S.M.; Tao, H.; Islam, A.; et al. Epidermal Electronics. Science 2011, 333, 838–843. [Google Scholar] [CrossRef]
- Bu, N.; Ueno, N.; Fukuda, O. Monitoring of respiration and heartbeat during sleep using a flexible piezoelectric film sensor and empirical mode decomposition. In Proceedings of the 2007 29th Annual International Conference of the IEEE Engineering in Medicine and Biology Society, Lyon, France, 22–26 August 2007; pp. 1362–1366. [Google Scholar]
- Armstrong, D.G.; Holtz-Neiderer, K.; Wendel, C.; Mohler, M.J.; Kimbriel, H.R.; Lavery, L.A. Skin Temperature Monitoring Reduces the Risk for Diabetic Foot Ulceration in High-risk Patients. Am. J. Med. 2007, 120, 1042–1046. [Google Scholar] [CrossRef]
- Lu, D.; Yan, Y.; Avila, R.; Kandela, I.; Stepien, I.; Seo, M.; Bai, W.; Yang, Q.; Li, C.; Haney, C.R.; et al. Bioresorbable, Wireless, Passive Sensors as Temporary Implants for Monitoring Regional Body Temperature. Adv. Heal. Mater. 2020, 9, 2000942. [Google Scholar] [CrossRef]
- Yang, S.M.; Shim, J.Y.; Cho, H.-U.; Jang, T.-M.; Ko, G.-J.; Shim, J.; Kim, T.H.; Zhu, J.; Park, S.; Kim, Y.S.; et al. Hetero-Integration of Silicon Nanomembranes with 2D Materials for Bioresorbable, Wireless Neurochemical System. Adv. Mater. 2022, 34, 2270105. [Google Scholar] [CrossRef]
- Sridhar, V.; Takahata, K. A hydrogel-based passive wireless sensor using a flex-circuit inductive transducer. Sens. Actuators A Phys. 2009, 155, 58–65. [Google Scholar] [CrossRef]
- Corsi, M.; Paghi, A.; Mariani, S.; Golinelli, G.; Debrassi, A.; Egri, G.; Leo, G.; Vandini, E.; Vilella, A.; Dähne, L.; et al. Bioresorbable Nanostructured Chemical Sensor for Monitoring of pH Level In Vivo. Adv. Sci. 2022, 9, 2202062. [Google Scholar] [CrossRef] [PubMed]
- Lu, D.; Yan, Y.; Deng, Y.; Yang, Q.; Zhao, J.; Seo, M.; Bai, W.; MacEwan, M.R.; Huang, Y.; Ray, W.Z.; et al. Bioresorbable Wireless Sensors as Temporary Implants for In Vivo Measurements of Pressure. Adv. Funct. Mater. 2020, 30, 2003754. [Google Scholar] [CrossRef]
- Chen, L.Y.; Tee, C.K.; Chortos, A.; Schwartz, G.; Tse, V.; Lipomi, D.J.; Wong, H.-S.P.; McConnell, M.; Bao, Z. Continuous wireless pressure monitoring and mapping with ultra-small passive sensors for health monitoring and critical care. Nat. Commun. 2014, 5, 5028. [Google Scholar] [CrossRef] [PubMed]
- Takahata, K.; DeHennis, A.; Wise, K.; Gianchandani, Y. A wireless microsensor for monitoring flow and pressure in a blood vessel utilizing a dual-inductor antenna stent and two pressure sensors. In Proceedings of the 17th IEEE International Conference on Micro Electro Mechanical Systems. Maastricht MEMS 2004 Technical Digest, Maastricht, The Netherlands, 25–29 January 2004; pp. 216–219. [Google Scholar]
- Iqbal, T.; Elahi, A.; Ganly, S.; Wijns, W.; Shahzad, A. Photoplethysmography-Based Respiratory Rate Estimation Algorithm for Health Monitoring Applications. J. Med. Biol. Eng. 2022, 42, 242–252. [Google Scholar] [CrossRef]
- Aliverti, A. Wearable technology: Role in respiratory health and disease. Breathe 2017, 13, e27–e36. [Google Scholar] [CrossRef]
- Chhetry, A.; Yoon, H.; Park, J.Y. A flexible and highly sensitive capacitive pressure sensor based on conductive fibers with a microporous dielectric for wearable electronics. J. Mater. Chem. C 2017, 5, 10068–10076. [Google Scholar] [CrossRef]
- Shin, K.-H.; Moon, C.-R.; Lee, T.-H.; Lim, C.-H.; Kim, Y.-J. Flexible wireless pressure sensor module. Sens. Actuators A Phys. 2005, 123–124, 30–35. [Google Scholar] [CrossRef]
- Gong, S.; Lai, D.T.H.; Su, B.; Si, K.J.; Ma, Z.; Yap, L.W.; Guo, P.; Cheng, W. Highly Stretchy Black Gold E-Skin Nanopatches as Highly Sensitive Wearable Biomedical Sensors. Adv. Electron. Mater. 2015, 1, 1400063. [Google Scholar] [CrossRef]
- You, B.; Han, C.J.; Kim, Y.; Ju, B.-K.; Kim, J.-W. A wearable piezocapacitive pressure sensor with a single layer of silver nanowire-based elastomeric composite electrodes. J. Mater. Chem. A 2016, 4, 10435–10443. [Google Scholar] [CrossRef]
- Choong, C.-L.; Shim, M.-B.; Lee, B.-S.; Jeon, S.; Ko, D.-S.; Kang, T.-H.; Bae, J.; Lee, S.H.; Byun, K.-E.; Im, J.; et al. Highly Stretchable Resistive Pressure Sensors Using a Conductive Elastomeric Composite on a Micropyramid Array. Adv. Mater. 2014, 26, 3451–3458. [Google Scholar] [CrossRef] [PubMed]
- Park, J.; Kim, J.-K.; Patil, S.J.; Park, J.-K.; Park, S.; Lee, D.-W. A Wireless Pressure Sensor Integrated with a Biodegradable Polymer Stent for Biomedical Applications. Sensors 2016, 16, 809. [Google Scholar] [CrossRef] [PubMed]
- Potkay, J.A. Long term, implantable blood pressure monitoring systems. Biomed. Microdevices 2007, 10, 379–392. [Google Scholar] [CrossRef]
- Cong, P.; Ko, W.H.; Young, D.J. Wireless Batteryless Implantable Blood Pressure Monitoring Microsystem for Small Laboratory Animals. IEEE Sensors J. 2009, 10, 243–254. [Google Scholar] [CrossRef]
- Pan, L.; Chortos, A.; Yu, G.; Wang, Y.; Isaacson, S.; Allen, R.; Shi, Y.; Dauskardt, R.; Bao, Z. An ultra-sensitive resistive pressure sensor based on hollow-sphere microstructure induced elasticity in conducting polymer film. Nat. Commun. 2014, 5, 3002. [Google Scholar] [CrossRef]
- Palandoken, M. Compact Bioimplantable MICS and ISM Band Antenna Design for Wireless Biotelemetry Applications. Radioengineering 2017, 26, 917–923. [Google Scholar] [CrossRef]
- Ahmad, S.; Manzoor, B.; Paracha, K.N.; Haider, S.; Liaqat, M.; Al-Gburi, A.J.A.; Ghaffar, A.; Alibakhshikenari, M.; Dalarsson, M. A Wideband Bear-Shaped Compact Size Implantable Antenna for In-Body Communications. Appl. Sci. 2022, 12, 2859. [Google Scholar] [CrossRef]
- Yamac, Y.E.; Ciflik, M.; Basaran, S.C. Miniaturized multiband implantable antenna designs for in-body compact medical devices. Int. J. RF Microw. Comput. Eng. 2022, 32, e23335. [Google Scholar] [CrossRef]
- Ucar, M.H.B.; Uras, E. Multilayer Archimedean spiral antenna design for dual-band intra-arm implantable biotelemetric smart health care monitoring system covering MICS and ISM bands. Frequenz 2022, 76, 441–452. [Google Scholar] [CrossRef]
- Doğanci, E.; Ucar, M.H.B.; Sondas, A. Preparation of a human skin-mimicking gels for in vitro measurements of the dual-band medical implant antenna. J. Turk. Chem. Soc. Sect. A Chem. 2016, 3, 583. [Google Scholar] [CrossRef]
- Ucar, M.H.B.; Uras, E. Numerical analysis, prototype implementation and in-vitro measurement of MICS/ISM band microstrip implant antennas for medical implant communication systems. J. Fac. Eng. Archit. GAZI Univ. 2022, 37, 2177–2191. [Google Scholar]
- Baker, N. ZigBee and Bluetooth strengths and weaknesses for industrial applications. Comput. Control Eng. J. 2005, 16, 20–25. [Google Scholar] [CrossRef]
- Chakole, S.; Jibhkate, R.R.; Choudhari, A.V.; Gawali, S.R.; Tule, P.R. A healthcare monitoring system using WiFi module. Int. Res. J. Eng. Technol. 2017, 4, 1413–1417. [Google Scholar]
- Nelson, B.D.; Karipott, S.S.; Wang, Y.; Ong, K.G. Wireless Technologies for Implantable Devices. Sensors 2020, 20, 4604. [Google Scholar] [CrossRef]
- Westerhoff, P.; Graichen, F.; Bender, A.; Rohlmann, A.; Bergmann, G. An instrumented implant for in vivo measurement of contact forces and contact moments in the shoulder joint. Med Eng. Phys. 2009, 31, 207–213. [Google Scholar] [CrossRef]
- D’Lima, D.; Townsend, C.P.; Arms, S.W.; Morris, B.A.; Colwell, C.W. An implantable telemetry device to measure intra-articular tibial forces. J. Biomech. 2005, 38, 299–304. [Google Scholar] [CrossRef]
- Cole, C.P.; Navarro, R.R. eDisc: The First Artificial Spinal Disc with Integral Force-Sensing Microelectronics. Front. Biomed. Devices 2007, 42665, 49–50. [Google Scholar]
- Van Citters, R.L.; Franklin, D.L. Telemetry of blood pressure in free-ranging animals via an intravascular gauge. J. Appl. Physiol. 1966, 21, 1633–1636. [Google Scholar] [CrossRef]
- Ferguson, J.E.; Redish, A.D. Wireless communication with implanted medical devices using the conductive properties of the body. Expert Rev. Med. Devices 2011, 8, 427–433. [Google Scholar] [CrossRef]
- Kraśny, M.J.; Bowen, C.R. A system for characterisation of piezoelectric materials and associated electronics for vibration powered energy harvesting devices. Measurement 2020, 168, 108285. [Google Scholar] [CrossRef]
- Kanaan, A.I.; Sabaawi, A.M. Implantable Wireless Systems: A Review of Potentials and Challenges. In Antenna Systems; IntechOpen: London, UK, 2021. [Google Scholar]
- Bock, D.C.; Marschilok, A.C.; Takeuchi, K.J.; Takeuchi, E.S. Batteries used to power implantable biomedical devices. Electrochimica Acta 2012, 84, 155–164. [Google Scholar] [CrossRef]
- Ong, K.G.; Grimes, C.A.; Robbins, C.L.; Singh, R.S. Design and application of a wireless, passive, resonant-circuit environmental monitoring sensor. Sens. Actuators A Phys. 2001, 93, 33–43. [Google Scholar] [CrossRef]
- Deng, W.-J.; Wang, L.-F.; Dong, L.; Huang, Q.-A. LC Wireless Sensitive Pressure Sensors with Microstructured PDMS Dielectric Layers for Wound Monitoring. IEEE Sensors J. 2018, 18, 4886–4892. [Google Scholar] [CrossRef]
- Karipott, S.S.; Veetil, P.M.; Nelson, B.D.; Guldberg, R.E.; Ong, K.G. An embedded wireless temperature sensor for orthopedic implants. IEEE Sens. J. 2017, 18, 1265–1272. [Google Scholar] [CrossRef]
- Deng, W.-J.; Wang, L.-F.; Dong, L.; Huang, Q.-A. Flexible passive wireless pressure and moisture dual-parameter sensor for wound monitoring. In Proceedings of the 2018 IEEE SENSORS, New Delhi, India, 28–31 October 2018; pp. 1–4. [Google Scholar] [CrossRef]
- Farooq, M.; Iqbal, T.; Vazquez, P.; Farid, N.; Thampi, S.; Wijns, W.; Shahzad, A. Thin-Film Flexible Wireless Pressure Sensor for Continuous Pressure Monitoring in Medical Applications. Sensors 2020, 20, 6653. [Google Scholar] [CrossRef]
- Fonseca, M.A.; Allen, M.G.; Kroh, J.; White, J. Flexible wireless passive pressure sensors for biomedical applications. In Proceedings of the 12th Solid-State Sensor, Actuator, and Microsystems Workshop, Hilton Head Island, SC, USA, 4–8 June 2006; pp. 37–42. [Google Scholar]
- Chen, P.-J.; Saati, S.; Varma, R.; Humayun, M.S.; Tai, Y.-C. Wireless intraocular pressure sensing using micro-fabricated minimally invasive felxible-coiled LC sensor implant. J. Microelectromechanical Syst. 2010, 19, C1–C4. [Google Scholar] [CrossRef]
- Bingger, P.; Zens, M.; Woias, P. Highly flexible capacitive strain gauge for continuous long-term blood pressure monitoring. Biomed. Microdevices 2012, 14, 573–581. [Google Scholar] [CrossRef]
- Li, C.; Wu, P.-M.; Shutter, L.A.; Narayan, R.K. Dual-mode operation of flexible piezoelectric polymer diaphragm for intracranial pressure measurement. Appl. Phys. Lett. 2010, 96, 053502. [Google Scholar] [CrossRef]
- Grimes, C.A.; Mungle, C.S.; Zeng, K.; Jain, M.; Dreschel, W.R.; Paulose, M.; Ong, K.G. Wireless Magnetoelastic Resonance Sensors: A Critical Review. Sensors 2002, 2, 294–313. [Google Scholar] [CrossRef]
- Yvanoff, M. LC Sensor for Biological Tissue Characterization; Rochester Institute of Technology: Rochester, NY, USA, 2008. [Google Scholar]
- Dong, L.; Wang, L.-F.; Zhang, C.; Huang, Q.-A. A Cyclic Scanning Repeater for Enhancing the Remote Distance of LC Passive Wireless Sensors. IEEE Trans. Circuits Syst. I Regul. Pap. 2016, 63, 1426–1433. [Google Scholar] [CrossRef]
- Zhou, B.-B.; Deng, W.-J.; Wang, L.-F.; Dong, L.; Huang, Q.-A. Enhancing the Remote Distance of LC Passive Wireless Sensors by Parity-Time Symmetry Breaking. Phys. Rev. Appl. 2020, 13, 064022. [Google Scholar] [CrossRef]
- Soliman, M.; Chowdhury, M.; Khandakar, A.; Islam, M.; Qiblawey, Y.; Musharavati, F.; Nezhad, E.Z. Review on Medical Implantable Antenna Technology and Imminent Research Challenges. Sensors 2021, 21, 3163. [Google Scholar] [CrossRef] [PubMed]
- Harpster, T.; Hauvespre, S.; Dokmeci, M.; Stark, B.; Vosoughi, A.; Najafi, K. A passive humidity monitoring system for in situ remote wireless testing of micropackages. J. Microelectromechanical Syst. 2002, 11, 61–67. [Google Scholar] [CrossRef]
- Poljak, D.; Cvetkovic, M. Human Interaction with Electromagnetic Fields: Computational Models in Dosimetry; Academic Press: Cambridge, MA, USA, 2019. [Google Scholar]
- Blackwell, J.; Oluniran, G.; Tuohy, B.; Destrade, M.; Kraśny, M.; Colgan, N. Experimental assessment of clinical MRI-induced global SAR distributions in head phantoms. Phys. Medica 2019, 66, 113–118. [Google Scholar] [CrossRef]
- Mutashar, S.; Hannan, M.A.; Samad, S.A.; Hussain, A. Analysis and Optimization of Spiral Circular Inductive Coupling Link for Bio-Implanted Applications on Air and within Human Tissue. Sensors 2014, 14, 11522–11541. [Google Scholar] [CrossRef] [PubMed]
- Cresson, P.-Y.; Orlic, Y.; Legier, J.-F.; Paleczny, E.; Dubois, L.; Tiercelin, N.; Coquet, P.; Pernod, P.; Lasri, T. 1 to 220 GHz Complex Permittivity Behavior of Flexible Polydimethylsiloxane Substrate. IEEE Microw. Wirel. Components Lett. 2014, 24, 278–280. [Google Scholar] [CrossRef]
- Liu, Y.; Wu, P.; Kang, P.; Li, L.; Shi, J.; Zhou, Z.; Chen, G.-X.; Li, Q. PDMS-based composites with stable dielectric properties at varied frequency via Sr-doped CaCu3Ti4O12 nanowires for flexible wideband antenna substrate. J. Mater. Sci. Mater. Electron. 2020, 32, 430–441. [Google Scholar] [CrossRef]
- Trajkovikj, J.; Zürcher, J.-F.; Skrivervik, A.K. PDMS, a robust casing for flexible W-BAN antennas [EurAAP Corner]. IEEE Antennas Propag. Mag. 2013, 55, 287–297. [Google Scholar] [CrossRef]
- Mohan, S.S.; del Hershenson, M.M.; Boyd, S.P.; Lee, T.H. Simple accurate expressions for planar spiral inductances. IEEE J. Solid-state Circuits 1999, 34, 1419–1424. [Google Scholar] [CrossRef]
- Xie, M.; Zhang, Y.; Kraśny, M.J.; Bowen, C.; Khanbareh, H.; Gathercole, N. Flexible and active self-powered pressure, shear sensors based on freeze casting ceramic—Polymer composites. Energy Environ. Sci. 2018, 11, 2919–2927. [Google Scholar] [CrossRef] [PubMed]
- Amin, B.; Shahzad, A.; O’Halloran, M.; Mcdermott, B.; Elahi, A. Experimental Validation of Microwave Imaging Prototype and DBIM-IMATCS Algorithm for Bone Health Monitoring. IEEE Access 2022, 10, 42589–42600. [Google Scholar] [CrossRef]
- Vallejo, M.; Recas, J.; Del Valle, P.G.; Ayala, J.L. Accurate Human Tissue Characterization for Energy-Efficient Wireless On-Body Communications. Sensors 2013, 13, 7546–7569. [Google Scholar] [CrossRef]
- Amin, B.; Shahzad, A.; O’Halloran, M.; Elahi, M. Microwave Bone Imaging: A Preliminary Investigation on Numerical Bone Phantoms for Bone Health Monitoring. Sensors 2020, 20, 6320. [Google Scholar] [CrossRef]
- Gabriel, S.; Lau, R.W.; Gabriel, C. The dielectric properties of biological tissues: III. Parametric models for the dielectric spectrum of tissues. Phys. Med. Biol. 1996, 41, 2271–2293. [Google Scholar] [PubMed]









| Parameter | Value |
|---|---|
| Number of turns, | 10 |
| 0.2 | |
| Trace separation, | 0.2 |
| 13.5 | |
| 5.5 | |
| 596.9 | |
| Trace thickness, | 35 |
| Skin depth, | 7.8789 |
| 1.483 | |
| 9.0277 | |
| 1.9 | |
| Dielectric layer thickness, | 200 |
| 2.65 | |
| 70.99 | |
| 71.5 | |
| 1.3305 | |
| 1.1469 | |
| 3.7767 |
| Tissue Layer | Thickness of Tissue Layer | Without Repeater | With Repeater | |||||||||
|---|---|---|---|---|---|---|---|---|---|---|---|---|
| Skin (cm) | Fat (cm) | Muscle (cm) | Total (cm) | (MHz) | (dB) | (dB) | (dB) | (dB) | (dB) | (dB) | (dB) | |
| No tissue | 0 | 0 | 0 | 0 | 69.53 | 10.533 | 0.873 | 9.660 | 71.67 | 21.895 | 2.095 | 19.800 |
| Muscle | 0 | 0 | 0.7 | 0.7 | 63.75 | 1.565 | 1.182 | 0.383 | 63.72 | 1.753 | 0.806 | 0.947 |
| Skin | 1.1 | 0 | 0 | 1.1 | 65.53 | 0.628 | 0.566 | 0.062 | 64.98 | 0.681 | 0.552 | 0.129 |
| Skin + Fat | 1.1 | 0.7 | 0 | 1.8 | 64.01 | 0.556 | 0.545 | 0.011 | 63.69 | 0.590 | 0.528 | 0.062 |
| Skin + Fat + Muscle | 1.1 | 0.7 | 0.7 | 2.5 | 63.65 | 0.538 | 0.529 | 0.009 | 63.45 | 0.504 | 0.490 | 0.014 |
| Tissue Layer | Thickness of Tissue Layer | Without Repeater | With Repeater | |||||||||
|---|---|---|---|---|---|---|---|---|---|---|---|---|
| Skin (cm) | Fat (cm) | Muscle (cm) | Total (cm) | (MHz) | (dB) | (dB) | (dB) | (dB) | (dB) | (dB) | (dB) | |
| No tissue | 0 | 0 | 0 | 0 | 68.91 | 13.947 | 0.854 | 13.093 | 71.67 | 20.313 | 1.864 | 18.449 |
| Skin | 0.2 | 0 | 0 | 0.2 | 67.94 | 2.908 | 0.564 | 2.344 | 67.88 | 3.954 | 0.703 | 3.251 |
| Muscle | 0 | 0 | 0.7 | 0.7 | 63.98 | 1.705 | 0.763 | 0.942 | 63.54 | 3.085 | 0.837 | 2.248 |
| Skin + Fat | 0.2 | 0.3 | 0 | 0.5 | 67.92 | 1.279 | 0.552 | 0.727 | 64.28 | 1.987 | 0.985 | 1.002 |
| Skin + Fat + Muscle | 0.2 | 0.3 | 0.7 | 1.2 | 65.03 | 0.547 | 0.508 | 0.039 | 65.25 | 0.669 | 0.519 | 0.150 |
| Tissue Name | Relative Permittivity | Conductivity [S/m] |
|---|---|---|
| Skin | 86.895 | 0.448 |
| Muscle | 70.529 | 0.692 |
| Fat | 6.382 | 0.035 |
Publisher’s Note: MDPI stays neutral with regard to jurisdictional claims in published maps and institutional affiliations. |
© 2022 by the authors. Licensee MDPI, Basel, Switzerland. This article is an open access article distributed under the terms and conditions of the Creative Commons Attribution (CC BY) license (https://creativecommons.org/licenses/by/4.0/).
Share and Cite
Farooq, M.; Amin, B.; Kraśny, M.J.; Elahi, A.; Rehman, M.R.u.; Wijns, W.; Shahzad, A. An Ex Vivo Study of Wireless Linkage Distance between Implantable LC Resonance Sensor and External Readout Coil. Sensors 2022, 22, 8402. https://doi.org/10.3390/s22218402
Farooq M, Amin B, Kraśny MJ, Elahi A, Rehman MRu, Wijns W, Shahzad A. An Ex Vivo Study of Wireless Linkage Distance between Implantable LC Resonance Sensor and External Readout Coil. Sensors. 2022; 22(21):8402. https://doi.org/10.3390/s22218402
Chicago/Turabian StyleFarooq, Muhammad, Bilal Amin, Marcin J. Kraśny, Adnan Elahi, Muhammad Riaz ur Rehman, William Wijns, and Atif Shahzad. 2022. "An Ex Vivo Study of Wireless Linkage Distance between Implantable LC Resonance Sensor and External Readout Coil" Sensors 22, no. 21: 8402. https://doi.org/10.3390/s22218402
APA StyleFarooq, M., Amin, B., Kraśny, M. J., Elahi, A., Rehman, M. R. u., Wijns, W., & Shahzad, A. (2022). An Ex Vivo Study of Wireless Linkage Distance between Implantable LC Resonance Sensor and External Readout Coil. Sensors, 22(21), 8402. https://doi.org/10.3390/s22218402

