Evaluation of Axial Preload in Different-Frequency Smart Bolts by Laser Ultrasound
Abstract
1. Introduction
2. Research Methods
2.1. Measurement Principle of Bolt Preload
2.2. Laser Ultrasonic Measurement System
3. Ultrasonic Measurement of the Bolt
3.1. Theoretical Model and Simulation
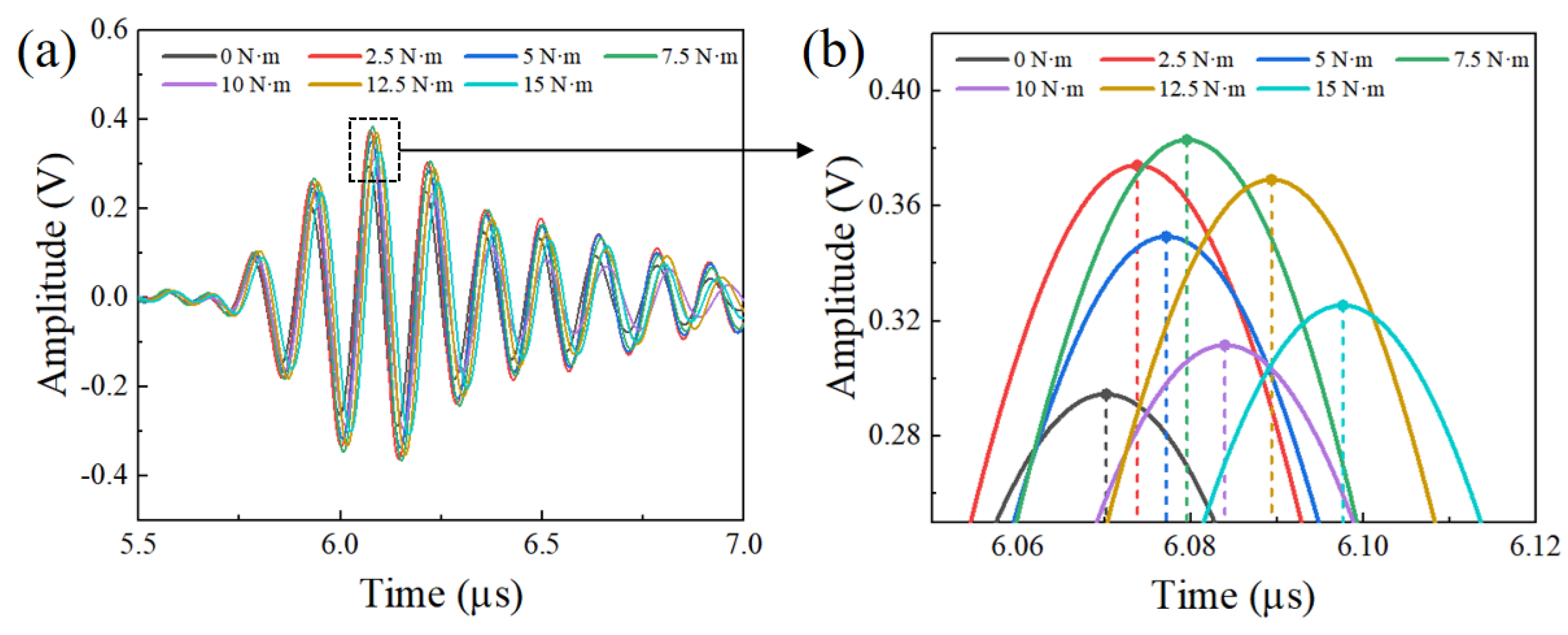
3.2. Ultrasonic Signal Acquisition
4. Conclusions
Author Contributions
Funding
Institutional Review Board Statement
Informed Consent Statement
Acknowledgments
Conflicts of Interest
References
- Basava, S.; Hess, D. Bolted joint clamping force variation due to axial vibration. J. Sound Vib. 1998, 210, 255–265. [Google Scholar] [CrossRef]
- Izumi, S.; Yokoyama, T.; Iwasaki, A.; Sakai, S. Three-dimensional finite element analysis of tightening and loosening mechanism of threaded fastener. Eng. Fail. Anal. 2005, 12, 604–615. [Google Scholar] [CrossRef]
- Dong, Z.Y.; Zhang, H.L. Bolt static finite element numerical simulation and experimental research. In Applied Mechanics and Materials; Trans Tech Publications Ltd.: Bäch, Switzerland, 2014; pp. 373–376. [Google Scholar]
- Liu, M.M.; Zhai, Q.G.; Shi, H. Analysis of Vibration Testing for the Structure with Bolted Flange Joints. In Applied Mechanics and Materials; Trans Tech Publications Ltd.: Bäch, Switzerland, 2015; pp. 205–210. [Google Scholar]
- Yella, S.; Gupta, N.K.; Dougherty, M.S. Comparison of pattern recognition techniques for the classification of impact acoustic emissions. Transp. Res. Part C Emerg. Technol. 2007, 15, 345–360. [Google Scholar] [CrossRef]
- Wang, F.; Song, G. Bolt-looseness detection by a new percussion-based method using multifractal analysis and gradient boosting decision tree. Struct. Health Monit. 2020, 19, 2023–2032. [Google Scholar] [CrossRef]
- Zhang, Y.; Sun, X.; Loh, K.J.; Su, W.; Xue, Z.; Zhao, X. Autonomous bolt loosening detection using deep learning. Struct. Health Monit. 2020, 19, 105–122. [Google Scholar] [CrossRef]
- Nikravesh, S.M.Y.; Goudarzi, M. A review paper on looseness detection methods in bolted structures. Lat. Am. J. Solids Struct. 2017, 14, 2153–2176. [Google Scholar] [CrossRef]
- Khomenko, A.; Koricho, E.G.; Haq, M.; Cloud, G.L. Bolt tension monitoring with reusable fiber Bragg-grating sensors. J. Strain Anal. Eng. Des. 2016, 51, 101–108. [Google Scholar] [CrossRef]
- Yeager, M.; Whitaker, A.; Todd, M. A method for monitoring bolt torque in a composite connection using an embedded fiber Bragg grating sensor. J. Intell. Mater. Syst. Struct. 2018, 29, 335–344. [Google Scholar] [CrossRef]
- Wang, Z.; Liu, M.; Zhu, Z.; Qu, Y.; Wei, Q.; Zhou, Z.; Tan, Y.; Yu, Z.; Yang, F. Clamp looseness detection using modal strain estimated from FBG based operational modal analysis. Measurement 2019, 137, 82–97. [Google Scholar] [CrossRef]
- Sun, Q.; Yuan, B.; Mu, X.; Sun, W. Bolt preload measurement based on the acoustoelastic effect using smart piezoelectric bolt. Smart Mater. Struct. 2019, 28, 055005. [Google Scholar] [CrossRef]
- Liu, Y.; Liu, E.; Chen, Y.; Wang, X.; Sun, C.; Tan, J. Measurement of fastening force using dry-coupled ultrasonic waves. Ultrasonics 2020, 108, 106178. [Google Scholar] [CrossRef] [PubMed]
- Pan, Q.; Pan, R.; Chang, M.; Xu, X. A shape factor based ultrasonic measurement method for determination of bolt preload. NDT E Int. 2020, 111, 102210. [Google Scholar] [CrossRef]
- Chen, P.; He, X.; Song, W. Parameter Recognition of Mode-Converted Wave in Single-Source Ultrasound Using Gabor Transform for Bolt Axial Stress Evaluation. J. Sens. 2020, 2020, 8883845. [Google Scholar] [CrossRef]
- Parvasi, S.M.; Ho, S.C.M.; Kong, Q.; Mousavi, R.; Song, G. Real time bolt preload monitoring using piezoceramic transducers and time reversal technique—A numerical study with experimental verification. Smart Mater. Struct. 2016, 25, 085015. [Google Scholar] [CrossRef]
- Tao, W.; Shaopeng, L.; Junhua, S.; Yourong, L. Health monitoring of bolted joints using the time reversal method and piezoelectric transducers. Smart Mater. Struct. 2016, 25, 025010. [Google Scholar] [CrossRef]
- Zhao, Z.; Chen, P.; Zhang, E.; Lu, G. Health monitoring of bolt looseness in timber structures using PZT-enabled time-reversal method. J. Sens. 2019, 2019, 2801638. [Google Scholar] [CrossRef]
- Kędra, R.; Rucka, M. Preload monitoring in a bolted joint using Lamb wave energy. Bull. Pol. Acad. Sci.-Tech. Sci. 2019, 67, 1161–1169. [Google Scholar]
- Jiang, T.; Wu, Q.; Wang, L.; Huo, L.; Song, G. Monitoring of bolt looseness-induced damage in steel truss arch structure using piezoceramic transducers. IEEE Sens. J. 2018, 18, 6677–6685. [Google Scholar] [CrossRef]
- Hei, C.; Luo, M.; Gong, P.; Song, G. Quantitative evaluation of bolt connection using a single piezoceramic transducer and ultrasonic coda wave energy with the consideration of the piezoceramic aging effect. Smart Mater. Struct. 2020, 29, 027001. [Google Scholar] [CrossRef]
- Zhang, Z.; Liu, M.; Su, Z.; Xiao, Y. Quantitative evaluation of residual torque of a loose bolt based on wave energy dissipation and vibro-acoustic modulation: A comparative study. J. Sound Vib. 2016, 383, 156–170. [Google Scholar] [CrossRef]
- Zhang, Z.; Xu, H.; Liao, Y.; Su, Z.; Xiao, Y. Vibro-acoustic modulation (VAM)-inspired structural integrity monitoring and its applications to bolted composite joints. Compos. Struct. 2017, 176, 505–515. [Google Scholar] [CrossRef]
- Zhang, Z.; Liu, M.; Liao, Y.; Su, Z.; Xiao, Y. Contact acoustic nonlinearity (CAN)-based continuous monitoring of bolt loosening: Hybrid use of high-order harmonics and spectral sidebands. Mech. Syst. Signal Process. 2018, 103, 280–294. [Google Scholar] [CrossRef]
- Haynes, C.; Yeager, M.; Todd, M.; Lee, J.-R. Monitoring bolt torque levels through signal processing of full-field ultrasonic data. In Health Monitoring of Structural and Biological Systems; SPIE: Bellingham, WA, USA, 2014; pp. 650–658. [Google Scholar]
- Tran, D.Q.; Kim, J.-W.; Tola, K.D.; Kim, W.; Park, S. Artificial intelligence-based bolt loosening diagnosis using deep learning algorithms for laser ultrasonic wave propagation data. Sensors 2020, 20, 5329. [Google Scholar] [CrossRef]
- Zhou, Y.; Yuan, C.; Sun, X.; Yang, Y.; Wang, C.; Li, D. Monitoring the looseness of a bolt through laser ultrasonic. Smart Mater. Struct. 2020, 29, 115022. [Google Scholar] [CrossRef]
- Zhou, Z.; Zhang, K.; Zhou, J.; Sun, G.; Wang, J. Application of laser ultrasonic technique for non-contact detection of structural surface-breaking cracks. Opt. Laser Technol. 2015, 73, 173–178. [Google Scholar] [CrossRef]
- Ren, G.; Xu, L.; Zhan, H.; Liu, S.; Jiang, W.; Li, R. Quantifying the shape effect of plasmonic gold nanoparticles on photoacoustic conversion efficiency. Appl. Opt. 2022, 61, 4567–4570. [Google Scholar] [CrossRef]
- Ren, G.; Sun, Z.; Dai, X.; Liu, S.; Zhang, X.; Chen, X.; Yan, M. Laser ultrasonic nondestructive evaluation of sub-millimeter-level crack growth in the rail foot weld. Appl. Opt. 2022, 61, 6414–6419. [Google Scholar] [CrossRef] [PubMed]
- Sun, S.; Li, S.; Lin, L.; Yuan, Y.; Li, M. A novel signal processing method based on cross-correlation and interpolation for ToF measurement. In Proceedings of the 2019 IEEE 4th International Conference on Signal and Image Processing (ICSIP), Wuxi, China, 19–21 July 2019; pp. 664–668. [Google Scholar]











Publisher’s Note: MDPI stays neutral with regard to jurisdictional claims in published maps and institutional affiliations. |
© 2022 by the authors. Licensee MDPI, Basel, Switzerland. This article is an open access article distributed under the terms and conditions of the Creative Commons Attribution (CC BY) license (https://creativecommons.org/licenses/by/4.0/).
Share and Cite
Ren, G.; Zhan, H.; Liu, Z.; Jiang, W.; Li, R.; Liu, S. Evaluation of Axial Preload in Different-Frequency Smart Bolts by Laser Ultrasound. Sensors 2022, 22, 8665. https://doi.org/10.3390/s22228665
Ren G, Zhan H, Liu Z, Jiang W, Li R, Liu S. Evaluation of Axial Preload in Different-Frequency Smart Bolts by Laser Ultrasound. Sensors. 2022; 22(22):8665. https://doi.org/10.3390/s22228665
Chicago/Turabian StyleRen, Guanpin, Huan Zhan, Ziqian Liu, Wei Jiang, Ru Li, and Shuang Liu. 2022. "Evaluation of Axial Preload in Different-Frequency Smart Bolts by Laser Ultrasound" Sensors 22, no. 22: 8665. https://doi.org/10.3390/s22228665
APA StyleRen, G., Zhan, H., Liu, Z., Jiang, W., Li, R., & Liu, S. (2022). Evaluation of Axial Preload in Different-Frequency Smart Bolts by Laser Ultrasound. Sensors, 22(22), 8665. https://doi.org/10.3390/s22228665
