Abstract
Energy harvesting (EH) and cooperative communication techniques have been widely used in cognitive radio networks. However, most studies on throughput in energy-harvesting cooperative cognitive radio networks (EH-CCRNs) are end-to-end, which ignores the overall working state of the network. For the above problems, under the premise of prioritizing the communication quality of short-range users, this paper focuses on the optimization of the EH-CCRN average throughput, with energy and transmission power as constraints. The formulated problem was an unsolved non-deterministic polynomial-time hardness (NP-hard) problem. To make it tractable to solve, a multi-user time-power resource allocation algorithm (M-TPRA) is proposed, which is based on sub-gradient descent and unary linear optimization methods. Simulation results show that the M-TPRA algorithm can improve the average throughput of the network. In addition, the energy consumed by executing the M-TPRA algorithm is analyzed.
1. Introduction
In recent years, with the rapid growth of the number of mobile users and wireless communication devices, the demand for spectrum resources has increased dramatically. However, studies have shown that the low utilization of the allocated spectrum exacerbates the lack of spectrum resources [1]. The cognitive radio (CR) technology proposed by Mitola allows the secondary user (SU) to opportunistically use the spectrum of the primary user (PU) under the premise of ensuring the communication quality of PU [2]. The method improves the spectrum utilization and alleviates the problem of the shortage of spectrum resources [3,4]. Meanwhile, EH and cooperative communication technologies are considered to be the key technologies to improve the throughput of various wireless networks, including the cognitive radio network (CRN).
EH technology is utilized to solve the problem where key functions in CR technology (such as spectrum sensing and spectrum prediction) increase the energy consumption of equipment. Attempts have been made to reduce the overall energy consumption of the devices by energy-saving technology [5,6], but most CRNs are composed of battery-powered wireless devices, and energy-saving technology alone cannot fundamentally solve the problem of energy consumption. EH is a technology that provides a new way of powering the network by extracting energy from sources including solar [7], wind [8], radio frequency (RF) [9] and other energy sources. Among them, RF energy has become meaningful because of its reliability and sustainability. Wireless power transmission (WPT) technology derived from EH is widely used. In ref. [10], WPT duration, transmission time allocation of each edge device and the partial offloading decision are jointly optimized in order to maximize the sum computation rate. An online offloading algorithm based on deep reinforcement learning (DRL) is designed to solve the optimization problem. Zheng et al. studied the WPT-aided cell-free massive MIMO system. The harvested energy (HE) from the downlink WPT is used to support both uplink data and pilot transmission, which improves the spectral efficiency of the system [11]. In addition, the application of EH technology in CRNs greatly improves the performance of the CRN network. In the research of EH technology in CRNs (EH-CRN), the existing works mainly focus on two aspects: outage probability [12,13] and throughput [14,15,16,17]. An algorithm based on Proximal Policy Optimization (PPO) was proposed to maximize the network throughput of SU, with energy and Quality of Service (QoS) constraints [14]. In ref. [15], energy and collision were taken into account to maximize the average network throughput. Talukdar et al. analyzed the influence of multiple parameters on the network throughput of EH-CRN [16]. Liu et al. maximized the achievable throughput of EH-CRN by deriving the optimal decision threshold in the cooperative spectrum strategy [17].
Cooperative communication technology can effectively improve the throughput of the cognitive network while expanding the coverage of the network [18]. Cooperative cognitive radio networks (CCRNs) are a new type of network that combine cognitive radio technology and cooperative communication technology [19]. In CCRNs, SU forwards the information of PU in a cooperative relay manner and, in return, grants a part of the channel access time. Information cooperation in CCRNs can reduce outage probability [20,21] and improve network throughput [22,23]. In ref. [22], the end-to-end throughput was improved by optimizing the hop-by-hop relay selection strategy. An asymmetric resource allocation scheme with asymmetric transmission duration was proposed, and simulation verified that the scheme improved the system throughput [23].
Compared with CRN, although the network performance of CCRNs have greatly improved, they also face the problem of high energy consumption. Since the performance of EH-CRN throughput does not consider the situation of cooperative communication [14,15,16,17], the combination of CCRNs and EH-CRNs has great practical significance for future wireless communication technology research [24,25,26,27]. The simultaneous wireless information and power transfer (SWIPT) transmission concept first proposed by Varshney provided a theoretical basis for the combination of EH-CRN and CCRN [24]. By optimizing the transmission power and time switching factor of the SU for data transmission and EH, ref. [25] maximized the long-term throughput of the secondary user network. A relay selection optimization strategy was adopted to improve the throughput of the PU network [26]. The impact of the number of users on the overall network throughput was analyzed in the joint cooperative mode [27]. However, the optimization goals of refs. [25,26] are end-to-end throughput, which cannot reflect the overall working state of the cognitive network. Although the maximum total network throughput is improved in ref. [27], it ignores the effects of other parameters, such as transmit power.
This work explores the SWIPT model in the context of a multi-user EH-CCRN with the goal of maximizing the average network throughput. The system contains a pair of PUs and a pair of SUs. Secondary user transmitter () does not have the original battery and can only collect energy from the RF signal of PU. At the same time, uses the RF energy to forward the information of PU. In addition, the CRN adopts the underlay access strategy and the decode-and-forward relay strategy. In this paper, the transmit power of PU and SU is limited to an acceptable range. A more practical cooperative transmission scenario is considered. The main contributions of the paper are as follows:
- (1)
- A time-power joint optimization model with the goal of maximizing the network’s throughput is proposed and analyzed. The optimization model is constrained by transmission power, energy and interruption. Moreover, we comprehensively analyze the impacts of different key parameters on the average throughput of EH-CCRNs, i.e., the transmission power of PU, the system time switching factor and distance, etc.
- (2)
- A power splitting factor expression at SU is proposed, on the basis that the effect of time switching factor on the network average throughput is independent of this factor. We provide a detailed analysis of the influence of this factor on the communication quality of short-range users.
- (3)
- A multi-user time-power resource allocation algorithm (M-TPRA) is proposed. Firstly, M-TPRA transforms non-convex optimization problems into convex optimization problems by introducing slack variables. Secondly, using the idea of hierarchical optimization, the optimization problem is divided into two sub-problems: power control and time allocation. Thirdly, the power control is obtained by sub-gradient descent, and time allocation is obtained by unary linear optimization. Finally, we analyze the energy consumed by implementing the M-TPRA algorithm.
2. System Model
Figure 1 illustrates an underlay EH-CCRN which consists of a primary user transmitter (), primary user receiver (), and secondary user receiver (). We assume that there is no direct communication link between and due to distance and shadow fading. As a relay, can collect energy from the RF signal of and obtain some resources (time, spectrum) to decode-forward information. In addition, all channels are independent and identically distributed and subject to Rayleigh fading. The channel coefficients remain unchanged for block time T. The notation list in Appendix A summarizes the following main variables and parameters used in this study.
Figure 1.
System model.
The system transmission protocol is divided into two stages, as shown in Figure 2. In the first stage, broadcasts, and uses the power splitting (PS) receiving scheme for EH and information decoding (ID). In the second stage, uses the harvested energy to transmit information to and .
Figure 2.
System transmission protocol.
2.1. Broadcasting
broadcasts signal , and the signal received by is given by
where is the transmission power of , is path loss index, is the channel coefficient between and , is the distance between and , and is zero-mean additive white Gaussian noise at with variance .
Thus, the signal-to-noise ratio (SNR) at is described as
According to the Shannon Theorem, the maximum transmission rate between and can be expressed as
Furthermore, the energy collected by can be written as
where is the time switching factor, is the power-splitting factor at and is the energy conversion efficiency.
In particular, since the transmits information by broadcasting, it will cause certain interference to the . Hence, the interference signal received by is
where is the channel coefficient between and , is the distance between and , and is zero-mean additive white Gaussian noise at with variance . We assume that the can successfully decode the received signal transmitted by the in the second stage, which can effectively eliminate the interference of [28].
2.2. Broadcasting
After decodes the signal transmitted by successfully, it broadcasts the signal with the transmission power . divides into two parts: and , where is the power-splitting factor at , is the power of the signal sent to , and is the power of the signal sent to . The broadcast signal of can be expressed as
On the one hand, the signal received by is
where is the channel coefficient between and , is the distance between and , is zero-mean additive white Gaussian noise at with variance . Signal-to-interference-plus-noise ratio (SINR) at can be expressed as
The maximum transmission rate on the channel between and can be written as
On the other hand, the signal received by after eliminating the interference is
Therefore, SINR at is described as
On the channel between and , the maximum transmission rate can be expressed as
2.3. Problem Formulation
In EH-CCRNs, when and are lower than the target rate , the link is interrupted. Assuming that the system is not interrupted within the time T, and must satisfy the following:
Assuming that the SU does not have battery and can only use the capacitor for energy storage, the energy required by SU in the second stage can only come from the collection in the first stage, so must satisfy the following:
According to the characteristics of the CRN, is constrained by the interference threshold , namely:
To prevent interference with public systems, should be constrained by Maximum transmission power , namely
The average network throughput is
The research goal in this paper is to maximize average throughput of the network while ensuring the quality of user communication. Therefore, the throughput optimization problem can be described as
Equation (18) is the optimizing problem. The optimization variables are the transmission power , the time switching factor , and the power splitting factor at . C1~C8 are the constraints of the optimizing problem. C7 and C8 are constraints on the value range of , , , making the system model more realistic.
3. Multi-User Time-Power Resource Allocation Algorithm (M-TPRA)
Equation (18) is a non-convex problem (Appendix B for the proof), and it is difficult to directly obtain the solution. Therefore, it is necessary to make it a convex optimization.
In the model proposed in this paper, we assume that the effect of on the network average throughput is independent of . That is, the network average throughput is independent of after taking the derivative of :
Taking the expression of into Equation (19), we can obtain
From Equation (20), can be solved and expressed as
According to C7 and Equation (21), the following constraint can be obtained:
As , and are non-negative values, is always satisfied. By substituting Equations (3), (9) and (12) into Equation (18), the optimization problem of (18) can be described as follows:
However, the objective function of P2 is still a non-convex function, and the feasible region is not a convex set. In order to obtain the global optimal solution, a slack variable is introduced [29], and the optimization problem (Equation (23)) is rewritten as
Now, the objective function of P3 is a concave function, and the feasible region is a convex set (Appendix C for the proof). However, due to the nature of the objective function and constraints, a joint closed-form solution cannot be obtained. Therefore, based on the idea of cross-layer optimization, this paper transforms the original optimization problem into an inner and outer two layers to solve.
Under the requirement of ensuring the normal communication of the system, the inner layer converts the optimization objective function into a subtractive formula. Then, the sub-gradient descent is used to obtain the optimal transmission power of . The outer layer obtains the optimal time switching factor by unary linear optimization when the optimal transmission power of has been obtained.
3.1. Power Control
This section is the inner layer of M-TPRA, solving the power control problem. The optimization variable is . The Lagrange equation of the sub-problem can be described as
where are dual variables. We apply Karush-Kuhn-Tucker (KKT) conditions and obtain
represents . From Equation (27), it can be known that is independent of . can be obtained by the sub-gradient method:
where k is the number of iterations and is the negative gradient step size of in each iteration. After is updated, the value of is simultaneously updated. The specific implementation steps of the algorithm are shown in Algorithm 1.
| Algorithm 1: Multi-User Time-Power Resource Allocation Algorithm |
| 1. Initialization: , , , , convergence tolerance; 2. while 3. calculated , according to Equations (22) and (27); 4. if and 5. update 6. end if 7. calculated according to Equation (17); 8. iteratively update according to Equation (29); 9. end while 10. obtained according to P5; 11. for 12. calculated according to Equation (17); 13. end for |
3.2. Time Allocation
This section is the outer layer of M-TPRA, solving the time allocation problem. That is, when the optimal transmission power of is known, the maximum average throughput of the network is calculated. The sub-problems can be written as
The optimization problem P5 is a unary linear optimization. The value range of can be calculated through the constraints of P5. Then, the maximum value of the objective function can be obtained within this range. The solution detailed steps of the multi-user time-power resource allocation algorithm (M-TPRA) is shown in Algorithm 1.
4. Results and Discussion
4.1. Simulation Parameters
In this section, M-TPRA is simulated, verified and analyzed considering a pair of PUs and a pair of SUs. The part values of the simulation parameters were based on ref. [28] and are summarized in Table 1.
Table 1.
Simulation parameters.
4.2. Effect of Transmission Power on Throughput
Figure 3 shows the relationship between transmission power and the average throughput of the network, where the value of is 0.5.
Figure 3.
Effect of on average network throughput.
For horizontal comparison, Figure 3 shows the relationship between and the network average throughput. It can be seen from Figure 3 that as increases, the network average throughput increases gradually. This phenomenon is mainly caused by two reasons. Firstly, when the noise power is constant, the greater the transmission power, the greater the , the greater the maximum transmission rate on the communication link from to . Hence, the network average throughput increases. Secondly, the network adopts the DF relay strategy. The larger is, the probability of successful decoding will also increase, which is also conducive to improving the network average throughput. However, it is due to external interference and the limitation of that the network average throughput grows slower as becomes larger.
When comparing vertically, Figure 3 shows the relationship between the and the network average throughput. Observing Figure 3, it can be seen that when is kept constant, the network average throughput increases with the increase of . The reason is similar to that in the horizontal comparison. However, with the increase of , the curve in Figure 3 gradually becomes denser, indicating that the average network throughput grows slowly, which is due to the influence of the interference threshold .
4.3. Relationship between and Throughput
Figure 4 is the relationship between and the network average throughput, where . In the network, the PU network contains two communication links, and , and the SU network contains one communication link, , so the PU network throughput is , the SU network throughput is , and the average network throughput is . First of all, we observe from Figure 4 that the network average throughput, the PU network throughput and the SU network throughput cannot be optimal at the same time. Secondly, when other parameters in the network are determined, is linearly related to the average throughput of the network. As increases, gradually becomes larger, so has a positive linear relationship with the network throughput of PU. However, has a negative linear correlation with the SU network throughput and the network average throughput. This is because the increase of shortens the time left for to propagate information. The maximum transmittable rate on the , two communication links becomes smaller, which may be lower than the target rate , which leads to the interruption of the link. Thus, the throughput is reduced. In this system model, the goal is to maximize the network average throughput, so should take the minimum value in the range .
Figure 4.
Relationship between and throughput.
4.4. Effect of Distance on
Figure 5 shows the relationship between the distance from to and at , and Figure 6 shows the relationship between and v3. Among them, the distance from to remains unchanged at 1.5 m. When , it can be observed from Figure 5 that , that is, is always in the state of equal power distribution whatever the value of . In addition, when remains unchanged, gradually decreases with the increase of , which results in less transmission power allocated by to . This is because reserves more power for the to ensure the communication quality of the close-range users. Therefore, from Figure 6 we can observe that the throughput v3 of the SU network communication link becomes larger as becomes larger. At the same time, when and are kept constant, the larger the , the smaller the proportion of occupied transmission power; so, we can observe that decreases with the increase of .
Figure 5.
Relationship between and .
Figure 6.
Relationship between and v3.
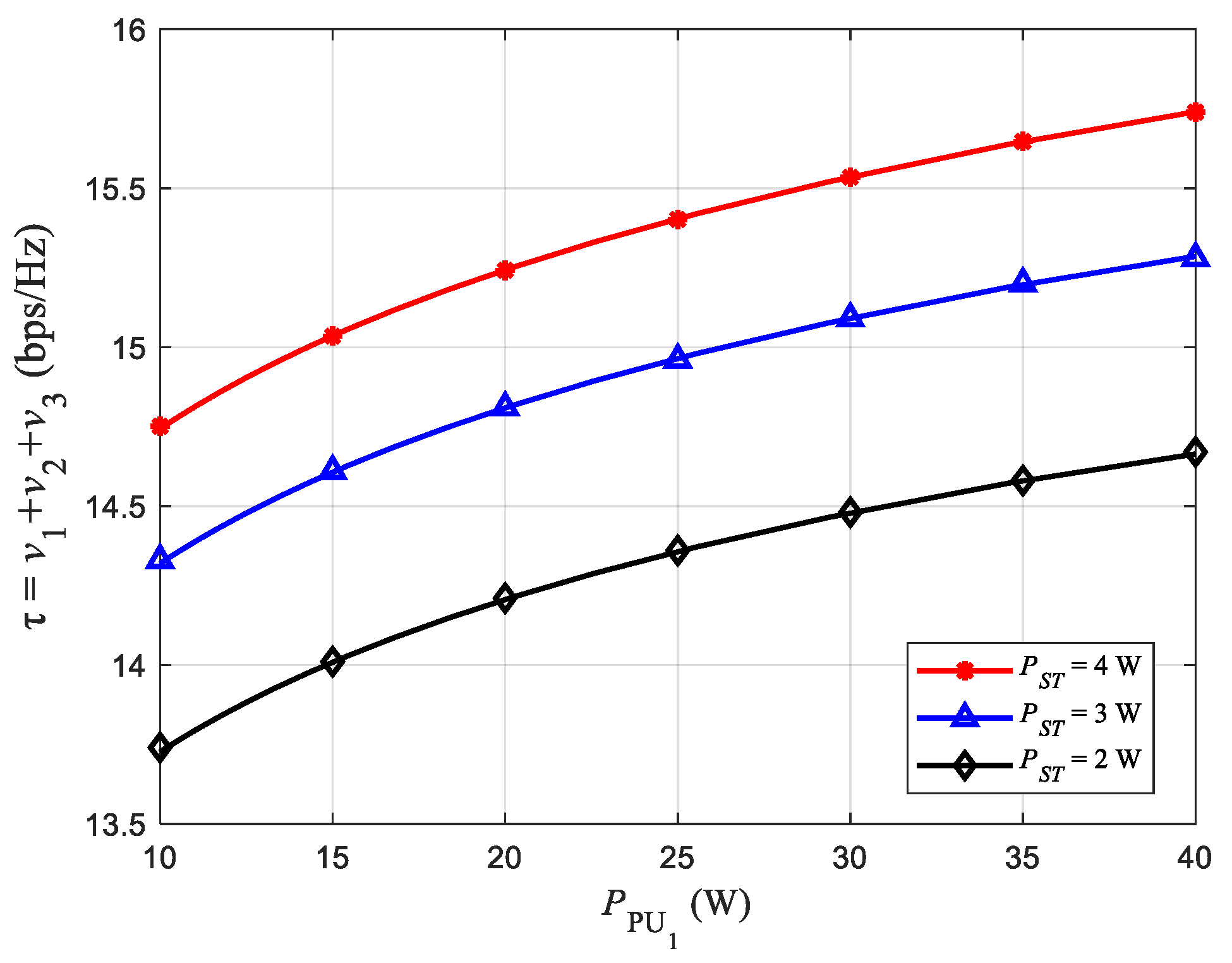
Figure 7 is a relationship curve between the distance from to and . Figure 8 is a relationship curve between the distance and v3 + v2. Among them, the distance from to remains unchanged at 1.5 m. In the system model, the transmission power allocated by to is , which has a complementary relationship with the transmission power allocated to . Therefore, in Figure 7, the relationship - and the relationship - have opposite trends and are symmetrical about . The characteristics of the curves in Figure 7 are similar to those in Figure 5. At the same time, we can see from Figure 8 that the throughput of the PU network v3 + v2 becomes larger as increases, which ensures the communication quality of the close-range user.
Figure 7.
Relationship between and .
Figure 8.
Relationship between and v1 + v2.
4.5. Algorithm Comparative Analysis
Figure 9 shows the performance comparison of M-TPRA, the exhaustive method and the joint optimization algorithm in this model. It can be seen from Figure 9 that with the increase of , the performance of M-TPRA gradually approaches the exhaustive method. However, the exhaustive method needs to traverse all possibilities, so it takes longer than M-TPRA. In the case of similar performance, M-TPRA is more applicable to the actual situation. The optimization goal of the joint optimization algorithm proposed in ref. [29] is end-to-end throughput. From Figure 9, it can be observed that the performance of M-TPRA is much higher than joint optimization. Therefore, the algorithm that optimizes the end-to-end throughput cannot guarantee the overall throughput of the network.
Figure 9.
Performance comparison of M-TPRA, exhaustive method and joint optimization algorithm.
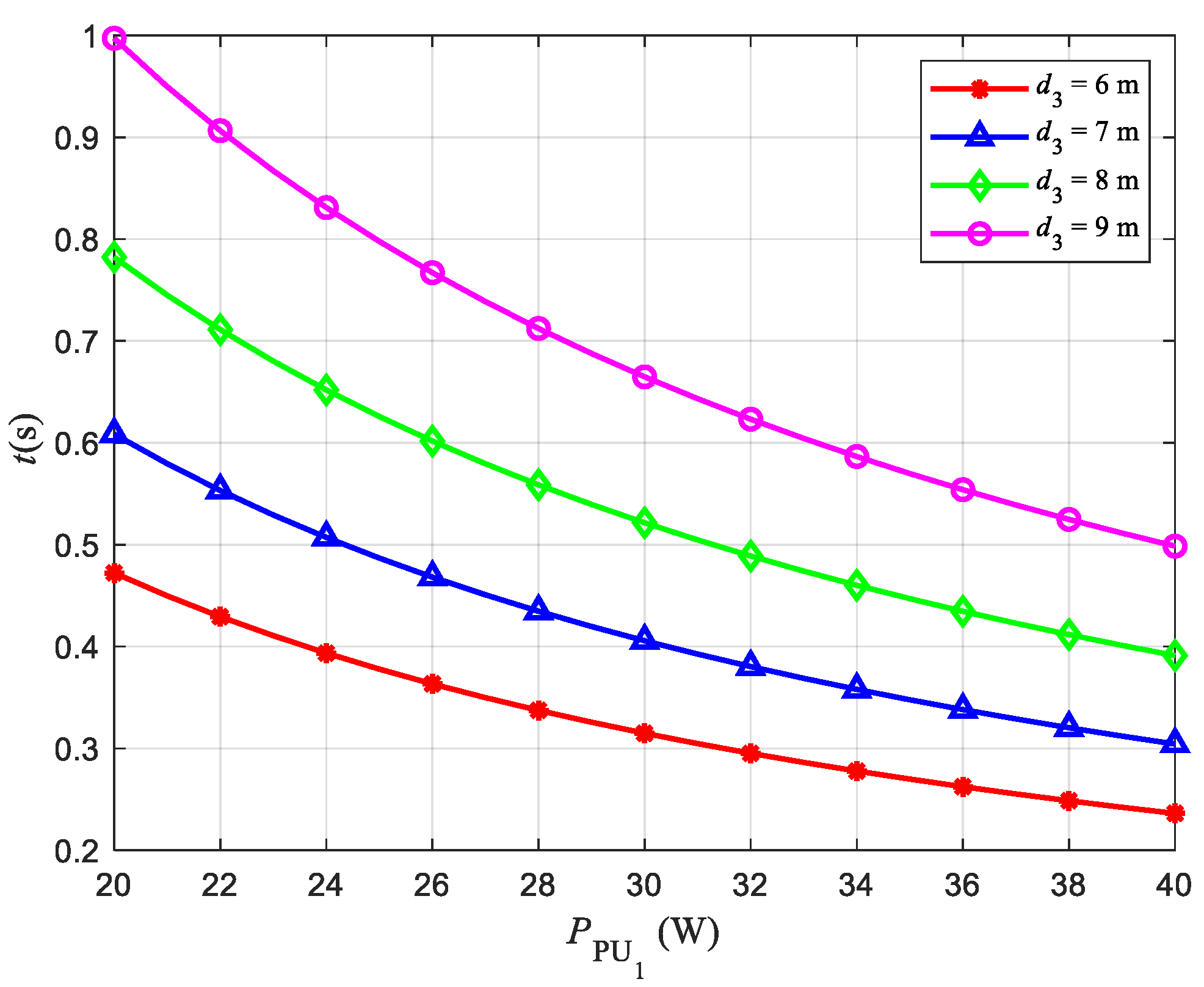
4.6. Energy Consumption Analysis
In this system, we ignore the energy loss of the EH circuit when converting RF energy into electrical energy. Therefore, the energy used by the consists of only two parts, one for executing the M-TPRA algorithm and the other for transmitting information. In order to balance the communication quality of and , the maximum value of is 9 m when is 1.5 m. In addition, considering the saturation of the EH circuit, a timer is added to the EH system. The timer specifies the time required to collect energy. Figure 10 shows the relationship between the transmit power and the EH time when the distance between users is consistent. For example, when the value is 20 W, the maximum energy collected by the system is 3.34 w. When the information transmission distance is 9 m, 2.64 W is required. Therefore, the energy consumed by executing the M-TPRA algorithm is about 0.7 W. Beyond this energy value, the communication link may be interrupted. The time required to collect energy is , so the average speed of collecting energy is . Therefore, when the energy required to execute the M-TPRA algorithm is 0.7 W, the time to collect 3.34 w energy is 1 s. It can be seen from Figure 10 that when the distance between users is fixed, the larger is, the shorter the time required for energy collection is. When the transmit power is constant, the larger is, the longer the energy collection time.
Figure 10.
Relationship between and the EH time.
5. Conclusions
This paper studies the problem of maximizing average throughput in EH-CCRNs. In this network, SU relies on the energy collected from the primary user’s RF signal to decode and forward information, and the transmission power of both the PU and SU is limited to a certain extent. Under these constraints, a multi-user time-power resource allocation algorithm (M-TPRA) is proposed to improve the network average throughput. Simulation results show that the average throughput of the network is positively correlated with the primary users’ transmission power and negatively correlated with the system time switching factor. At the same time, the system can reasonably set the power splitting factor at the SU according to the user distance and give priority to ensuring the communication quality of the short-range users. In addition, the energy consumed by implementing the M-TPRA algorithm is also analyzed. In order to make the system more realistic, the saturation of the EH circuit is considered. A timer is added to the system, and the time set by the timer is related to the and the distance between users. This work can also be considered in the scenario of multiple pairs of sub-users.
Author Contributions
Conceptualization, Y.W. (Yaqing Wang); Methodology, Y.W. (Yucheng Wu); Software, C.Z.; Validation, Y.W. (Yaqing Wang), S.C. and Y.W. (Yucheng Wu); Formal Analysis, Y.W. (Yaqing Wang); Investigation, Y.W. (Yaqing Wang), Y.W. (Yucheng Wu) and C.Z.; Resources, Y.W. (Yucheng Wu); Data Curation, S.C. and C.Z.; Writing—Original Draft Preparation, Y.W. (Yaqing Wang); Writing—Review & Editing, Y.W. (Yaqing Wang) and S.C.; Project Administration, Y.W. (Yucheng Wu) and S.C.; Funding Acquisition, Y.W. (Yucheng Wu) and S.C. All authors have read and agreed to the published version of the manuscript.
Funding
This research was funded by the National Key Research and Development Program of China, grant number 2018YFB2100100.
Institutional Review Board Statement
Not applicable.
Informed Consent Statement
Not applicable.
Data Availability Statement
Not applicable.
Conflicts of Interest
The authors declare no conflict of interest.
Appendix A
Table A1.
Notation list.
Table A1.
Notation list.
| Notation | Description |
|---|---|
| transmission power of | |
| transmission power of | |
| channel coefficient | |
| distance between users | |
| zero-mean additive white Gaussian noise at | |
| zero-mean additive white Gaussian noise at | |
| zero-mean additive white Gaussian noise at | |
| AWGN variance at | |
| AWGN variance at | |
| AWGN variance at | |
| path loss index | |
| time switching factor | |
| power-splitting factor | |
| energy conversion efficiency | |
| interference threshold | |
| maximum transmission power | |
| maximum transmission rate | |
| target rate | |
| average network throughput | |
| energy collected by |
Appendix B
The Hessian matrix of optimization problem P1 can be expressed as
Bringing in the objective function of P1, we obtain
where:
Applying row operations, we obtain
where:
It can be seen from the above equation that the eigenvalues of the Hessian matrix are , , and , which are not all negative, so the objective function is not a convex function. In the same way, it can be seen that the constraint C1 is non-convex, while the constraints C2, C3, C4, C5, and C6 are convex, and the constraints C7 and C8 are affine surfaces, which are always convex.
Appendix C
The Hessian matrix of optimization problem P3 can be expressed as
Bringing in the objective function of P3, we obtain
where:
After row transformation, we obtain
where:
The eigenvalues of the Hessian matrix are and 0, which are not positive, so the objective function is a concave function. Similarly, the eigenvalues of the constraints in P3 are all non-negative, so the feasible region of P3 is a convex set.
References
- Commission, F.C. Spectrum Policy Task Force Report. IEEE Trans. Inf. Forensics Secur. 2002, 1, 2–135. [Google Scholar]
- Mitola, J.; Maguire, G.Q. Cognitive Radio: Making Software Radios More Personal. IEEE Pers. Commun. 1999, 6, 13–18. [Google Scholar] [CrossRef]
- Aboulfotouh, A.; Soliman, S.S. Time-Efficient Sub-Optimal Solutions for Dynamic Spectrum Allocation in CRN with User Fairness. IEEE Access 2021, 9, 145033–145044. [Google Scholar] [CrossRef]
- Sangdeh, P.K.; Pirayesh, H.; Quadri, A.; Zeng, H. A Practical Spectrum Sharing Scheme for Cognitive Radio Networks: Design and Experiments. IEEE/ACM Trans. Netw. 2020, 28, 1818–1831. [Google Scholar] [CrossRef]
- Chauhan, P.; Deka, S.K.; Chatterjee, B.C.; Sarma, N. Cooperative Spectrum Prediction-Driven Sensing for Energy Constrained Cognitive Radio Networks. IEEE Access 2021, 9, 26107–26118. [Google Scholar] [CrossRef]
- Wang, C.; Song, T.; Wu, J.; Yu, Y.; Hu, J. Energy-Efficient Cooperative Spectrum Sensing with Reporting Errors in Hybrid Spectrum Sharing CRNs. IEEE Access 2018, 6, 48391–48402. [Google Scholar] [CrossRef]
- Roy, R.B.; Rokonuzzaman, M.; Amin, N.; Mishu, M.K.; Alahakoon, S.; Rahman, S.; Mithulananthan, N.; Rahman, K.S.; Shakeri, M.; Pasupuleti, J. A Comparative Performance Analysis of ANN Algorithms for MPPT Energy Harvesting in Solar PV System. IEEE Access 2021, 9, 102137–102152. [Google Scholar] [CrossRef]
- Xu, T.; Zhang, N. Coordinated Operation of Concentrated Solar Power and Wind Resources for the Provision of Energy and Reserve Services. IEEE Trans. Power Syst. 2017, 32, 1260–1271. [Google Scholar] [CrossRef]
- Sudevalayam, S.; Kulkarni, P. Energy Harvesting Sensor Nodes: Survey and Implications. IEEE Commun. Surv. Tutor. 2011, 13, 443–461. [Google Scholar] [CrossRef]
- Zhang, S.; Gu, H.; Chi, K.; Huang, L.; Yu, K.; Mumtaz, S. DRL-Based Partial Offloading for Maximizing Sum Computation Rate of Wireless Powered Mobile Edge Computing Network. IEEE Trans. Wirel. Commun. 2022, 1–15. [Google Scholar] [CrossRef]
- Zheng, J.; Zhang, J.; Ai, B. UAV Communications with WPT-Aided Cell-Free Massive MIMO Systems. IEEE J. Sel. Areas Commun. 2021, 39, 3114–3128. [Google Scholar] [CrossRef]
- Xiao, H.; Jiang, H.; Deng, L.-P.; Luo, Y.; Zhang, Q.-Y. Outage Energy Efficiency Maximization for UAV-Assisted Energy Harvesting Cognitive Radio Networks. IEEE Sens. J. 2022, 22, 7094–7105. [Google Scholar] [CrossRef]
- Ni, L.; Da, X.; Hu, H.; Zhang, M.; Cumanan, K. Outage Constrained Robust Secrecy Energy Efficiency Maximization for EH Cognitive Radio Networks. IEEE Wirel. Commun. Lett. 2020, 9, 363–366. [Google Scholar] [CrossRef]
- Du, K.; Xie, X.; Shi, Z.; Li, M. Joint Time and Power Control of Energy Harvesting CRN Based on PPO. In Proceedings of the 2022 Wireless Telecommunications Symposium (WTS), Pomona, CA, USA, 6–8 April 2022; pp. 1–6. [Google Scholar]
- Zheng, K.; Liu, X.; Zhu, Y.; Chi, K.; Li, Y. Impact of Battery Charging on Spectrum Sensing of CRN with Energy Harvesting. IEEE Trans. Veh. Technol. 2020, 69, 7545–7557. [Google Scholar] [CrossRef]
- Talukdar, B.; Kumar, D.; Arif, W. Analytical Modelling and Performance Evaluation of a Prediction Based EH-Cooperative CRN under Erlang Distribution. In Proceedings of the 2019 IEEE International Conference on Advanced Networks and Telecommunications Systems (ANTS), Goa, India, 16–19 December 2019; pp. 1–6. [Google Scholar]
- Liu, X.; Zheng, K.; Chi, K.; Zhu, Y.-H. Cooperative Spectrum Sensing Optimization in Energy-Harvesting Cognitive Radio Networks. IEEE Trans. Wirel. Commun. 2020, 19, 7663–7676. [Google Scholar] [CrossRef]
- Boddapati, H.K.; Prakriya, S.; Bhatnagar, M.R. Throughput Analysis of Cooperative Multi-Hop Underlay CRNs with Incremental Relaying. In Proceedings of the 2017 IEEE International Conference on Communications Workshops (ICC Workshops), Paris, France, 21–25 May 2017; pp. 379–385. [Google Scholar]
- Chen, X.; Chen, H.-H.; Meng, W. Cooperative Communications for Cognitive Radio Networks—From Theory to Applications. IEEE Commun. Surv. Tutor. 2014, 16, 1180–1192. [Google Scholar] [CrossRef]
- Chinh Chu, T.M.; Zepernick, H.-J. Outage Probability of a Hybrid AF-DF Protocol for Two-Way Underlay Cognitive Cooperative Radio Networks. In Proceedings of the 2017 11th International Conference on Signal Processing and Communication Systems (ICSPCS), Gold Coast, Australia, 13–15 December 2017; pp. 1–9. [Google Scholar]
- Ji, Y.; Zhang, X.; Zhang, G.; Zhu, X.; Sun, Q.; Duan, W. Use of NOMA for Maritime Communication Networks with P-DF Relaying Channel. China Commun. 2020, 17, 236–246. [Google Scholar] [CrossRef]
- Sun, H.; Naraghi-Pour, M.; Sheng, W.; Zhang, R. A Hop-by-Hop Relay Selection Strategy in Multi-Hop Cognitive Relay Networks. IEEE Access 2020, 8, 21117–21126. [Google Scholar] [CrossRef]
- Senthilkumar, L.; Meenakshi, M. Asymmetric Resource Allocation in Relay-Aided Cognitive Radio Networks. In Proceedings of the 2017 International Conference on Communication and Signal Processing (ICCSP), Chennai, India, 6–8 April 2017; pp. 1043–1047. [Google Scholar]
- Varshney, L.R. Transporting Information and Energy Simultaneously. In Proceedings of the 2008 IEEE International Symposium on Information Theory, Toronto, ON, Canada, 6–11 July 2008; pp. 1612–1616. [Google Scholar]
- Ding, Z.; Schober, R.; Poor, H.V. No-Pain No-Gain: DRL Assisted Optimization in Energy-Constrained CR-NOMA Networks. IEEE Trans. Commun. 2021, 69, 5917–5932. [Google Scholar] [CrossRef]
- Zhang, Z.; Lu, Y.; Huang, Y.; Zhang, P. Neural Network-Based Relay Selection in Two-Way SWIPT-Enabled Cognitive Radio Networks. IEEE Trans. Veh. Technol. 2020, 69, 6264–6274. [Google Scholar] [CrossRef]
- Zheng, K.; Liu, X.; Zhu, Y.; Chi, K.; Liu, K. Total Throughput Maximization of Cooperative Cognitive Radio Networks with Energy Harvesting. IEEE Trans. Wirel. Commun. 2020, 19, 533–546. [Google Scholar] [CrossRef]
- Zhang, Z.; Lu, Y.; Huang, Y. Simultaneous Wireless Information and Power Transfer for Dynamic Cooperative Spectrum Sharing Networks. IEEE Access 2019, 7, 823–834. [Google Scholar] [CrossRef]
- Ali, Z.; Sidhu, G.A.S.; Waqas, M.; Xing, L.; Gao, F. A Joint Optimization Framework for Energy Harvesting Based Cooperative CR Networks. IEEE Trans. Cogn. Commun. Netw. 2019, 5, 452–462. [Google Scholar] [CrossRef]
Publisher’s Note: MDPI stays neutral with regard to jurisdictional claims in published maps and institutional affiliations. |
© 2022 by the authors. Licensee MDPI, Basel, Switzerland. This article is an open access article distributed under the terms and conditions of the Creative Commons Attribution (CC BY) license (https://creativecommons.org/licenses/by/4.0/).









