Dual-Band Wide-Angle Reflective Circular Polarization Converter with Orthogonal Polarization Modes
Abstract
1. Introduction
2. Analysis of Operation Principle
3. Design and Simulation
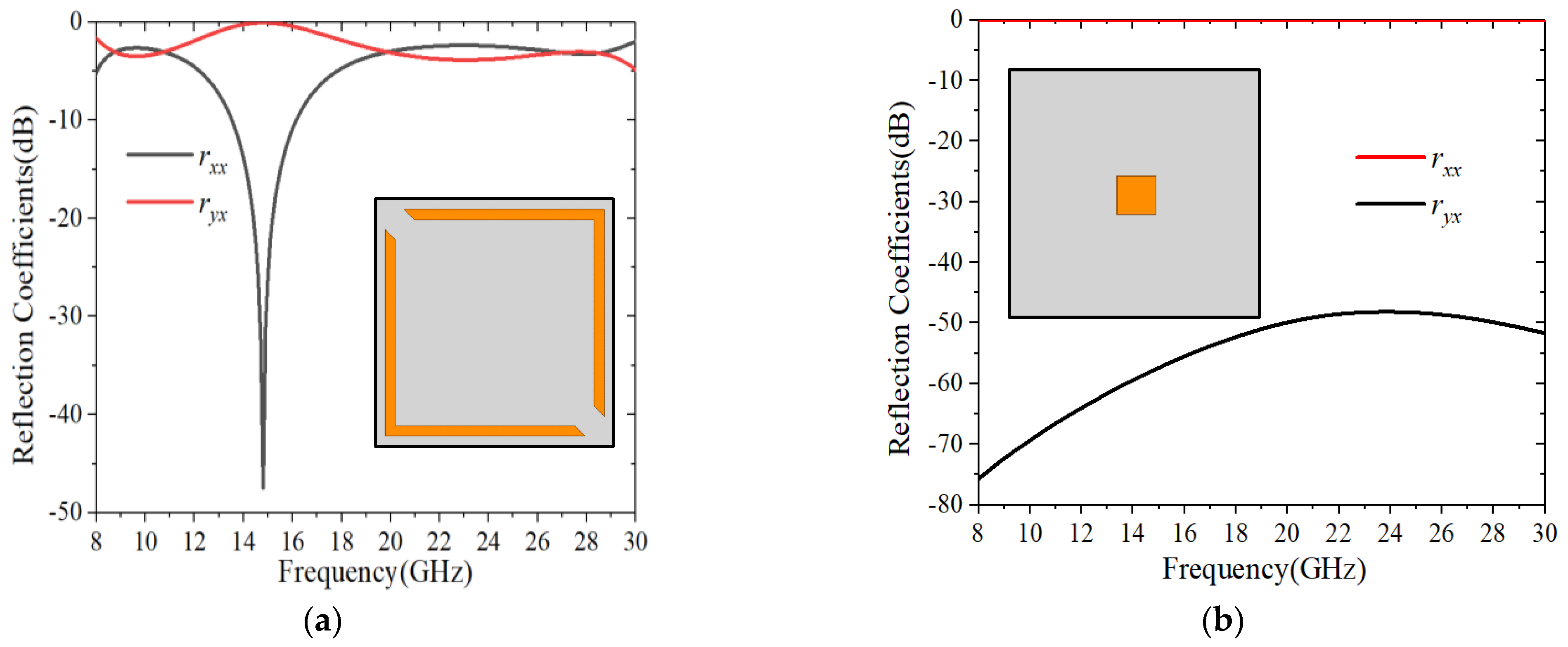
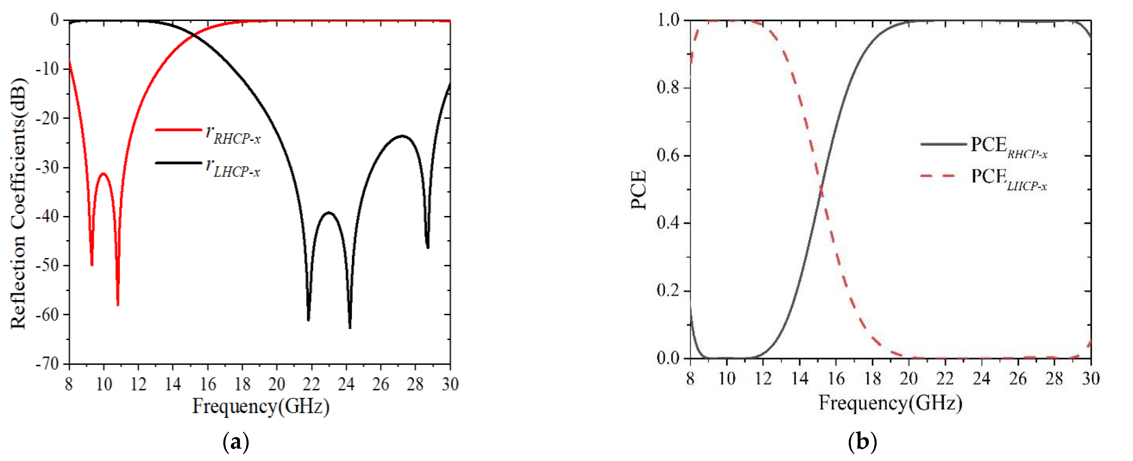
3.1. Linear to Circular Polarization Conversion
3.2. Surface Current Distributions
3.3. Parametric Analysis
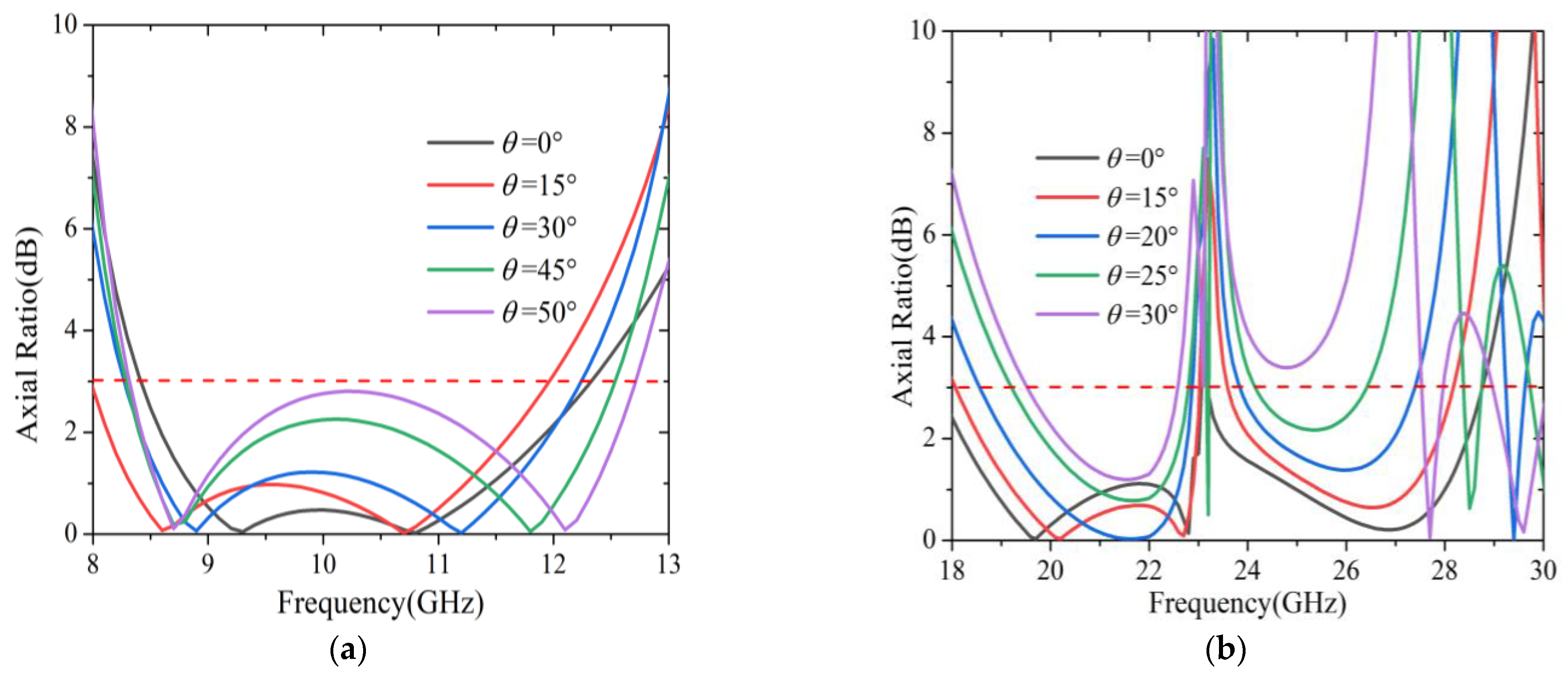
3.4. Angular Stability
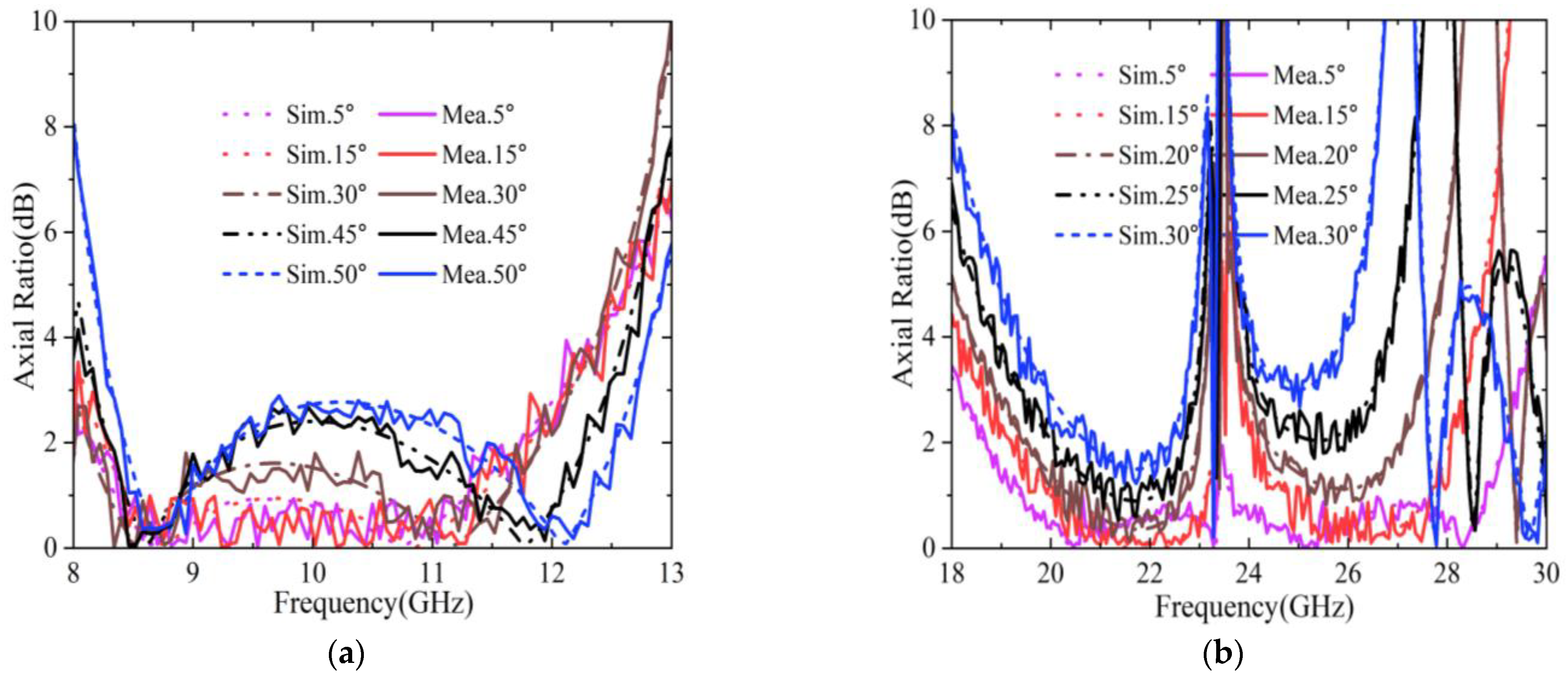
4. Experimental Results
5. Conclusions
Author Contributions
Funding
Institutional Review Board Statement
Informed Consent Statement
Data Availability Statement
Conflicts of Interest
References
- Yu, N.; Genevet, P.; Kats, M.A.; Aieta, F.; Tetienne, J.-P.; Capasso, F.; Gaburro, Z. Light Propagation with Phase Discontinuities: Generalized Laws of Reflection and Refraction. Science 2011, 334, 333–337. [Google Scholar] [CrossRef] [PubMed]
- Jiang, Q.; Laverdant, J.; Symonds, C.; Pham, A.; Leluyer, C.; Guy, S.; Drezet, A.; Bellessa, J. Metasurface for Reciprocal Spin-Orbit Coupling of Light on Waveguiding Structures. Phys. Rev. Appl. 2018, 10, 014014. [Google Scholar] [CrossRef]
- Li, H.; Wang, G.; Liang, J.; Gao, X.; Hou, H.; Jia, X. Single-Layer Focusing Gradient Metasurface for Ultrathin Planar Lens Antenna Application. IEEE Trans. Antennas Propag. 2017, 65, 1452–1457. [Google Scholar] [CrossRef]
- Xu, H.-X.; Liu, H.; Ling, X.; Sun, Y.; Yuan, F. Broadband Vortex Beam Generation Using Multimode Pancharatnam–Berry Metasurface. IEEE Trans. Antennas Propag. 2017, 65, 7378–7382. [Google Scholar] [CrossRef]
- Sanusi, O.M.; Wang, Y.; Roy, L. Reconfigurable Polarization Converter Using Liquid Metal Based Metasurface. IEEE Trans. Antennas Propag. 2022, 70, 2801–2810. [Google Scholar] [CrossRef]
- Zaker, R.; Sadeghzadeh, A. A Low-Profile Design of Polarization Rotation Reflective Surface for Wideband RCS Reduction. Antennas Wirel. Propag. Lett. 2019, 18, 1794–1798. [Google Scholar] [CrossRef]
- Hakimi, A.M.; Keivaan, A.; Oraizi, H.; Amini, A. Wide-Scanning Circularly Polarized Reflector-Based Modulated Metasurface Antenna Enabled by a Broadband Polarizer. IEEE Trans. Antennas Propag. 2022, 70, 84–96. [Google Scholar] [CrossRef]
- Lin, B.; Huang, W.; Yang, Y.; Lv, L.; Guo, J.; Wang, Y. A 2-Bit Pancharatnam-Berry Coding Metasurface for Ultra-Wideband and Polarization Insensitive RCS Reduction. Plasmonics 2022, 17, 893–900. [Google Scholar] [CrossRef]
- Al-Nuaimi, M.K.T.; Hong, W.; Whittow, W.G. Aperiodic Sunflower-Like Metasurface for Diffusive Scattering and RCS Reduction. Antennas Wirel. Propag. Lett. 2020, 19, 1048–1052. [Google Scholar] [CrossRef]
- Kazemi, H.; Albooyeh, M.; Capolino, F. Simultaneous Perfect Bending and Polarization Rotation of Electromagnetic Wavefront Using Chiral Gradient Metasurfaces. Phys. Rev. Appl. 2020, 13, 024078. [Google Scholar] [CrossRef]
- Sofi, M.A.; Saurav, K.; Koul, S.K. A Linear to Circular Polarization Reconfigurable Converter Based on Frequency Selective Surface. Microw. Opt. Technol. Lett. 2021, 63, 1425–1433. [Google Scholar] [CrossRef]
- Nguyen, T.K.T.; Nguyen, T.M.; Nguyen, H.Q.; Cao, T.N.; Le, D.T.; Bui, X.K.; Bui, S.T.; Truong, C.L.; Vu, D.L.; Nguyen, T.Q.H. Simple Design of Efficient Broadband Multifunctional Polarization Converter for X-Band Applications. Sci. Rep. 2021, 11, 2032. [Google Scholar] [CrossRef]
- Baghel, A.K.; Kulkarni, S.S.; Nayak, S.K. Linear-to-Cross-Polarization Transmission Converter Using Ultrathin and Smaller Periodicity Metasurface. Antennas Wirel. Propag. Lett. 2019, 18, 1433–1437. [Google Scholar] [CrossRef]
- Öztürk, M.; Sevim, U.K.; Altıntaş, O.; Ünal, E.; Akgöl, O.; Karaaslan, M.; Sabah, C. Design of a Linear to Circular Polarization Converter Integrated into a Concrete Construction for Radome Applications. Int. J. Microw. Wirel. Technol. 2022, 14, 824–831. [Google Scholar] [CrossRef]
- Tyo, J.S.; Goldstein, D.H.; Chenault, D.B.; Shaw, J.A. Polarization in Remote Sensing—Introduction. Appl. Opt. 2006, 45, 5451. [Google Scholar] [CrossRef]
- Das, P.; Mandal, K.M. Polarization Converter Surface Integrated MIMO Antenna for Simultaneous Reduction of RCS and Mutual Coupling. Antennas Wirel. Propag. Lett. 2022, 21, 1782–1786. [Google Scholar] [CrossRef]
- Pouyanfar, N.; Nourinia, J.; Ghobadi, C. Multiband and Multifunctional Polarization Converter Using an Asymmetric Metasurface. Sci. Rep. 2021, 11, 9306. [Google Scholar] [CrossRef]
- Zhang, B.; Zhu, C.; Zhang, R.; Yang, X.; Wang, Y.; Liu, X. Ultra-Broadband Angular-Stable Reflective Linear to Cross Polarization Converter. Electronics 2022, 11, 3487. [Google Scholar] [CrossRef]
- Arnieri, E.; Greco, F.; Amendola, G. A Broadband, Wide-Angle Scanning, Linear-to-Circular Polarization Converter Based on Standard Jerusalem Cross Frequency Selective Surfaces. IEEE Trans. Antennas Propag. 2021, 69, 578–583. [Google Scholar] [CrossRef]
- Salman, M.S.; Khan, M.I.; Tahir, F.A.; Rmili, H. Multifunctional Single Layer Metasurface Based on Hexagonal Split Ring Resonator. IEEE Access 2020, 8, 28054–28063. [Google Scholar] [CrossRef]
- Mao, C.; Yang, Y.; He, X.; Zheng, J.; Zhou, C. Broadband Reflective Multi-Polarization Converter Based on Single-Layer Double-L-Shaped Metasurface. Appl. Phys. A 2017, 123, 767. [Google Scholar] [CrossRef]
- Greco, F.; Arnieri, E. Dual-Frequency Linear-to-Circular Polarization Converter for Ka-Band Applications. Sensors 2022, 22, 2187. [Google Scholar] [CrossRef] [PubMed]
- Martinez-de-Rioja, E.; Encinar, J.A.; Pino, A.; Rodriguez-Vaqueiro, Y. Broadband Linear-to-Circular Polarizing Reflector for Space Applications in Ka-Band. IEEE Trans. Antennas Propag. 2020, 68, 6826–6831. [Google Scholar] [CrossRef]
- Momeni Hasan Abadi, S.M.A.; Behdad, N. Wideband Linear-to-Circular Polarization Converters Based on Miniaturized-Element Frequency Selective Surfaces. IEEE Trans. Antennas Propag. 2016, 64, 525–534. [Google Scholar] [CrossRef]
- Zhang, W.; Li, J.-Y.; Xie, J. A Broadband Circular Polarizer Based on Cross-Shaped Composite Frequency Selective Surfaces. IEEE Trans. Antennas Propag. 2017, 65, 5623–5627. [Google Scholar] [CrossRef]
- Liu, K.; Wang, G.; Cai, T.; Li, T. Dual-Band Transmissive Circular Polarization Generator with High Angular Stability. Opt. Express 2020, 28, 14995–15005. [Google Scholar] [CrossRef]
- Naseri, P.; Matos, S.A.; Costa, J.R.; Fernandes, C.A.; Fonseca, N.J.G. Dual-Band Dual-Linear-to-Circular Polarization Converter in Transmission Mode−Application to K/Ka-Band Satellite Communications. IEEE Trans. Antennas Propag. 2018, 66, 7128–7137. [Google Scholar] [CrossRef]
- Wang, H.B.; Cheng, Y.J. Single-Layer Dual-Band Linear-to-Circular Polarization Converter with Wide Axial Ratio Bandwidth and Different Polarization Modes. IEEE Trans. Antennas Propag. 2019, 67, 4296–4301. [Google Scholar] [CrossRef]
- Zheng, Q.; Guo, C.; Ding, J. Wideband Metasurface-Based Reflective Polarization Converter for Linear-to-Linear and Linear-to-Circular Polarization Conversion. Antennas Wirel. Propag. Lett. 2018, 17, 1459–1463. [Google Scholar] [CrossRef]
- Zheng, Q.; Guo, C.; Vandenbosch, G.A.E.; Yuan, P.; Ding, J. Dual-broadband Highly Efficient Reflective Multi-polarisation Converter Based on Multi-order Plasmon Resonant Metasurface. IET Microw. Antennas Propag. 2020, 14, 967–972. [Google Scholar] [CrossRef]
- Jia, Y.; Liu, Y.; Zhang, W.; Wang, J.; Wang, Y.; Gong, S.; Liao, G. Ultra-Wideband Metasurface with Linear-to-Circular Polarization Conversion of an Electromagnetic Wave. Opt. Mater. Express 2018, 8, 597–604. [Google Scholar] [CrossRef]
- Kundu, D.; Singh, J.; Singh, D.; Chakrabarty, A. Design and Analysis of Broadband Ultrathin Reflective Linear-to-Circular Polarization Converter Using Polygon-Based Anisotropic-Impedance Surface. IEEE Trans. Antennas Propag. 2021, 69, 5154–5159. [Google Scholar] [CrossRef]
- Fartookzadeh, M.; Mohseni Armaki, S.H. Dual-Band Reflection-Type Circular Polarizers Based on Anisotropic Impedance Surfaces. IEEE Trans. Antennas Propag. 2016, 64, 826–830. [Google Scholar] [CrossRef]
- Arnieri, E.; Salucci, M.; Greco, F.; Boccia, L.; Massa, A.; Amendola, G. An Equivalent Circuit/System by Design Approach to the Design of Reflection-Type Dual-Band Circular Polarizers. IEEE Trans. Antennas Propag. 2022, 70, 2364–2369. [Google Scholar] [CrossRef]
- Fonseca, N.J.G.; Mangenot, C. High-Performance Electrically Thin Dual-Band Polarizing Reflective Surface for Broadband Satellite Applications. IEEE Trans. Antennas Propag. 2016, 64, 640–649. [Google Scholar] [CrossRef]
- Tang, W.; Mercader-Pellicer, S.; Goussetis, G.; Legay, H.; Fonseca, N.J.G. Low-Profile Compact Dual-Band Unit Cell for Polarizing Surfaces Operating in Orthogonal Polarizations. IEEE Trans. Antennas Propag. 2017, 65, 1472–1477. [Google Scholar] [CrossRef]
- Liu, Z.; Liu, Y.; Zhang, W.; Jia, Y. Low-Profile Reflective Polarization Conversion Metasurface with Frequency Selective Characteristics. Mater. Res. Express 2019, 6, 085807. [Google Scholar] [CrossRef]
- Liu, X.; Zhou, Y.; Wang, C.; Gan, L.; Yang, X.; Sun, L. Dual-Band Dual-Rotational-Direction Angular Stable Linear-to-Circular Polarization Converter. IEEE Trans. Antennas Propag. 2022, 70, 6054–6059. [Google Scholar] [CrossRef]
- Lin, B.; Guo, J.; Lv, L.; Wu, J.; Ma, Y.; Liu, B.; Wang, Z. Ultra-Wideband and High-Efficiency Reflective Polarization Converter for Both Linear and Circular Polarized Waves. Appl. Phys. A 2019, 125, 76. [Google Scholar] [CrossRef]












| Ref. | Type | Frequency (GHz) | Metallic Layers | Structure Thickness | Unit Cell Size | 3 dB AR Bandwidth | Angular Stability |
|---|---|---|---|---|---|---|---|
| [24] | transmission | 8–12 | ≥3 | 0.144 λL | 0.12 λL × 0.12 λL | 40% | 45° |
| [25] | transmission | 5.15–11.2 | ≥3 | 0.103 λL | 0.258 λL × 0.258 λL | 74% | 20° |
| [26] | transmission | 9.05–9.65, 12.55–13.1 | ≥3 | 0.06 λL | 0.272 λL × 0.272 λL | 6.42%, 4.29% | 55° |
| [27] | transmission | 19.7–20.2, 29.5–30 | ≥3 | 0.069 λL | 0.348 λL × 0.348 λL | 2.51%, 1.68% | 45° |
| [28] | transmission | 16.28–20.82, 26.94–30.13 | 2 | 0.085 λL | 0.217 λL × 0.217 λL | 24.47%, 11.18% | 20° |
| [29] | reflection | 13.7–15.6 | 2 | 0.142 λL | 0.37 λL × 0.37 λL | 12.97% | 0° |
| [30] | reflection | 14.95–17.35 | 2 | 0.15 λL | 0.449 λL × 449 λL | 14.86% | 0° |
| [31] | reflection | 6.8–9.2 | 2 | 0.157 λL | 0.204 λL × 0.204 λL | 30% | 20° |
| [32] | reflection | 7.62–12.16 | 2 | 0.041 λL | 0.191 λL × 0.191 λL | 45.9% | 30° |
| [33] | reflection | 1.9–2.3, 7.9–8.3 | 2 | - | - | 19.04%, 4.94% | 39° |
| [34] | reflection | 20.2–21.2, 29.5–30.8 | ≥3 | 0.068 λL | 0.303 λL × 0.303 λL | 4.83%, 4.31% | 60° |
| [35] | reflection | 15–20, 27–30 | 2 | 0.076 λL | 0.489 λL × 0.489 λL | 28.57%, 10.53% | 15° |
| [36] | reflection | 11.7–12.5, 17.3–18.1 | 2 | 0.059 λL | 0.156 λL × 0.312 λL | 6.61%, 4.52% | 30° |
| [37] | reflection | 6.87–16.83, 19.72–23.64 | 2 | 0.057 λL | 0.192 λL × 0.192 λL | 84.05%, 18.08% | 15° |
| [38] | reflection | 29–41.5, 52.5–61.5 | 2 | 0.077 λL | 0.193 λL × 0.193 λL | 35.46%, 15.79% | 45° |
| This work | reflection | 8.42–12.32, 18.74 –29.73 | 2 | 0.059 λL | 0.163 λL × 0.163 λL | 37.61%, 45.35% | 50° |
Publisher’s Note: MDPI stays neutral with regard to jurisdictional claims in published maps and institutional affiliations. |
© 2022 by the authors. Licensee MDPI, Basel, Switzerland. This article is an open access article distributed under the terms and conditions of the Creative Commons Attribution (CC BY) license (https://creativecommons.org/licenses/by/4.0/).
Share and Cite
Zhang, B.; Zhu, C.; Zhang, R.; Yang, X.; Wang, Y.; Liu, X. Dual-Band Wide-Angle Reflective Circular Polarization Converter with Orthogonal Polarization Modes. Sensors 2022, 22, 9728. https://doi.org/10.3390/s22249728
Zhang B, Zhu C, Zhang R, Yang X, Wang Y, Liu X. Dual-Band Wide-Angle Reflective Circular Polarization Converter with Orthogonal Polarization Modes. Sensors. 2022; 22(24):9728. https://doi.org/10.3390/s22249728
Chicago/Turabian StyleZhang, Bianmei, Chenghui Zhu, Ran Zhang, Xiaofan Yang, Ye Wang, and Xiaoming Liu. 2022. "Dual-Band Wide-Angle Reflective Circular Polarization Converter with Orthogonal Polarization Modes" Sensors 22, no. 24: 9728. https://doi.org/10.3390/s22249728
APA StyleZhang, B., Zhu, C., Zhang, R., Yang, X., Wang, Y., & Liu, X. (2022). Dual-Band Wide-Angle Reflective Circular Polarization Converter with Orthogonal Polarization Modes. Sensors, 22(24), 9728. https://doi.org/10.3390/s22249728

