Single-Element and MIMO Circularly Polarized Microstrip Antennas with Negligible Back Radiation for 5G Mid-Band Handsets
Abstract
:1. Introduction
2. Antenna Structure
3. Broadside CP Generation Mechanism
4. Results
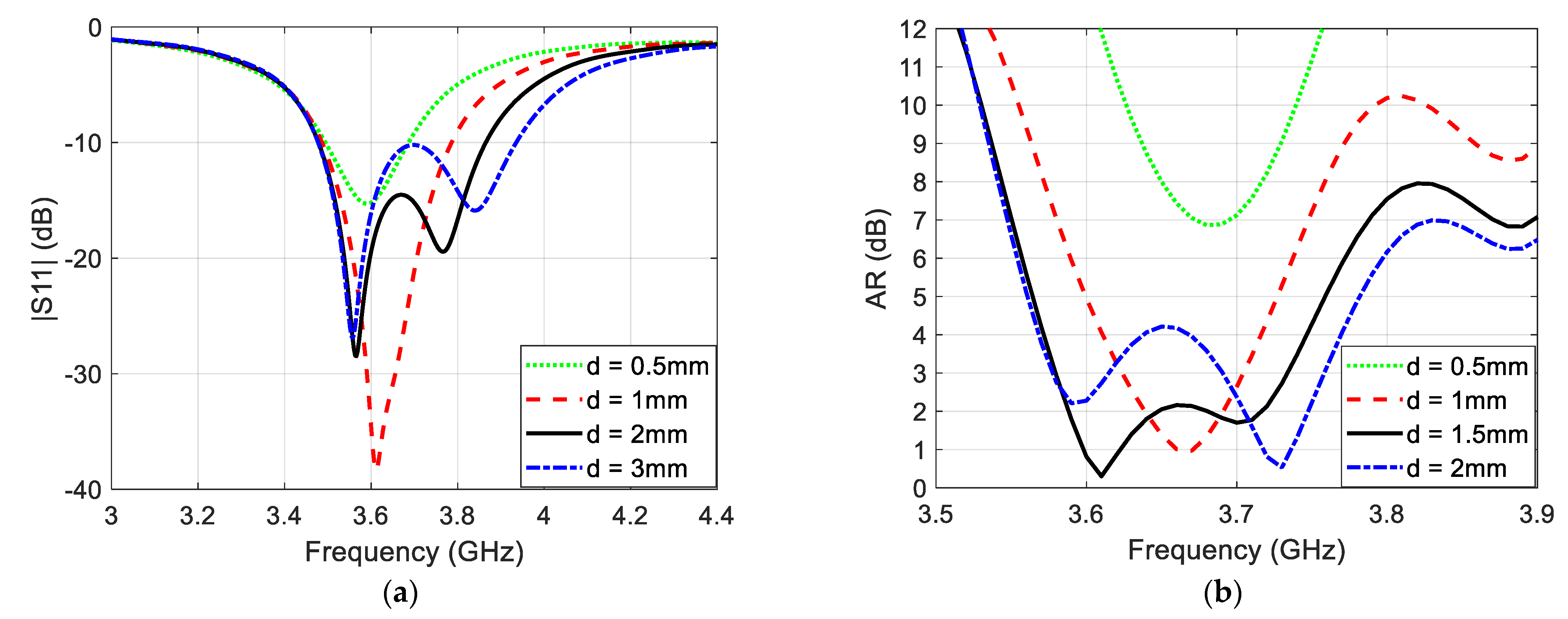
4.1. Single-Element Structure
4.2. MIMO Structure
5. Conclusions
Author Contributions
Funding
Institutional Review Board Statement
Informed Consent Statement
Data Availability Statement
Conflicts of Interest
References
- Wong, K. Compact and Broadband Microstrip Antennas; Wiley: New York, NY, USA, 2002. [Google Scholar]
- Balanis, C. Antenna Theory Analysis and Design, 4th ed.; Wiley: Hoboken, NJ, USA, 2016. [Google Scholar]
- Evans, N.; Liu, Y.; Shafai, L.; Isleifson, D. Capacitively Coupled Single-Layer Dual-Band Circularly Polarized GPS Ring Antennas. In Proceedings of the IEEE 19th International Symposium on Antenna Technology and Applied Electromagnetics (ANTEM), Winnipeg, MB, Canada, 8–11 August 2021. [Google Scholar] [CrossRef]
- Zhang, E.; Michel, A.; Nepa, P.; Qiu, J. Multifeed Tri-Band Circularly Polarized Antenna for UHF/MW-RFID Application. Int. J. RF Microw. Comput. Aided Eng. 2022, 32, e22939. [Google Scholar] [CrossRef]
- Fatima, I.; Ahmad, A.; Ali, S.; Ali, M.; Baig, M. Triple-Band Circular Polarized Antenna for WLAN/Wi-Fi/Bluetooth/WiMAX Applications. Prog. Electromagn. Res. C 2021, 109, 65–75. [Google Scholar] [CrossRef]
- Farooqui, M.; Kishk, A. 3-D-Printed Tunable Circularly Polarized Microstrip Patch Antenna. IEEE Antennas Wirel. Propag. Lett. 2019, 18, 1429–1432. [Google Scholar] [CrossRef]
- Liu, Y.; Cai, S.; Xiong, X.; Li, W.; Yang, J. A Novel Wideband Circularly Polarized Modified Square-Slot Antenna with Loaded Strips. Int. J. RF Microw. Comput. Aided Eng. 2019, 29, e21873. [Google Scholar] [CrossRef]
- Hao, L.; Fan, C.; Wang, H.; Li, B.; Yin, W. Novel Square Slot Circularly Polarized Antenna with Broadband Characteristics. Int. J. RF Microw. Comput. Aided Eng. 2022, 32, e22921. [Google Scholar] [CrossRef]
- Malik, J.; Patnaik, A.; Kartikeyan, M. Novel Printed MIMO Antenna with Pattern and Polarization Diversity. IEEE Antennas Wirel. Propag. Lett. 2015, 14, 739–742. [Google Scholar] [CrossRef]
- Malviya, L.; Panigrahi, R.; Kartikeyan, V. Circularly Polarized 2 × 2 MIMO Antenna for WLAN Applications. Prog. Electromagn. Res. C 2016, 66, 97–107. [Google Scholar] [CrossRef] [Green Version]
- Sharma, Y.; Sarkar, D.; Saurav, K.; Srivastava, K. Three-Element MIMO Antenna System with Pattern and Polarization Diversity for WLAN Applications. IEEE Antennas Wirel. Propag. Lett. 2017, 17, 1163–1166. [Google Scholar] [CrossRef]
- Sahu, N.; Das, G.; Gangwar, R. L-shaped dielectric resonator based circularly polarized multi-input-multi-output (MIMO) antenna for wireless local area network (WLAN) applications. Int. J. RF Microw. Comput. Aided Eng. 2018, 28, e21426. [Google Scholar] [CrossRef]
- Varshney, G.; Singh, R.; Pandey, V.; Yaduvanshi, R. Circularly Polarized Two-Port MIMO Dielectric Resonator Antenna. Prog. Electromagn. Res. M 2020, 91, 19–28. [Google Scholar] [CrossRef]
- Xu, S.; Guan, D.; Liu, L.; Zhang, Q.; Xu, H.; Yong, S. A narrow-band circularly polarized leaky-wave antenna with open stopband suppressed. Int. J. RF Microw. Comput. Aided Eng. 2021, 31, e22647. [Google Scholar] [CrossRef]
- Khan, I.; Wu, Q.; Ullah, I.; Rahman, S.; Ullah, H.; Zhang, K. Designed Circularly Polarized Two-Port Microstrip MIMO Antenna for WLAN Applications. Appl. Sci. 2022, 12, 1068. [Google Scholar] [CrossRef]
- Al-Muttairi, A.; Farhan, M. Circular polarization reconfigurable antenna for mid-band 5G applications with a new reconfigurable technique. Indones. J. Electr. Eng. Comput. Sci. 2020, 19, 802–810. [Google Scholar] [CrossRef]
- Sabban, A. Wearable Circular Polarized Antennas for Health Care, 5G, Energy Harvesting, and IoT Systems. Electronics 2022, 11, 427. [Google Scholar] [CrossRef]
- Park, Y.; Bang, J.; Choi, J. Dual-Circularly Polarized 60 GHz Beam-Steerable Antenna Array with 8 × 8 Butler Matrix. Appl. Sci. 2020, 10, 2413. [Google Scholar] [CrossRef] [Green Version]
- Gunjal, A.; Kshirsagar, U. Broadband Asymmetrically Fed Circularly Polarized Slot Antenna for Mid-Band 5G Smartphone Applications. Prog. Electromagn. Res. C 2021, 115, 233–244. [Google Scholar] [CrossRef]
- Pathak, R.; Mangaraj, B.; Kumar, A.; Kumar, S. Dual Feed Multiband Microstrip Patch Antenna Design with Circular Polarized Wave for 5G Cellular Communication. Prog. Electromagn. Res. B 2021, 93, 87–109. [Google Scholar] [CrossRef]
- Abdulhameed, A.; Alnahwi, F.; Swadi, H.; Abdullah, A. A compact cognitive radio UWB/reconfigurable antenna system with controllable communicating antenna bandwidth. Aust. J. Electr. Electron. Eng. 2019, 16, 1–11. [Google Scholar] [CrossRef]
- Alnahwi, F.; Abdulhameed, A.; Swadi, H.; Abdullah, A. A Planar Integrated UWB/Reconfigurable Antenna with Continuous and Wide Frequency Tuning Range for Interweave Cognitive Radio Applications. Iran. J. Sci. Technol. Trans. Electr. Eng. 2020, 44, 729–739. [Google Scholar] [CrossRef]
- Alnahwi, F.; Abdulhameed, A.; Abdullah, A.; Ulla, A.; Abd-Alhameed, R. Mutual Coupling Reduction of a Dual-Band (2×1) MIMO Antenna Using Two Pairs of λ/4 Slots for(WLAN/WiMAX) Applications. In Proceedings of the IET Loughborough Antennas & Propagation Conference (LAPC), Loughborough, UK, 12–13 November 2018. [Google Scholar] [CrossRef]
- Tsoulos, G. MIMO System Technology for Wireless Communications; CRC Press, Taylor & Francis Group: Boca Raton, FL, USA, 2002. [Google Scholar]
- Alnahwi, F.; Abdulhameed, A.; Abdullah, A. A Compact Integrated UWB/Reconfigurable Microstrip Antenna for Interweave Cognitive Radio Applications. Int. J. Commun. Antenna Propag. 2018, 8, 81–86. [Google Scholar] [CrossRef]













Publisher’s Note: MDPI stays neutral with regard to jurisdictional claims in published maps and institutional affiliations. |
© 2022 by the authors. Licensee MDPI, Basel, Switzerland. This article is an open access article distributed under the terms and conditions of the Creative Commons Attribution (CC BY) license (https://creativecommons.org/licenses/by/4.0/).
Share and Cite
Alnahwi, F.M.; Al-Yasir, Y.I.A.; See, C.H.; Abd-Alhameed, R.A. Single-Element and MIMO Circularly Polarized Microstrip Antennas with Negligible Back Radiation for 5G Mid-Band Handsets. Sensors 2022, 22, 3067. https://doi.org/10.3390/s22083067
Alnahwi FM, Al-Yasir YIA, See CH, Abd-Alhameed RA. Single-Element and MIMO Circularly Polarized Microstrip Antennas with Negligible Back Radiation for 5G Mid-Band Handsets. Sensors. 2022; 22(8):3067. https://doi.org/10.3390/s22083067
Chicago/Turabian StyleAlnahwi, Falih M., Yasir I. A. Al-Yasir, Chan Hwang See, and Raed A. Abd-Alhameed. 2022. "Single-Element and MIMO Circularly Polarized Microstrip Antennas with Negligible Back Radiation for 5G Mid-Band Handsets" Sensors 22, no. 8: 3067. https://doi.org/10.3390/s22083067
APA StyleAlnahwi, F. M., Al-Yasir, Y. I. A., See, C. H., & Abd-Alhameed, R. A. (2022). Single-Element and MIMO Circularly Polarized Microstrip Antennas with Negligible Back Radiation for 5G Mid-Band Handsets. Sensors, 22(8), 3067. https://doi.org/10.3390/s22083067
