Energy-Efficient Configuration and Control Allocation for a Dynamically Reconfigurable Underwater Robot
Abstract
1. Introduction
1.1. A Dynamically Reconfigurable Underwater Robot and Perspectives
1.2. Control Allocation
1.3. The Singularity of Control Allocation
1.4. Control Allocation with Varying Configuration Matrix
- Propose an energy-efficient configuration problem for a dynamically reconfigurable robot with respect to its constraints.
- Propose an integration of a one-iteration optimization technique and a control allocation method to solve the energy-efficient configuration problem.
2. Energy-Efficient Configuration and Control Allocation Problem
3. Solution
3.1. Sequential Quadratic Programming (SQP)
3.2. Parametric Nonlinear Optimization
3.3. Online Optimization Observation in SQP
3.4. Algorithm
3.4.1. Predictor Step
3.4.2. Corrector Step
| Algorithm 1 Energy-efficient and control allocation algorithm. |
| Input: Parametric variable (output from the controller) Output: Local optimal angles , and applied force vector Predictor step:
|
4. Simulation Results
4.1. Simulated Robot
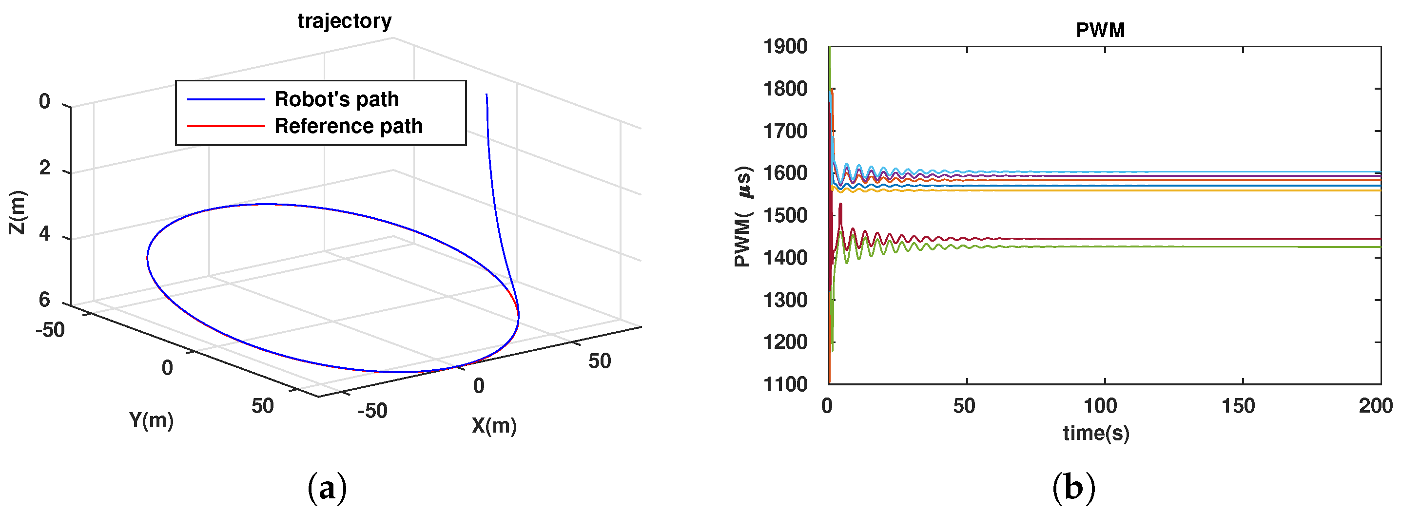
4.2. Path-Following Problem
| No. Case | Two Angles | Notes |
|---|---|---|
| 1 | Simulation results in Figure 6 | |
| 2 | Simulation results in Figure 7 | |
| 3 | dynamic | Simulation results in Figure 8 |
4.3. Station-Keeping (Observation) Problem
5. Experiment Results
6. Conclusions and Future Studies
Author Contributions
Funding
Acknowledgments
Conflicts of Interest
Abbreviations
| AUV | Autonomous Underwater Robot |
| SQP | Sequential Quadratic Programming |
| PWM | Pulse Width Modulation |
| DOF | Degree of Freedom |
| MPC | Model Predictive Control |
| CA | Control Allocation |
| PID | Proportional–Integral–Derivative controller |
Appendix A. Configuration Matrix
Appendix B. Notations
| Configuration matrix | |
| () unit vector of direction of the thruster with respect to body frame | |
| () unit vector of position of the thruster with respect to body frame | |
| () applied force vector of m thrusters | |
| Applied force magnitude of the thruster | |
| () desired control vector (including force and torque) with respect to | |
| body frame | |
| () resulting control vector (including force and torque) with respect to | |
| body frame | |
| ⊗ | Cross product |
| Euclidean norm | |
| m | Number of thrusters |
| n | Number of degrees of freedom (DOFs) |
References
- Yim, M.; Shen, W.M.; Salemi, B.; Rus, D.; Moll, M.; Lipson, H.; Klavins, E.; Chirikjian, G.S. Modular self-reconfigurable robot systems [grand challenges of robotics]. IEEE Robot. Autom. Mag. 2007, 14, 43–52. [Google Scholar] [CrossRef]
- Liu, J.; Zhang, X.; Hao, G. Survey on research and development of reconfigurable modular robots. Adv. Mech. Eng. 2016, 8, 1687814016659597. [Google Scholar] [CrossRef]
- Dang, T.; Lapierre, L.; Zapata, R.; Ropars, B.; Gourmelen, G. A Dynamically Reconfigurable Autonomous Underwater Robot for Karst Exploration: Design and Experiment. Sensors 2022, 22, 3379. [Google Scholar] [CrossRef] [PubMed]
- Page, A.B.; Steinberg, M.L. A closed-loop comparison of control allocation methods. In Proceedings of the AIAA Guidance, Navigation, and Control Conference, Dever, CO, USA, 14–17 August 2000; pp. 1760–1770. [Google Scholar]
- Bodson, M. Evaluation of optimization methods for control allocation. J. Guid. Control Dyn. 2002, 25, 703–711. [Google Scholar] [CrossRef]
- Fossen, T.I.; Johansen, T.A. A Survey of Control Allocation Methods for Ships and Underwater Vehicles. In Proceedings of the 2006 14th Mediterranean Conference on Control and Automation, Ancona, Italy, 28–30 June 2006; pp. 1–6. [Google Scholar]
- Fossen, T.I.; Johansen, T.A.; Perez, T. A Survey of Control Allocation Methods for Underwater Vehicles; INTECH Open Access Publisher: London, UK, 2009. [Google Scholar]
- Johansen, T.A.; Fossen, T.I. Control allocation—A survey. Automatica 2013, 49, 1087–1103. [Google Scholar] [CrossRef]
- Skulstad, R.; Li, G.; Zhang, H.; Fossen, T.I. A Neural Network Approach to Control Allocation of Ships for Dynamic Positioning. IFAC 2018, 51, 128–133. [Google Scholar] [CrossRef]
- Kang, J.; Choi, K. Development of an Artificial Neural Network Control Allocation Algorithm for Small Tailless Aircraft Based on Dynamic Allocation Method. Int. J. Aeronaut. Space Sci. 2022, 23, 363–378. [Google Scholar] [CrossRef]
- Johansen, T.A.; Fossen, T.I.; Berge, S.P. Constrained nonlinear control allocation with singularity avoidance using sequential quadratic programming. IEEE Trans. Control Syst. Technol. 2004, 12, 211–216. [Google Scholar] [CrossRef]
- Härkegård, O. Backstepping and Control Allocation with Applications to Flight Control. Ph.D. Thesis, Linköpings Universitet, Linköping, Sweden, 2003. [Google Scholar]
- Casavola, A.; Garone, E. Fault-tolerant adaptive control allocation schemes for overactuated systems. Int. J. Robust Nonlinear Control 2010, 20, 1958–1980. [Google Scholar] [CrossRef]
- Tohidi, S.S.; Yildiz, Y.; Kolmanovsky, I. Fault tolerant control for over-actuated systems: An adaptive correction approach. In Proceedings of the 2016 American Control Conference (ACC), Boston, MA, USA, 6–8 July 2016; pp. 2530–2535. [Google Scholar]
- Cristofaro, A.; Polycarpou, M.M.; Johansen, T.A. Fault-Tolerant Control Allocation for Overactuated Nonlinear Systems. Asian J. Control 2018, 20, 621–634. [Google Scholar] [CrossRef]
- Diehl, M.; Bock, H.G.; Schlöder, J.P. A real-time iteration scheme for nonlinear optimization in optimal feedback control. SIAM J. Control Optim. 2005, 43, 1714–1736. [Google Scholar] [CrossRef]
- Nocedal, J.; Wright, S. Numerical Optimization; Springer Science & Business Media: New York, NY, USA, 2006. [Google Scholar]
- Diehl, M. Real-Time Optimization for Large Scale Nonlinear Processes. Ph.D. Thesis, Heidelberg University, Heidelberg, Germany, 2001. [Google Scholar]
- Fletcher, R. Practical Methods of Optimization; John Wiley & Sons: Hoboken, NJ, USA, 2013. [Google Scholar]
- Ropars, B.; Lasbouygues, A.; Lapierre, L.; Andreu, D. Thruster’s dead-zones compensation for the actuation system of an underwater vehicle. In Proceedings of the Control Conference (ECC), 2015 European, Linz, Austria, 15–17 July 2015; pp. 741–746. [Google Scholar]
- BlueRobotics. Available online: https://bluerobotics.com/ (accessed on 4 March 2021).
- Breivik, M.; Fossen, T.I. A unified control concept for autonomous underwater vehicles. In Proceedings of the 2006 American Control Conference, Minneapolis, MN, USA, 14–16 June 2006; p. 7. [Google Scholar]
- Louis, S.; Lapierre, L.; Godary-Dejean, K.; Onmek, Y.; Claverie, T.; Villéger, S. Quaternion Based Control for Robotic Observation of Marine Diversity; OCEANS: Aberdeen, UK, 2017. [Google Scholar]















Disclaimer/Publisher’s Note: The statements, opinions and data contained in all publications are solely those of the individual author(s) and contributor(s) and not of MDPI and/or the editor(s). MDPI and/or the editor(s) disclaim responsibility for any injury to people or property resulting from any ideas, methods, instructions or products referred to in the content. |
© 2023 by the authors. Licensee MDPI, Basel, Switzerland. This article is an open access article distributed under the terms and conditions of the Creative Commons Attribution (CC BY) license (https://creativecommons.org/licenses/by/4.0/).
Share and Cite
Dang, T.; Lapierre, L.; Zapata, R.; Ropars, B. Energy-Efficient Configuration and Control Allocation for a Dynamically Reconfigurable Underwater Robot. Sensors 2023, 23, 5439. https://doi.org/10.3390/s23125439
Dang T, Lapierre L, Zapata R, Ropars B. Energy-Efficient Configuration and Control Allocation for a Dynamically Reconfigurable Underwater Robot. Sensors. 2023; 23(12):5439. https://doi.org/10.3390/s23125439
Chicago/Turabian StyleDang, Tho, Lionel Lapierre, Rene Zapata, and Benoit Ropars. 2023. "Energy-Efficient Configuration and Control Allocation for a Dynamically Reconfigurable Underwater Robot" Sensors 23, no. 12: 5439. https://doi.org/10.3390/s23125439
APA StyleDang, T., Lapierre, L., Zapata, R., & Ropars, B. (2023). Energy-Efficient Configuration and Control Allocation for a Dynamically Reconfigurable Underwater Robot. Sensors, 23(12), 5439. https://doi.org/10.3390/s23125439

