Validity and Reliability of Inertial Measurement Units in Active Range of Motion Assessment in the Hip Joint
Abstract
:1. Introduction
2. Materials and Methods
2.1. Participants
2.2. Instrumentation
- Universal plastic goniometer with a length of 20.32 cm, obtaining a measurement every 1° on a 360° scale.
- Baseline digital inclinometer (Fabrication Enterprises, White Plains, NY, USA). The manufacturer ensured a measurement accuracy of 0.5°.
- IMU by “RSQ Motion” (RSQ Technologies, Poznan, Poland). The RSQ Motion system is a class I medical device with a measuring function, manufactured under the RSQ Technologies brand, intended for the analysis of body movement. “RSQ Motion Sensor” performs measurements using MEMS sensors: accelerometer, gyroscope, and magnetometer. These data are sent as a digital electrical signal to a microcontroller, which processes it, filters it and calculates the orientation of the Motion Sensor and presents it in the form of quaternions. A quaternion is a mathematical construct with four dimensions resembling a complex number. “RSQ Motion” system incorporates a Madgwick algorithm for performing quaternion calculations. Details regarding the construction of the sensor and the mathematical procedures used for the measurement of orientation can be found in a previously published work [24]. The module with the microcontroller has a built-in Bluetooth low-energy antenna and communicates with the RSQ Motion Hub or an application using this protocol. The accuracy of the sensors was tested in laboratory conditions by comparing it to the Kuka robot (0.15°). The results showed excellent accuracy and repeatability, which allows us to believe that the device used will not affect the final results [25].
2.3. Study Protocol
2.3.1. Active Hip Flexion in Standing Position
- IMU: The device is calibrated according to the protocol and zeroed at fixed vertical reference. The sensor is attached with a sticker 5 cm above the patella of the examined limb. When the maximum range of motion is reached, the recording is made by clicking the button on the so-called “clicker” and saved in a connected application.
- Inclinometer: The device is zeroed at a fixed vertical surface. The measurement is made by placing the inclinometer on the distal part of the thigh. The recording is made at the same time as IMU.
- Goniometer: The axis is placed at the height of the greater trochanter; one arm is directed along the femur, and the other vertically, parallel to the wall. The measurement is made right after the inclinometer and IMU.
2.3.2. Active External and Internal Rotation in the Prone Position
- IMU: The device is calibrated according to the protocol and zeroed at a fixed vertical surface. The sensor is attached with a sticker 5 cm proximal to the ankle joint of the examined limb. When the maximum range of motion is reached, the recording is made by clicking the button on the so-called “clicker” and saved in a connected application.
- Inclinometer: The device is zeroed at a fixed vertical surface. The measurement is made by placing the inclinometer along the tibia underneath the IMU sensor. The recording is made at the same time as IMU.
- Goniometer: Axis of rotation set at the tibial tuberosity. Movable arm along the edge of the tibia; stationary arm set perpendicular to the couch.
2.4. Statistical Analysis
3. Results
3.1. Hip Flexion in Standing Position
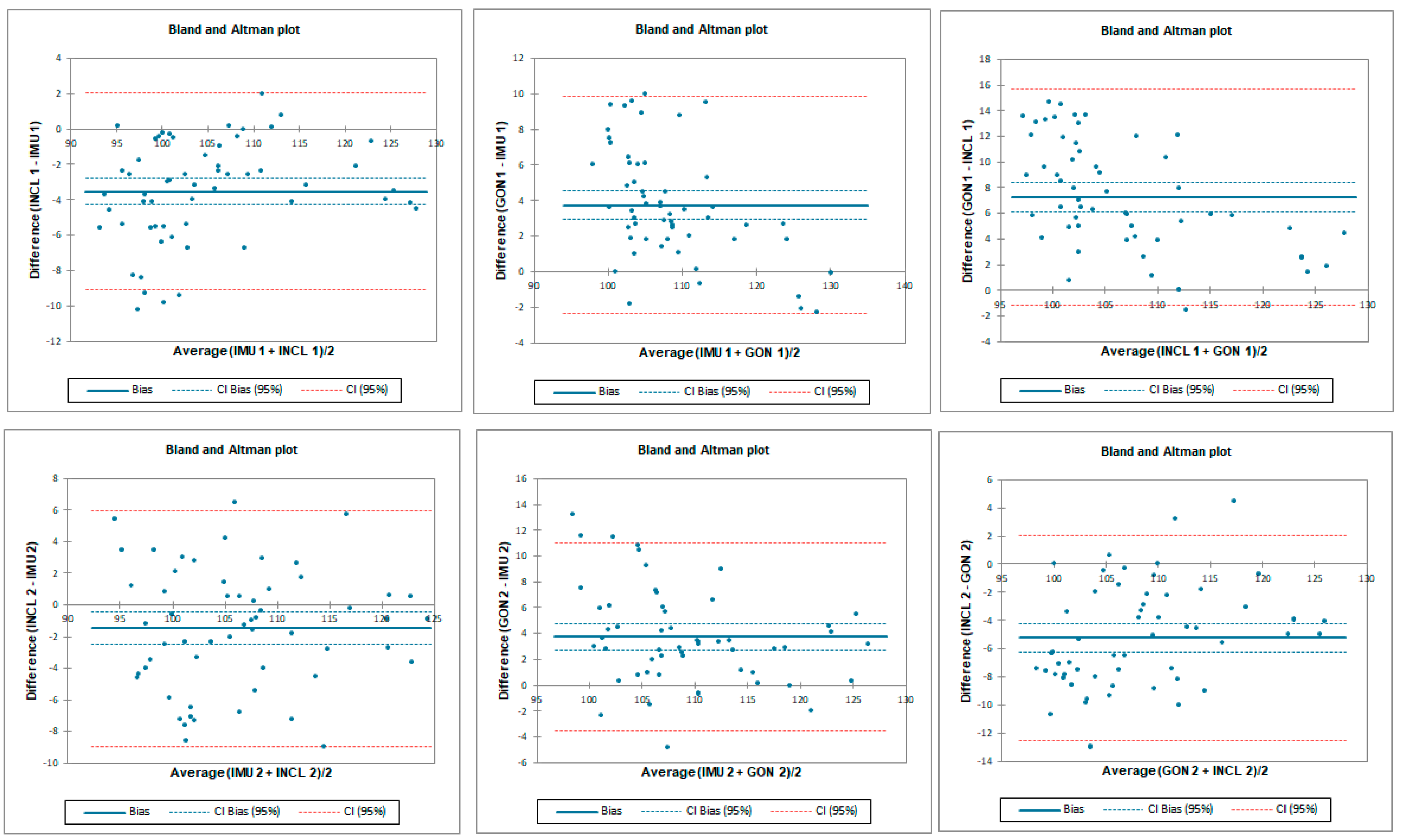
3.1.1. Concurrent Validity
3.1.2. Inter-Rater Reliability
3.1.3. Intra-Rater Reliability
3.2. Hip Prone Internal Rotation
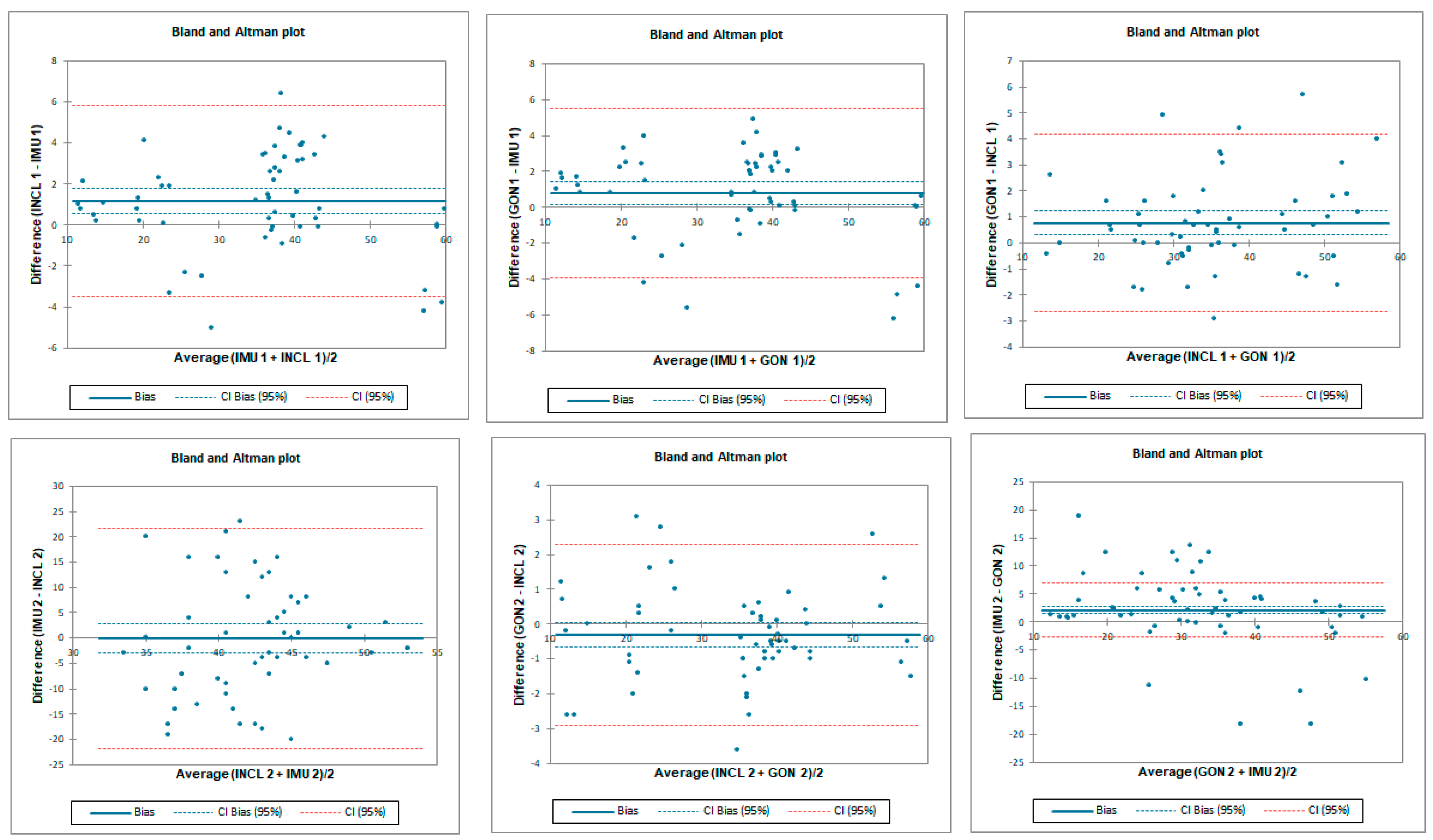
3.2.1. Concurrent Validity for Hip Prone Internal Rotation
3.2.2. Inter-Rater Reliability for Prone Internal Rotation
3.2.3. Intra-Rater Reliability for Prone Internal Rotation
3.3. Hip Prone External Rotation
3.3.1. Concurrent Validity for Prone External Rotation
3.3.2. Inter-Rater Reliability for Prone External Rotation
3.3.3. Intra-Rater Reliability for Prone External Rotation
4. Discussion
5. Conclusions
Author Contributions
Funding
Institutional Review Board Statement
Informed Consent Statement
Data Availability Statement
Acknowledgments
Conflicts of Interest
References
- Verrall, G.M.; Slavotinek, J.P.; Barnes, P.G.; Esterman, A.; Oakeshott, R.D.; Spriggins, A.J. Hip joint range of motion restriction precedes athletic chronic groin injury. J. Sci. Med. Sport 2007, 10, 463–466. [Google Scholar] [CrossRef] [PubMed]
- Ceballos-Laita, L.; Hernando-Garijo, I.; Medrano-de-la-Fuente, R.; Mingo-Gómez, M.T.; Carrasco-Uribarren, A.; Jiménez-Del-Barrio, S. Hip Range of Motion and Strength in Male Athletes with Stage 1 Osteitis Pubis: A Cross-Sectional and Correlational Study. Int. J. Environ. Res. Public Health 2022, 19, 12824. [Google Scholar] [CrossRef] [PubMed]
- Verrall, G.M.; Hamilton, I.A.; Slavotinek, J.P.; Oakeshott, R.D.; Spriggins, A.J.; Barnes, P.G.; Fon, G.T. Hip joint range of motion reduction in sports-related chronic groin injury diagnosed as pubic bone stress injury. J. Sci. Med. Sport 2005, 8, 77–84. [Google Scholar] [CrossRef] [PubMed]
- Arnason, A.; Sigurdsson, S.B.; Gudmundsson, A.; Holme, I.; Engebretsen, L.; Bahr, R. Risk factors for injuries in football. Am. J. Sports Med. 2004, 32 (Suppl. 1), 5S–16S. [Google Scholar] [CrossRef] [PubMed]
- Bohannon, R.W.; Bass, A. Research describing pelvifemoral rhythm: A systematic review. J. Phys. Ther. Sci. 2017, 29, 2039–2043. [Google Scholar] [CrossRef] [PubMed]
- Yuan, B.J.; Bartelt, R.B.; Levy, B.A.; Bond, J.R.; Trousdale, R.T.; Sierra, R.J. Decreased range of motion is associated with structural hip deformity in asymptomatic adolescent athletes. Am. J. Sports Med. 2013, 41, 1519–1525. [Google Scholar] [CrossRef] [PubMed]
- Kouyoumdjian, P.; Coulomb, R.; Sanchez, T.; Asencio, G. Clinical evaluation of hip joint rotation range of motion in adults. Orth. Traumatol. Surgery Res. 2012, 98, 17–23. [Google Scholar] [CrossRef] [PubMed]
- Roach, S.; San Juan, J.G.; Suprak, D.N.; Lyda, M. Concurrent validity of digital inclinometer and universal goniometer in assessing passive hip mobility in healthy subjects. Int. J. Sports Phys. Ther. 2013, 8, 680–688. [Google Scholar]
- Ganokroj, P.; Sompornpanich, N.; Kerdsomnuek, P.; Vanadurongwan, B.; Lertwanich, P. Validity and reliability of smartphone applications for measurement of hip rotation, compared with three-dimensional motion analysis. BMC Musculoskelet. Disord. 2021, 22, 166. [Google Scholar] [CrossRef]
- Woerner, M.; Weber, M.; Sendtner, E.; Springorum, R.; Worlicek, M.; Craiovan, B.; Grifka, J.; Renkawitz, T. Visual intraoperative estimation of range of motion is misleading in minimally invasive total hip arthroplasty. Arch. Orthop. Trauma Surg. 2016, 136, 1015–1020. [Google Scholar] [CrossRef]
- Vigotsky, A.D.; Lehman, G.J.; Contreras, B.; Beardsley, C.; Chung, B.; Feser, E.H. Acute effects of anterior thigh foam rolling on hip angle, knee angle, and rectus femoris length in the modified Thomas test. PeerJ 2015, 3, e1281. [Google Scholar] [CrossRef] [PubMed]
- Nussbaumer, S.; Leunig, M.; Glatthorn, J.F.; Stauffacher, S.; Gerber, H.; Maffiuletti, N.A. Validity and test-retest reliability of manual goniometers for measuring passive hip range of motion in femoroacetabular impingement patients. BMC Musculoskelet. Disord. 2010, 11, 194. [Google Scholar] [CrossRef] [PubMed]
- Luinge, H.J.; Veltink, P.H. Measuring orientation of human body segments using miniature gyroscopes and accelerometers. Med. Biol. Eng. Comput. 2005, 43, 273–282. [Google Scholar] [CrossRef] [PubMed]
- Seel, T.; Kok, M.; McGinnis, R.S. Inertial Sensors-Applications and Challenges in a Nutshell. Sensors 2020, 20, 6221. [Google Scholar] [CrossRef] [PubMed]
- Hoang, T.; Shiao, Y. New Method for Reduced-Number IMU Estimation in Observing Human Joint Motion. Sensors 2023, 23, 5712. [Google Scholar] [CrossRef] [PubMed]
- Kaszyński, J.; Baka, C.; Białecka, M.; Lubiatowski, P. Shoulder Range of Motion Measurement Using Inertial Measurement Unit-Concurrent Validity and Reliability. Sensors 2023, 23, 7499. [Google Scholar] [CrossRef] [PubMed]
- English, D.J.; Weerakkody, N.; Zacharias, A.; Green, R.A.; Hocking, C.; Bini, R.R. The validity of a single inertial sensor to assess cervical active range of motion. J. Biomech. 2023, 159, 111781. [Google Scholar] [CrossRef]
- Kim, B.H.; Hong, S.H.; Oh, I.W.; Lee, Y.W.; Kee, I.H.; Lee, S.Y. Measurement of Ankle Joint Movements Using IMUs during Running. Sensors 2021, 21, 4240. [Google Scholar] [CrossRef]
- Zügner, R.; Tranberg, R.; Timperley, J.; Hodgins, D.; Mohaddes, M.; Kärrholm, J. Validation of inertial measurement units with optical tracking system in patients operated with Total hip arthroplasty. BMC Musculoskelet. Disord. 2019, 20, 52. [Google Scholar] [CrossRef]
- Zeng, Z.; Liu, Y.; Li, P.; Wang, L. Validity and reliability of inertial measurement units measurements for running kinematics in different foot strike pattern runners. Front. Bioeng. Biotechnol. 2022, 10, 1005496. [Google Scholar] [CrossRef]
- Pålsson, A.; Kostogiannis, I.; Ageberg, E. Combining results from hip impingement and range of motion tests can increase diagnostic accuracy in patients with FAI syndrome. Knee Surgery Sports Traumatol. Arthroscopy Off. J. ESSKA 2020, 28, 3382–3392. [Google Scholar] [CrossRef] [PubMed]
- Garimella, R.; Peeters, T.; Beyers, K.; Truijen, S.; Huysmans, T.; Verwulgen, S. Capturing Joint Angles of the Off-Site Human Body. IEEE Sensors 2018, 2018, 1–4. [Google Scholar] [CrossRef]
- Glinkowski, W.; Żukowska, A.; Dymitrowicz, M.; Wołyniec, E.; Glinkowska, B.; Kozioł-Kaczorek, D. Translation, Cross-Cultural Adaptation, and Psychometric Properties of the Polish Version of the Hip Disability and Osteoarthritis Outcome Score (HOOS). Medicina 2019, 55, 614. [Google Scholar] [CrossRef] [PubMed]
- Sauer, P.; Lubiatowski, B.; Chorodenski, S.; Breninek, B.; Gruszczynski, K. RSQ Motion—A prototype of the motion analysis system in the joints. In Proceedings of the 2019 12th International Workshop on Robot Motion and Control (RoMoCo), Poznan, Poland, 8 July 2019. [Google Scholar] [CrossRef]
- Białecka, M.; Gruszczyński, K.; Cisowski, P.; Kaszyński, J.; Cezary, B.; Przemysław, L. Shoulder Range of Motion Measurement Using Inertial Measurement Unit—Validation with a Robot Arm. Sensors 2023, 23, 5364. [Google Scholar] [CrossRef] [PubMed]
- Portney, L.G.; Watkins, M.P. Foundations of Clinical Research: Applications to Practice, 2nd ed.; Prentice Hall: Upper Saddle River, NJ, USA, 2000; p. 273. [Google Scholar]
- Weir, J.P. Quantifying test-retest reliability using the intraclass correlation coefficient and the SEM. J. Strength Cond. Res. 2005, 19, 231–240. [Google Scholar] [CrossRef]
- Keogh, J.W.L.; Cox, A.; Anderson, S.; Liew, B.; Olsen, A.; Schram, B.; Furness, J. Reliability and validity of clinically accessible smartphone applications to measure joint range of motion: A systematic review. PLoS ONE 2019, 14, e0215806. [Google Scholar] [CrossRef] [PubMed]
- Bailey, C.A.; Uchida, T.K.; Nantel, J.; Graham, R.B. Validity and Sensitivity of an Inertial Measurement Unit-Driven Biomechanical Model of Motor Variability for Gait. Sensors 2021, 21, 7690. [Google Scholar] [CrossRef]
- Horenstein, R.E.; Lewis, C.L.; Yan, S.; Halverstadt, A.; Shefelbine, S.J. Validation of magneto-inertial measuring units for measuring hip joint angles. J. Biomech. 2019, 91, 170–174. [Google Scholar] [CrossRef]
- Marshall, C.J.; El-Ansary, D.; Pranata, A.; Ganderton, C.; O’Donnell, J.; Takla, A.; Tran, P.; Wickramasinghe, N.; Tirosh, O. Validity and Reliability of a Novel Smartphone Tele-Assessment Solution for Quantifying Hip Range of Motion. Sensors 2022, 22, 8154. [Google Scholar] [CrossRef]
- Charlton, P.C.; Mentiplay, B.F.; Pua, Y.H.; Clark, R.A. Reliability and concurrent validity of a Smartphone, bubble inclinometer and motion analysis system for measurement of hip joint range of motion. J. Sci. Med. Sport 2015, 18, 262–267. [Google Scholar] [CrossRef]
- Aefsky, B.; Fleet, N.; Myers, H.; Butler, R.J. Reliability and Validity of a Novel Approach to Measure Hip Rotation. J. Sport Rehabil. 2016, 25, 330–337. [Google Scholar] [CrossRef]
- Ross, J.R.; Nepple, J.J.; Philippon, M.J.; Kelly, B.T.; Larson, C.M.; Bedi, A. Effect of changes in pelvic tilt on range of motion to impingement and radiographic parameters of acetabular morphologic characteristics. Am. J. Sports Med. 2014, 42, 2402–2409. [Google Scholar] [CrossRef]
- Russo, R.R.; Burn, M.B.; Ismaily, S.K.; Gerrie, B.J.; Han, S.; Alexander, J.; Lenherr, C.; Noble, P.C.; Harris, J.D.; McCulloch, P.C. How Does Level and Type of Experience Affect Measurement of Joint Range of Motion? J. Surg. Educ. 2018, 75, 739–748. [Google Scholar] [CrossRef]
- Kuo, Y.L.; Tully, E.A.; Galea, M.P. Lumbofemoral rhythm during active hip flexion in standing in healthy older adults. Man. Ther. 2010, 15, 88–92. [Google Scholar] [CrossRef]
- Gao, B.; Zheng, N.N. Investigation of soft tissue movement during level walking: Translations and rotations of skin markers. J. Biomech. 2008, 41, 3189–3195. [Google Scholar] [CrossRef] [PubMed]












| Tester 1 | Tester 2 | |||||
|---|---|---|---|---|---|---|
| ICC | Bias (°) | LOA (°) | ICC | Bias (°) | LOA (°) | |
| IMU vs. INCL | 0.88 | 3.3 ± 2.9 | −2.4; 9.0 | 0.90 | 1.3 ± 3.2 | −5.0; 7.6 |
| IMU vs. GON | 0.90 | −3.5 ± 3.2 | −9.8; 2.8 | 0.91 | −3.8 ± 3.7 | −11.1; 3.4 |
| INCL vs. GON | 0.94 | −6.8 ± 4.1 | −14.8; 1.3 | 0.93 | −5.1 ± 3.6 | −12.22; 2.0 |
| Flexion | Tester 1 Mean ± SD (Min–Max) | Tester 2 Mean ± SD (Min–Max) | ICC | SEM (°) | MDC95 (%) (°) | Bias (°) ±SE | LOA (°) |
|---|---|---|---|---|---|---|---|
| IMU | 107.4 ± 8.2 (91.1–130.1) | 107.1 ± 7.8 (89.3–129.6) | 0.58 | 1.0 | 2.8 | 1.0 ± 10.9 | −20.4; 22.4 |
| Inclinometer | 104.0 ± 8.8 (90.4–128.9) | 105.8 ± 7.9 (93.0–127.8) | 0.59 | 0.7 | 1.9 | −1.8 ± 7.4 | −16.4; 12.8 |
| Goniometer | 110.9 ± 6.7 (101.0–134.0) | 111.0 ± 6.2 (100.0–128.0) | 0.58 | 0.6 | 1.6 | −0.2 ± 6.1 | −12.7; 11.8 |
| Flexion | Test Mean ± SD (Min–Max) | Retest Mean ± SD (Min–Max) | ICC | SEM (°) | MDC95 (%) (°) | Bias (°) ±SE | LOA (°) |
|---|---|---|---|---|---|---|---|
| IMU | 106.0 ± 7.2 (89.3–129.6) | 106.8 ± 7.7 (89.2–133.8) | 0.94 | 0.4 | 1.1 | −1.4 ± 4.1 | −9.6; 6.7 |
| Inclinometer | 104.3 ± 6.9 (93.0–127.8) | 105.8 ± 7.5 (93.0–138.0) | 0.87 | 0.4 | 1.1 | −2.0 ± 4.3 | −10.5; 6.5 |
| Goniometer | 109.8 ± 5.6 (100.0–128.0) | 110.1 ± 6.0 (100.0–131.0) | 0.91 | 0.3 | 0.9 | −0.9 ± 3.5 | −7.7; 5.9 |
| Tester 1 | Tester 2 | |||||
|---|---|---|---|---|---|---|
| ICC | Bias (°) | LOA (°) | ICC | Bias (°) | LOA (°) | |
| IMU vs. INCL | 0.97 | −1.7 ± 2.6 | −6.8; 3.3 | 0.99 | −0.3 ± 10.1 | −20.1; 19.5 |
| IMU vs. GON | 0.99 | −1.9 ± 2.8 | −7.6; 3.7 | 0.97 | −0.2 ± 10.0 | −19.8; 19.4 |
| INCL vs. GON | 0.99 | −0.2 ± 1.6 | −3.3; 2.8 | 0.98 | 0.1 ± 1.7 | −3.3; 3.6 |
| Internal Rotation | Tester 1 Mean ± SD (Min–Max) (°) | Tester 2 Mean ± SD (Min–Max) (°) | ICC | SEM (°) | MDC95 (%) (°) | Bias (°) ±SE | LOA (°) |
|---|---|---|---|---|---|---|---|
| IMU | 33.4 ± 12.0 (10.1–61.4) | 33.3 ± 12.1 (10.6–58.9) | 0.02 | 1.6 | 4.3 | 0.1 ± 16.8 | −32.8; 33.6 |
| Inclinometer | 35.2 ± 11.5 (12.0–60.2) | 34.2 ± 11.5 (10.8–58.5) | 0.04 | 1.5 | 4.1 | 0.6 ± 15.9 | −30.5; 31.7 |
| Goniometer | 35.4 ± 11.4 (12.0–60.0) | 34.4 ± 11.5 (11.0–57.0) | 0.04 | 1.5 | 4.1 | 0.9 ± 15.8 | −30.0; 31.2 |
| Internal Rotation | Test Mean ± SD (Min–Max) (°) | Retest Mean ± SD (Min–Max) (°) | ICC | SEM (°) | MDC95 (%) (°) | Bias ± SE | LOA (°) |
|---|---|---|---|---|---|---|---|
| IMU | 32.4 ± 12.3 (10.6–58.9) | 32.0 ± 11.9 (10.2–60.7) | 0.96 | 0.3 | 0.7 | 0.3 ± 2.8 | −5.1; 5.8 |
| Inclinometer | 33.6 ± 11.5 (10.8–58.5) | 33.2 ± 11.3 (11.9–59.0) | 0.99 | 0.2 | 0.6 | 0.3 ± 2.5 | −4.6; 5.2 |
| Goniometer | 33.6 ± 11.6 (11.0–57.0) | 33.2 ± 11.5 (12.0–60.0) | 0.99 | 0.2 | 0.6 | 0.3 ± 2.5 | −4.6; 5.2 |
| Tester 1 | Tester 2 | |||||
|---|---|---|---|---|---|---|
| ICC | Bias (°) | LOA (°) | ICC | Bias (°) | LOA (°) | |
| IMU vs. INCL | 0.88 | −1.0 ± 3.3 | −7.5; 5.4 | 0.95 | −0.4 ± 3.2 | −6.6; 5.8 |
| IMU vs. GON | 0.97 | 1.1 ± 3.4 | −5.6; 7.8 | 0.99 | 1.1 ± 2.6 | −4.0; 6.2 |
| INCL vs. GON | 0.99 | 2.1 ± 2.4 | −2.5; 6.8 | 0.96 | 1.5 ± 2.4 | −3.2; 6.2 |
| External Rotation | Tester 1 Mean ± SD (Min–Max) (°) | Tester 2 Mean ± SD (Min–Max) (°) | ICC | SEM (°) | MDC95 (%) (°) | Bias ± SE | LOA (°) |
|---|---|---|---|---|---|---|---|
| IMU | 44.4 ± 6.6 (25.0–56.3) | 43.6 ± 7.8 (24.1–55.4) | −0.29 | 1.1 | 3.0 | 0.8 ± 11.5 | −21.8; 23.4 |
| Inclinometer | 45.5 ± 7.3 (30.0–60.4) | 44.0 ± 8.4 (25.8–64.7) | −0.24 | 1.2 | 3.2 | 1.4 ± 11.4 | −22.8; 25.7 |
| Goniometer | 43.3 ± 7.3 (25.0–59.0) | 42.5 ± 7.6 (24.0–57.0) | −0.33 | 1.1 | 3.0 | 0.8 ± 12.1 | −22.8; 24.4 |
| External Rotation | Test Mean ± SD (Min–Max) (°) | Retest Mean ± SD (Min–Max) (°) | ICC | SEM (°) | MDC95 (%) (°) | Bias ± SE | LOA (°) |
|---|---|---|---|---|---|---|---|
| IMU | 44.5 ± 6.9 (27.7–55.4) | 44.8 ± 7.2 (30.9–60.1) | 0.98 | 0.3 | 0.8 | −0.2 ± 3.1 | −6.3; 5.8 |
| Inclinometer | 44.9 ± 7.7 (29.4–64.7) | 44.3 ± 7.6 (27.3–50.2) | 0.95 | 0.3 | 0.8 | 0.7 ± 3.2 | −5.6; 7.0 |
| Goniometer | 43.3 ± 6.9 (27.0–57.0) | 3.7 ± 7.5 (26.0–58.0) | 0.97 | 0.2 | 0.7 | −0.3 ± 2.6 | −5.3; 4.8 |
Disclaimer/Publisher’s Note: The statements, opinions and data contained in all publications are solely those of the individual author(s) and contributor(s) and not of MDPI and/or the editor(s). MDPI and/or the editor(s) disclaim responsibility for any injury to people or property resulting from any ideas, methods, instructions or products referred to in the content. |
© 2023 by the authors. Licensee MDPI, Basel, Switzerland. This article is an open access article distributed under the terms and conditions of the Creative Commons Attribution (CC BY) license (https://creativecommons.org/licenses/by/4.0/).
Share and Cite
Stołowski, Ł.; Niedziela, M.; Lubiatowski, B.; Lubiatowski, P.; Piontek, T. Validity and Reliability of Inertial Measurement Units in Active Range of Motion Assessment in the Hip Joint. Sensors 2023, 23, 8782. https://doi.org/10.3390/s23218782
Stołowski Ł, Niedziela M, Lubiatowski B, Lubiatowski P, Piontek T. Validity and Reliability of Inertial Measurement Units in Active Range of Motion Assessment in the Hip Joint. Sensors. 2023; 23(21):8782. https://doi.org/10.3390/s23218782
Chicago/Turabian StyleStołowski, Łukasz, Maciej Niedziela, Bartłomiej Lubiatowski, Przemysław Lubiatowski, and Tomasz Piontek. 2023. "Validity and Reliability of Inertial Measurement Units in Active Range of Motion Assessment in the Hip Joint" Sensors 23, no. 21: 8782. https://doi.org/10.3390/s23218782
APA StyleStołowski, Ł., Niedziela, M., Lubiatowski, B., Lubiatowski, P., & Piontek, T. (2023). Validity and Reliability of Inertial Measurement Units in Active Range of Motion Assessment in the Hip Joint. Sensors, 23(21), 8782. https://doi.org/10.3390/s23218782

