CERP: Cooperative and Efficient Routing Protocol for Wireless Sensor Networks
Abstract
:1. Introduction
- 1.
- Novel relay selection algorithm: We introduce a novel relay selection algorithm, seamlessly integrated into the ContikiRPL framework, which significantly enhances reliability and energy efficiency in wireless sensor networks (WSNs) through cooperative diversity.
- 2.
- Cooperative-aided routing protocol (CERP): We develop the cooperative-aided routing protocol (CERP), a new routing protocol for WSNs. CERP is founded on our innovative relay selection method and the conventional RPL, demonstrating substantial improvements in routing performance.
- 3.
- Practical implementation and evaluation: We not only propose these advancements but also demonstrate their practical applicability. We map the CERP protocol onto an Arduino-based node equipped with an Xbee module and design a functional prototype using the Contiki operating system (OS) and Arduino Mega board. Moreover, we rigorously evaluate the CERP protocol’s performance using off-the-shelf Arduino-based nodes, establishing its real-world effectiveness.
2. RPL Routing Mechanism Overview
- Destination information object (DIO): sent from the DODAG’s root to its child nodes in order to perform certain operations.
- Destination advertisement object (DAO): broadcasts information about a destination node up the distributed outage distribution graph (DODAG) to update the routing tables of parent nodes.
- DODAG information solicitation (DIS): in the case of grounding and floating DODAGs, it can help locate them. It is the DIO’s job to respond to a DIS transmission.
- 1.
- Collect protocol: Data from all the other nodes are gathered via the collect protocol and then sent to the root node. As for the route, all one have to do is follow the DODAG.
- 2.
- Distribute protocol: With the help of the distribute protocol, information may be sent from the hub to individual nodes. The path is determined by using the name and origin place provided in the DAO message.
- 3.
- Peer-to-peer protocol: Data may be sent from one node to another via the P2P protocol, with the most often used route being through the parents or the root node.
3. Related Works
4. Cooperative Efficient Routing Protocol Formulation
4.1. Problem Formulation
- Direct link transmission from a source node S to the CH is an example of non-cooperative communication. It is denoted by the symbol and is referred to as direct transmission and noted ;
- With the aid of a relay node R, a source node S may send data to the CH, and is referred to as cooperative communications, noted .
- an error propagation occurs when the destination mixes the erroneously regenerated relay signal delivered by the chosen relay with the source signal.
- an error occurs when the final destination wrongly combines the source signal with the appropriately regenerated relay signal delivered by the chosen relay .
4.2. Proposed Relay Selection Algorithm (PRSA)
| Algorithm 1 Preferred Relay Selection Algorithm |
|
Compute the value of that maintains according to Equation (3) Find the set of reliable relays for each reliable relay do Compute the values of and that maintains according to Equation (7) if then Cooperative Transmission via relay else Direct Transmission end if end for |
4.3. CERP Description
4.4. Routing Mechanism for Proposed Cooperative Efficient Routing Protocol (CERP)
- 1.
- Initial introduction and identification: in the initial phase, the cluster head (CH) presents itself to all other nodes within the cluster, identifying their neighbors. Although cluster formation is not the primary focus of this work and is presumed to pre-exist, each node submits its unique identifier to the CH for incorporation into the nodes matrix.
- 2.
- Execution of the preferred relay selection algorithm: detailed in Section 4.3, the CH calculates the preferred relay selection algorithm (PRSA) for each newly incorporated node , where . The aim is to discern the most optimal and energy-efficient next-hop for forthcoming transmissions, enabling node to attain a specific bit error probability (BEP), denoted by , while optimizing power utilization in its transmissions.
- 3.
- Construction of the routing table: the identifier of the chosen relay is stored in a node’s routing table, which is sustained by the node itself. Consequently, to transmit a packet to the CH, a node initially dispatches it to its favored relay within the tree. Subsequently, the packet is sent through a series of preferred relays until it reaches the CH.
5. Prototyping and Performances Exploration
5.1. Design of the Proposed CERP
5.2. Validation of the Proposed Prototyping
- 1.
- Network topology stage: At this point in the network’s development process, each proposed sensor node must initialize its network device, IPv6 stack, UDP, and data-transfer timer before it can begin sending data to the rest of the network. The CH can detect the sensor node immediately after startup. This work will focus on a cluster with six nodes, one of which will serve as the CH while the other five will be responsible for monitoring leak detection. Each node is based on the Arduino platform as described in Figure 6. The network topology is shown in Figure 8.
- 2.
- Routing construction stage: The CH is responsible for calculating the PRSA and determining the next hop for all nodes within the cluster. Thus, in the event of a leak, each sensor node is fully aware of the next-hop (preferred relay) IP address to connect with. When five nodes are added to the network, the routing structure shown in Figure 9 functions as intended. This second graphic shows us that there are three distinct ways for nodes to reach the CH: direct transmission (from nodes 1 and 2), two-hop transmission (from nodes 3 and 5), and three-hop transmission (from node 4).
- 3.
- Packet delivery stage: in this phase, if a sensor node detects a leak, it must immediately notify the CH. A sensor node’s preferred relay will forward the alert message to its preferred relay, and so on until the alert message reaches the CH. Future works will explain a practical implementation of the intended use case.
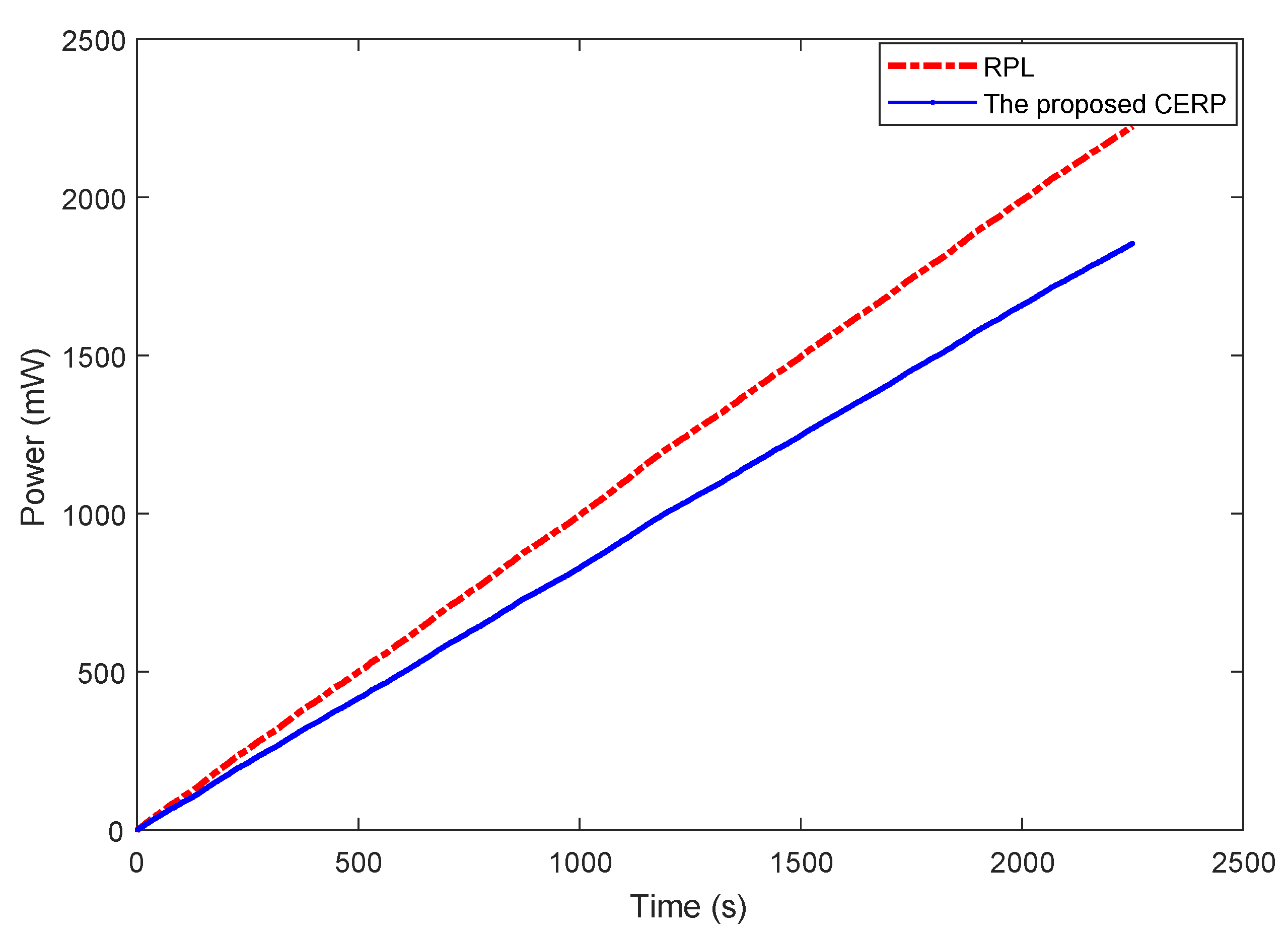
5.3. Power Consumption Evaluation
5.4. Packet Loss Ratio
5.5. Performance Evaluation of CERP
6. Conclusions and Future Works
Author Contributions
Funding
Institutional Review Board Statement
Informed Consent Statement
Data Availability Statement
Acknowledgments
Conflicts of Interest
References
- Jerbi, W.; Cheickhrouhou, O.; Guermazi, A.; Trabelsi, H. MSU-TSCH: A Mobile scheduling updated algorithm for TSCH in the internet of things. IEEE Trans. Ind. Inform. 2022, 19, 7978–7985. [Google Scholar] [CrossRef]
- Al-Fuqaha, A.; Guizani, M.; Mohammadi, M.; Aledhari, M.; Ayyash, M. Internet of things: A survey on enabling technologies protocols and applications. IEEE Commun. Surv. Tutor. 2015, 17, 2347–2376. [Google Scholar] [CrossRef]
- Liouane, H.; Messous, S.; Cheikhrouhou, O.; Koubaa, A.; Hamdi, M. Mobile Anchor and Kalman Filter Boosted Bounding Box for Localization in Wireless Sensor Networks. Electronics 2022, 11, 3296. [Google Scholar] [CrossRef]
- Qiu, T.; Chen, N.; Li, K.; Atiquzzaman, M.; Zhao, W. How can heterogeneous internet of things build our future: A survey. IEEE Commun. Surv. Tutorials 2018, 20, 2001–2027. [Google Scholar] [CrossRef]
- Derhab, A.; Cheikhrouhou, O.; Allouch, A.; Koubaa, A.; Qureshi, B.; Ferrag, M.A.; Maglaras, L.; Khan, F.A. Internet of drones security: Taxonomies, open issues, and future directions. Veh. Commun. 2022, 39, 100552. [Google Scholar] [CrossRef]
- Atitallah, N.; Hakim, H.; Abid, M. Prototyping of an Efficient and Energy-Aware IoT-based Sensor Node for Water Pipeline Monitoring. In Proceedings of the 2021 International Wireless Communications and Mobile Computing (IWCMC), Harbin, China, 28 June–2 July 2021; pp. 2115–2120. [Google Scholar] [CrossRef]
- Mazouzi, M.; Mershad, K.; Cheikhrouhou, O.; Hamdi, M. Agent-Based Reactive Geographic Routing Protocol for Internet of Vehicles. IEEE Access 2023, 11, 79954–79973. [Google Scholar] [CrossRef]
- Gaddour, O.; Koubaa, J.A. RPL in a nutshell: A survey. J. Comput. Netw. 2012, 56, 3163–3178. [Google Scholar] [CrossRef]
- Gaddour, O.; Koubaa, A.; Rangarajan, R.; Cheikhrouhou, O.; Tovar, E.; Abid, M. Co-RPL: RPL routing for mobile low power wireless sensor networks using Corona mechanism. In Proceedings of the 9th IEEE International Symposium on Industrial Embedded Systems (SIES 2014), Pisa, Italy, 18–20 June 2014; pp. 200–209. [Google Scholar]
- Asshad, M.; Khan, S.A.; Kavak, A.; Küçük, K.; Msongaleli, D.L. Cooperative communications using relay nodes for next-generation wireless networks with optimal selection techniques: A review. IEEJ Trans. Electr. Electron. Eng. 2019, 14, 658–669. [Google Scholar] [CrossRef]
- Sheng, Z.; Yang, S.; Yu, Y.; Vasilakos, A.V.; McCann, J.A.; Leung, K.K. A survey on the ietf protocol suite for the internet of things: Standards, challenges, and opportunities. IEEE Wirel. Commun. 2013, 20, 91–98. [Google Scholar] [CrossRef]
- Khelifi, N.; Kammoun, W.; Youssef, H. Efficiency of the RPL repair mechanisms for Low Power and Lossy Networks. In Proceedings of the International Wireless Communications and Mobile Computing Conference (IWCMC), Nicosia, Cyprus, 4–8 August 2014; pp. 98–103. [Google Scholar]
- Clausen, T.; Yi, J.; Herberg, U. Experiences with RPL: IPv6 routing protocol for low power and lossy networks. In Proceedings of the 83rd IETF Plenary Meeting, Paris, France, 29 March 2012; pp. 25–30. [Google Scholar]
- Vasseur, J.P.; Kim, M.; Pister, K.; Dejean, N.; Barthel, D. Routing Metrics Used for Path Calculation in Low-Power and Lossy Networks, Technical Report, (No. RFC 6551). 2012. Available online: https://www.rfc-editor.org/rfc/rfc6551 (accessed on 10 October 2023).
- Chithaluru, P.; Kumar, S.; Singh, A.; Benslimane, A.; Jangir, S.K. An energy-efficient routing scheduling based on fuzzy ranking scheme for internet of things (IoT). IEEE Internet Things J. 2021, 9, 7251–7260. [Google Scholar] [CrossRef]
- Queiroz, D.V.; Alencar, M.S.; Gomes, R.D.; Fonseca, I.E.; Benavente-Peces, C. Survey and systematic mapping of industrial Wireless Sensor Networks. J. Netw. Comput. Appl. 2017, 97, 96–125. [Google Scholar] [CrossRef]
- Winter, T.; Thubert, P. RPL: IPv6 Routing Protocol for Low Power and Lossy Networks, IETF Draft, Retrieved from Internet Engineering Task Force. 2012. Available online: https://www.rfc-editor.org/rfc/rfc6550.html (accessed on 10 October 2023).
- Umar, A.; Akbar, M.; Iqbal, Z.; Khan, Z.A.; Qasim, U.; Javaid, N. Cooperative partner nodes selection criteria for cooperative routing in underwater WSNs. In Proceedings of the 2015 5th National Symposium on Information Technology: Towards New Smart World (NSITNSW), Riyadh, Saudi Arabia, 17–19 February 2015; pp. 1–7. [Google Scholar]
- Khan, A.; Ali, I.; Rahman, A.U.; Imran, M.; Mahmood, H. Co-EEORS: Cooperative energy efficient optimal relay selection protocol for underwater wireless sensor networks. IEEE Access 2018, 6, 28777–28789. [Google Scholar] [CrossRef]
- Aslani, Z.; Aijaz, A. Coop-RPL: A Cooperative Approach to RPL-based Routing in Smart Grid AMI Networks. arXiv 2017, arXiv:1706.05134. [Google Scholar]
- Osman, R.A.; Peng, X.H.; Tang, Z. Energy efficient adaptive cooperative communications in wireless sensor networks. In Proceedings of the 2015 IEEE International Conference on Computer and Information Technology; Ubiquitous Computing and Communications; Dependable, Autonomic and Secure Computing; Pervasive Intelligence and Computing, Liverpool, UK, 26–28 October 2015; pp. 1080–1086. [Google Scholar]
- Iqbal, Z.; Kim, K.; Lee, H.N. A cooperative wireless sensor network for indoor industrial monitoring. IEEE Trans. Ind. Inform. 2016, 13, 482–491. [Google Scholar] [CrossRef]
- Mansourkiaie, F.; Ahmed, M.H. Cooperative routing in wireless networks: A comprehensive survey. IEEE Commun. Surv. Tutor. 2014, 17, 604–626. [Google Scholar] [CrossRef]
- Qadir, J.; Ullah, U.; Sainz-De-Abajo, B.; Zapirain, B.G.; Marques, G.; de la Torre Diez, I. Energy-aware and reliability-based localization-free cooperative acoustic wireless sensor networks. IEEE Access 2020, 8, 121366–121384. [Google Scholar] [CrossRef]
- Safaei, B.; Monazzah, A.M.H.; Ejlali, A. ELITE: An Elaborated Cross-Layer RPL Objective Function to Achieve Energy Efficiency in Internet-of-Things Devices. IEEE Internet Things J. 2020, 8, 1169–1182. [Google Scholar] [CrossRef]
- Sheng, Z.; Fan, J.; Liu, C.H.; Leung, V.C.; Liu, X.; Leung, K.K. Energy-efficient relay selection for cooperative relaying in wireless multimedia networks. IEEE Trans. Veh. Technol. 2015, 64, 1156–1170. [Google Scholar] [CrossRef]
- Zhao, M.; Chong, P.H.J.; Chan, H.C. An energy-efficient and cluster-parent based RPL with power-level refinement for low-power and lossy networks. Comput. Commun. 2017, 104, 17–33. [Google Scholar] [CrossRef]
- Barcelo, M.; Correa, A.; Vicario, J.L.; Morell, A. Cooperative interaction among multiple RPL instances in wireless sensor networks. Comput. Commun. 2016, 81, 61–71. [Google Scholar] [CrossRef]
- Zhang, T.; Li, X. Evaluating and Analyzing the Performance of RPL in Contiki. In Proceedings of the First International Workshop on Mobile Sensing, Computing and Communication, Philadelphia, PA, USA, 11 August 2014; pp. 19–24. [Google Scholar]
- Zaatouri, I.; Alyaoui, N.; Guiloufi, A.B.; Sailhan, F.; Kachouri, A. Design and Performance Analysis of Objective Functions for RPL Routing Protocol. Wirel. Pers. Commun. 2022, 124, 2677–2697. [Google Scholar] [CrossRef]
- Shahbakhsh, P.; Ghafouri, S.H.; Bardsiri, A.K. RAARPL: End-to-end Reliability-Aware Adaptive RPL routing protocol for Internet of things. Int. J. Commun. Syst. 2023, 36, e5445. [Google Scholar] [CrossRef]
- Al-Amiedy, T.A.; Anbar, M.; Belaton, B.; Bahashwan, A.A.; Hasbullah, I.H.; Aladaileh, M.A.; Mukhaini, G.A. A systematic literature review on attacks defense mechanisms in RPL-based 6LoWPAN of Internet of Things. Internet Things 2023, 22, 100741. [Google Scholar] [CrossRef]
- Bang, A.O.; Rao, U.P.; Kaliyar, P.; Conti, M. Assessment of routing attacks and mitigation techniques with RPL control messages: A survey. ACM Comput. Surv. (CSUR) 2022, 55, 1–36. [Google Scholar] [CrossRef]
- Jerbi, W.; Cheikhrouhou, O.; Guermazi, A.; Baz, M.; Trabelsi, H. BSI: Blockchain to secure routing protocol in Internet of Things. Concurr. Comput. Pract. Exp. 2022, 34, e6794. [Google Scholar] [CrossRef]
- Cheikhrouhou, O.; Fredj, O.B.; Atitallah, N.; Hellal, S. Intrusion Detection in Industrial IoT. In Proceedings of the 2022 15th International Conference on Security of Information and Networks (SIN), Sousse, Tunisia, 11–13 November 2022. [Google Scholar]
- Nandhini, P.S.; Kuppuswami, S.; Malliga, S.; DeviPriya, R. A Lightweight Energy-Efficient Algorithm for mitigation and isolation of Internal Rank Attackers in RPL based Internet of Things. Comput. Netw. 2022, 218, 109391. [Google Scholar] [CrossRef]
- Sheibani, M.; Barekatain, B.; Arvan, E. A lightweight distributed detection algorithm for DDAO Attack on RPL routing protocol in Internet of Things. Pervasive Mob. Comput. 2022, 80, 101525. [Google Scholar] [CrossRef]
- Atitallah, N.; Hakim, H.; Loukil, K.; Obeid, A.M.; Abid, M. Energy Efficient Adaptive Transmission Strategy Using Cooperative Diversity for Wireless Sensor Networks. In Proceedings of the 27th IEEE PIMRC Mobile and Wireless, Valencia, Spain, 4–7 September 2016; pp. 2120–2125. [Google Scholar]
- Hakim, H.; Boujemaa, H.; Ajib, W. Single relay selection schemes for broadcast networks. IEEE Trans. Wirel. Commun. 2013, 12, 2646–2657. [Google Scholar] [CrossRef]
- Singh, S.P.; Sharma, S.C. A survey on cluster based routing protocols in wireless sensor networks. Procedia Comput. Sci. 2015, 45, 687–695. [Google Scholar] [CrossRef]
- Seliem, M.A.; Elsayed, K.M.; Khattab, A. Performance evaluation and optimization of neighbour discovery implementation over Contiki OS. In Proceedings of the IEEE World Forum on Internet of Things (WF-IoT), Seoul, Republic of Korea, 6–8 March 2014; pp. 119–123. [Google Scholar]
- Gnawali, O.; Levis, P. The ETX Objective Function for RPL. In IETF Internet Draft: Draft-Gnawali-Roll-Etxof-00; Stanford University: Stanford, CA, USA, 2010. [Google Scholar]
- Arduino, S.A. Arduino Mega 2560. 2014. Available online: http://arduino.cc/en/Main/ArduinoBoardMega2560 (accessed on 10 October 2023).
- DIGI: XBee/XBee-PRO, S2C Zigbee, RF Module. 2017. Available online: https://www.digi.com/products/embedded-systems/digi-xbee/rf-modules/2-4-ghz-rf-modules/xbee-zigbee (accessed on 10 October 2023).
- Osterlind, F. A Sensor Network Simulator for the Contiki OS; SICS Research Report; Swedish Institute of Computer Science: Kista, Sweden, 2006. [Google Scholar]
- Nichols, D. Arduino-based data acquisition into Excel, LabVIEW, and MATLAB. Phys. Teach. 2017, 55, 226–227. [Google Scholar] [CrossRef]
- Telecom Bretagne. Arduino-IPv6Stack. Available online: http://github.com/telecombretagne/Arduino-IPv6Stack/wiki (accessed on 10 October 2023).












| Abbreviation | Full Form |
|---|---|
| BEP | Bit error probability |
| CH | Cluster head |
| DAO | Destination advertisement object |
| DIO | Destination information object |
| DIS | DODAG information solicitation |
| DODAG | Destination-oriented directed acyclic Graphs |
| IETF | Internet Engineering Task Force |
| OF | Objective function |
| RPL | Routing Protocol for Low Power and Lossy Networks |
| RSSI | Received signal strength indication |
| SDR | Selective digital relaying |
| SNR | Relaying (SDR) |
| WSNs | Wireless sensor networks |
| Protocol | RPL | CERP |
|---|---|---|
| Next hop | Preferred parent | Preferred relay |
| Building routes initialized by | Root | CH |
| Transport layer protocol | UDP | UDP |
| Network layer protocol | IPv6 | IPv6 |
| Control message type | ICMP | ICMP |
| Metric and constraint | ETX | + |
| Refs. | RPL | Reliability | Energy |
|---|---|---|---|
| Improvements | Simulation Results | ||
| [20] | Incorporation of cooperative approach into the RPL | ↑ 15% | – |
| [26] | Incorporation of cooperative approach into the RPL when transmitting data to the preferred parent | – | ↓ 20% |
| [27] | Incorporation of hybrid energy-efficient cluster-parent based on RPL | – | |
| [28] | Incorporation of cooperative approach to create multiple instances among nodes | – | |
| ↓ 30% | |||
| CERP | Cooperative approach to select routes | Real-Test Results | |
| ↓ 18% | |||
Disclaimer/Publisher’s Note: The statements, opinions and data contained in all publications are solely those of the individual author(s) and contributor(s) and not of MDPI and/or the editor(s). MDPI and/or the editor(s) disclaim responsibility for any injury to people or property resulting from any ideas, methods, instructions or products referred to in the content. |
© 2023 by the authors. Licensee MDPI, Basel, Switzerland. This article is an open access article distributed under the terms and conditions of the Creative Commons Attribution (CC BY) license (https://creativecommons.org/licenses/by/4.0/).
Share and Cite
Atitallah, N.; Cheikhrouhou, O.; Mershad, K.; Koubaa, A.; Hajjej, F. CERP: Cooperative and Efficient Routing Protocol for Wireless Sensor Networks. Sensors 2023, 23, 8834. https://doi.org/10.3390/s23218834
Atitallah N, Cheikhrouhou O, Mershad K, Koubaa A, Hajjej F. CERP: Cooperative and Efficient Routing Protocol for Wireless Sensor Networks. Sensors. 2023; 23(21):8834. https://doi.org/10.3390/s23218834
Chicago/Turabian StyleAtitallah, Nesrine, Omar Cheikhrouhou, Khaleel Mershad, Anis Koubaa, and Fahima Hajjej. 2023. "CERP: Cooperative and Efficient Routing Protocol for Wireless Sensor Networks" Sensors 23, no. 21: 8834. https://doi.org/10.3390/s23218834
APA StyleAtitallah, N., Cheikhrouhou, O., Mershad, K., Koubaa, A., & Hajjej, F. (2023). CERP: Cooperative and Efficient Routing Protocol for Wireless Sensor Networks. Sensors, 23(21), 8834. https://doi.org/10.3390/s23218834

