Anti-Swing Control for Quadrotor-Slung Load Transportation System with Underactuated State Constraints
Abstract
:1. Introduction
- Underactuated state constraints: To maintain the stability of the quadrotor and the safety of the payload itself, it is necessary to manage the swing of the payload. However, the swing angles lack independent control inputs, making it challenging to design controllers directly to address this issue. Although some open-loop controllers are designed according to trajectory planning, the robustness of the system cannot be guaranteed [20].
- A Lyapunov-based controller is designed to guarantee the stability of the QSLTS while limiting the swing of the payload.
- The states of the QSTLS have asymptotic stability, instead of being only uniformly ultimately bounded.
2. Preliminaries and Problem Statement
3. Controller Design
3.1. Position Controller Based on Lyapunov Method
3.2. Position Controller Based on Barrier-Lyapunov-like Method
- Note 3 infers . Thus, there is a minimum boundary of swing angles.
3.3. Attitude Controller Design
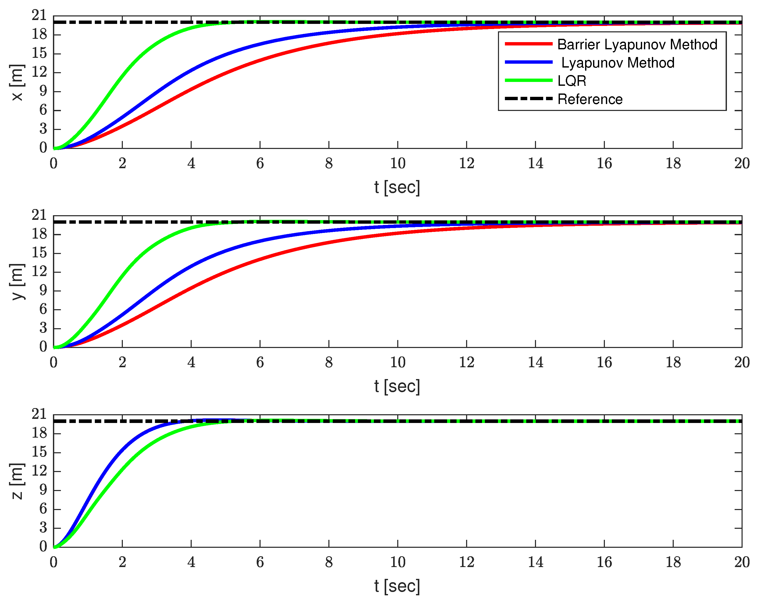
4. Simulation and Results
5. Conclusions
Author Contributions
Funding
Institutional Review Board Statement
Informed Consent Statement
Data Availability Statement
Conflicts of Interest
References
- Ghadiri, H.; Emami, M.; Khodadadi, H. Adaptive super-twisting non-singular terminal sliding mode control for tracking of quadrotor with bounded disturbances. Aerosp. Sci. Technol. 2021, 112, 106616. [Google Scholar]
- Li, C.; Wang, Y.; Yang, X. Adaptive fuzzy control of a quadrotor using disturbance observer. Aerosp. Sci. Technol. 2022, 128, 107784. [Google Scholar]
- Perozzi, G.; Efimov, D.; Biannic, J.M.; Planckaert, L. Using a quadrotor as wind sensor: Time-varying parameter estimation algorithms. Int. J. Control 2022, 95, 126–137. [Google Scholar] [CrossRef]
- Heidari, H.; Saska, M. Trajectory planning of quadrotor systems for various objective functions. Robotica 2021, 39, 137–152. [Google Scholar] [CrossRef]
- Liu, H.; Tu, H.; Huang, S.; Zheng, X. Adaptive predefined-time sliding mode control for QUADROTOR formation with obstacle and inter-quadrotor avoidance. Sensors 2023, 23, 2392. [Google Scholar] [CrossRef]
- Zhou, L.; Xu, S.; Jin, H.; Jian, H. A hybrid robust adaptive control for a quadrotor UAV via mass observer and robust controller. Adv. Mech. Eng. 2021, 13, 16878140211002723. [Google Scholar]
- Um, Y.C.; Choi, H.L. Integral gamma-sliding mode control for a quadrotor with uncertain time-varying mass and external disturbance. J. Electr. Eng. Technol. 2022, 17, 707–716. [Google Scholar]
- Liang, X.; Fang, Y.; Sun, N.; Lin, H.; Zhao, X. Adaptive nonlinear hierarchical control for a rotorcraft transporting a cable-suspended payload. IEEE Trans. Syst. Man Cybern. A 2021, 51, 4171–4182. [Google Scholar] [CrossRef]
- Ameya, R.G.; Kamesh, S. Nonlinear control of unmanned aerial vehicles with cable suspended payloads. Aerosp. Sci. Technol. 2019, 93, 105299. [Google Scholar]
- Sreenath, K.; Lee, T.; Kumar, V. Geometric control and differential flatness of a quadrotor UAV with a cable-suspended load. In Proceedings of the IEEE Conference on Decision and Control, Firenze, Italy, 10–13 December 2013. [Google Scholar]
- Shi, D.; Wu, Z.; Chou, W. Harmonic extended state observer based anti-swing attitude control for quadrotor with slung load. Electronics 2018, 7, 83. [Google Scholar] [CrossRef]
- Santos, M.A.; Rego, B.S.; Raffo, G.V.; Ferramosca, A. Suspended load path tracking control strategy using a tilt-rotor UAV. J. Adv. Transp. 2017, 2017, 9095324. [Google Scholar] [CrossRef]
- Xian, B.; Yang, S. Robust tracking control of a quadrotor unmanned aerial vehicle-suspended payload system. IEEE Trans. Mechatron. 2021, 26, 2653–2663. [Google Scholar] [CrossRef]
- Lv, Z.Y.; Li, S.; Wu, Y.; Wang, Q.G. Adaptive control for a quadrotor transporting a cable-suspended payload with unknown mass in the presence of rotor downwash. IEEE Trans. Veh. Technol. 2021, 70, 8505–8518. [Google Scholar] [CrossRef]
- Yang, S.; Xian, B. Energy-based nonlinear adaptive control design for the quadrotor UAV system with a suspended payload. IEEE Trans. Ind. Electron. 2020, 67, 2054–2064. [Google Scholar] [CrossRef]
- Yuan, M.; Chen, Z.; Yao, B.; Liu, X. Fast and accurate motion tracking of a linear motor system under kinematic and dynamic constraints: An integrated planning and control approach. IEEE Trans. Control Syst. Technol. 2021, 29, 804–811. [Google Scholar] [CrossRef]
- Wang, X.; Guo, J.; Tang, S.; Qi, S.; Wang, Z. Entry trajectory planning with terminal full states constraints and multiple geographic constraints. Aerosp. Sci. Technol. 2019, 84, 620–631. [Google Scholar]
- He, S.; Hu, C.; Zhu, Y.; Tomizuka, M. Time optimal control of triple integrator with input saturation and full state constraints. Automatica 2020, 122, 109240. [Google Scholar] [CrossRef]
- Alkomy, H.; Shan, J. Vibration reduction of a quadrotor with a cable-suspended payload using polynomial trajectories. Nonlinear Dyn. 2021, 104, 3713–3735. [Google Scholar] [CrossRef] [PubMed]
- Liang, X.; Fang, Y.; Sun, N.; Lin, H. Dynamics analysis and time-optimal motion planning for unmanned quadrotor transportation systems. Mechatronics 2018, 50, 16–29. [Google Scholar] [CrossRef]
- Yang, T.; Sun, N.; Fang, Y. Neuroadaptive control for complicated underactuated systems with simultaneous output and velocity constraints exerted on both actuated and unactuated states. IEEE Trans. Neural Netw. Learn. 2023, 34, 4488–4498. [Google Scholar] [CrossRef]
- Sun, W.; Su, S.F.; Wu, Y.; Xia, J.; Nguyen, V.T. Adaptive fuzzy control with high-order barrier Lyapunov functions for high-order uncertain nonlinear systems with full-state constraints. IEEE Trans. Cybern. 2020, 50, 3424–3432. [Google Scholar] [CrossRef] [PubMed]
- Laghrouche, S.; Harmouche, M.; Chitour, Y.; Obeid, H.; Fridman, L.M. Barrier function-based adaptive higher-order sliding mode controllers. Automatica 2021, 123, 109355. [Google Scholar] [CrossRef]
- Khadhraoui, A.; Zouaoui, A.; Saad, M. Barrier Lyapunov function and adaptive backstepping-based control of a quadrotor UAV. Robotica 2023, in press. [Google Scholar] [CrossRef]
- Hamed, H.; Ali, S.; Holger, V.; Mohamed, D.; Jose, L.S. Safe navigation of a quadrotor UAV with uncertain dynamics and guaranteed collision avoidance using barrier Lyapunov function. Aerosp. Sci. Technol. 2023, 132, 10806. [Google Scholar]
- Zhang, H.; Liu, Y.; Wang, Y. Observer-based finite-time adaptive fuzzy control for nontriangular nonlinear systems with full-state constraints. IEEE Trans. Cybern. 2021, 51, 1110–1120. [Google Scholar] [CrossRef]
- Ma, H.; Li, H.; Liang, H.; Dong, G. Adaptive fuzzy event-triggered control for stochastic nonlinear systems with full state constraints and actuator faults. IEEE Trans. Fuzzy Syst. 2019, 27, 2242–2254. [Google Scholar] [CrossRef]
- Hu, W.; Zhou, Y.; Zhang, Z.; Fujita, H. Model predictive control for hybrid levitation systems of maglev trains with state constraints. IEEE Trans. Veh. Technol. 2021, 70, 9972–9985. [Google Scholar] [CrossRef]
- Dong, L.; Yan, J.; Yuan, X.; He, H.; Sun, C. Functional nonlinear model predictive control based on adaptive dynamic programming. IEEE Trans. Cybern. 2019, 49, 4206–4218. [Google Scholar] [CrossRef]
- Yang, G.; Yao, J.; Dong, Z. Neuroadaptive learning algorithm for constrained nonlinear systems with disturbance rejection. Int. J. Robust Nonlinear Control 2022, 32, 6127–6147. [Google Scholar] [CrossRef]
- Wu, L.B.; Park, J.H.; Xie, X.P.; Liu, Y.J. Neural network adaptive tracking control of uncertain MIMO nonlinear systems with output constraints and event-triggered inputs. IEEE Trans. Neural Netw. Learn. Syst. 2021, 32, 695–707. [Google Scholar] [CrossRef]
- Feng, C.; Wang, Q.; Liu, C.; Hu, C.; Liang, X. Variable-structure near-space vehicles with time-varying state constraints attitude control based on switched nonlinear system. Sensors 2020, 20, 848. [Google Scholar] [CrossRef] [PubMed]
- Yu, J.; Dong, X.; Li, Q.; Lü, J.; Ren, Z. Adaptive practical pptimal time-varying formation tracking control for disturbed high-order multi-agent Systems. IEEE Trans. Circuits Syst. I 2022, 69, 2567–2578. [Google Scholar] [CrossRef]
- Yang, G. Asymptotic tracking with novel integral robust schemes for mismatched uncertain nonlinear systems. Int. J. Robust Nonlinear Control 2023, 33, 1988–2002. [Google Scholar] [CrossRef]
- Ding, F.; Huang, J.; Sun, C.; Ai, Y.; Yang, C. Adaptive dynamic surface control for quadrotor-slung load transportation system with uncertainties. Sci. China Technol. Sci. 2023, 66, 2917–2929. [Google Scholar] [CrossRef]
- Li, X.; Zhang, H.; Fan, W.; Wang, C.; Ma, P. Finite-time control for quadrotor based on composite barrier Lyapunov function with system state constraints and actuator faults. Aerosp. Sci. Technol. 2021, 119, 107063. [Google Scholar] [CrossRef]





| Symbol | Description |
|---|---|
| the global coordinate of the QSLTS | |
| the local coordinate of the quadrotor | |
| the moment of inertia along axes X, Y, and Z, respectively | |
| roll, pitch, and yaw torques, respectively, acting on the quadrotor | |
| the payload’s angle, with respect to its projection on the XOZ | |
| the payload’s angle, with respect to its projection on the YOZ | |
| the mass of the quadrotor | |
| the mass of the payload | |
| l | the length of the cable |
| the force generated by the ith rotor | |
| g | the acceleration of gravity |
| Methods | [s] | [s] | [s] | [s] | [s] | |||
|---|---|---|---|---|---|---|---|---|
| Barrier Lyapunov Method | 15.01 | 14.96 | 3.37 | 5.66 | 5.69 | 9.57 | 9.76 | 3203 |
| Lyapunov Method | 13.96 | 13.69 | 3.37 | 5.95 | 5.96 | 17.52 | 19.11 | 3215 |
| LQR | 4.44 | 4.44 | 4.42 | 5.52 | 5.67 | 70.65 | 45.67 | 3266 |
Disclaimer/Publisher’s Note: The statements, opinions and data contained in all publications are solely those of the individual author(s) and contributor(s) and not of MDPI and/or the editor(s). MDPI and/or the editor(s) disclaim responsibility for any injury to people or property resulting from any ideas, methods, instructions or products referred to in the content. |
© 2023 by the authors. Licensee MDPI, Basel, Switzerland. This article is an open access article distributed under the terms and conditions of the Creative Commons Attribution (CC BY) license (https://creativecommons.org/licenses/by/4.0/).
Share and Cite
Ding, F.; Sun, C.; He, S. Anti-Swing Control for Quadrotor-Slung Load Transportation System with Underactuated State Constraints. Sensors 2023, 23, 8995. https://doi.org/10.3390/s23218995
Ding F, Sun C, He S. Anti-Swing Control for Quadrotor-Slung Load Transportation System with Underactuated State Constraints. Sensors. 2023; 23(21):8995. https://doi.org/10.3390/s23218995
Chicago/Turabian StyleDing, Feng, Chong Sun, and Shunfan He. 2023. "Anti-Swing Control for Quadrotor-Slung Load Transportation System with Underactuated State Constraints" Sensors 23, no. 21: 8995. https://doi.org/10.3390/s23218995
APA StyleDing, F., Sun, C., & He, S. (2023). Anti-Swing Control for Quadrotor-Slung Load Transportation System with Underactuated State Constraints. Sensors, 23(21), 8995. https://doi.org/10.3390/s23218995

