SLP-Improved DDPG Path-Planning Algorithm for Mobile Robot in Large-Scale Dynamic Environment
Abstract
:1. Introduction
2. Related Work
2.1. Problem Definition
2.2. Deep Deterministic Policy Gradient
- 1.
- DDPG is a reinforcement learning method that improves through multiple iterations and gradually converges, which will likely provide optimal solutions for the current environment and state.
- 2.
- Unlike traditional path planning methods that require previous knowledge of the environment map, DDPG does not require any map but can reach the goal using a pre-trained model. This makes the DDPG method more adaptive since, in dynamic environments, it is hardly possible to track the environment’s moving obstacles’ trajectory.
- 3.
- Unlike traditional means of dynamic obstacle avoidance that produce simple actions when the robot encounters a dynamic obstacle, DDPG outputs a series of actions. The actions that DDPG produces to avoid obstacles are relatively reasonable and may have connections with previous actions. It is a real-time obstacle avoidance. The actions may be planned ahead of time instead of stopping the robot from adjusting the trajectory when a dynamic obstacle is detected.
2.3. Sequential Linear Paths
3. SLP Improved DDPG Path Planning
3.1. Path Planning Based on Improved DDPG Algorithm
| Algorithm 1 SLP-improved DDPG path planning algorithm |
|
3.2. DDPG Reward Function Design
4. Experiments and Results
4.1. Experimental Setup
4.2. Grid Map Generation
4.3. Simulation Results in Static Environments
4.4. Simulation Results in Dynamic Environments
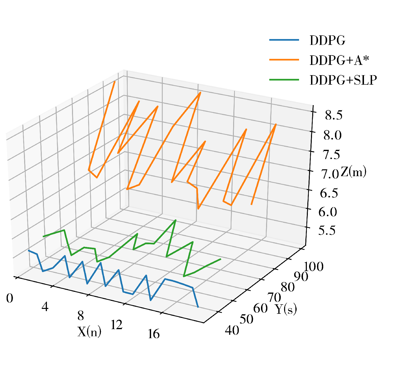
4.5. Simulation Results in Large-Scale Dynamic Environments
5. Conclusions
Author Contributions
Funding
Institutional Review Board Statement
Informed Consent Statement
Data Availability Statement
Conflicts of Interest
References
- Ab Wahab, M.N.; Lee, C.M.; Akbar, M.F.; Hassan, F.H. Path planning for mobile robot navigation in unknown indoor environments using hybrid PSOFS algorithm. IEEE Access 2020, 8, 161805–161815. [Google Scholar] [CrossRef]
- Mu, X.; Liu, Y.; Guo, L.; Lin, J.; Schober, R. Intelligent reflecting surface enhanced indoor robot path planning: A radio map-based approach. IEEE Trans. Wirel. Commun. 2021, 20, 4732–4747. [Google Scholar] [CrossRef]
- Zheng, J.; Mao, S.; Wu, Z.; Kong, P.; Qiang, H. Improved Path Planning for Indoor Patrol Robot Based on Deep Reinforcement Learning. Symmetry 2022, 14, 132. [Google Scholar] [CrossRef]
- Azmi, M.Z.; Ito, T. Artificial potential field with discrete map transformation for feasible indoor path planning. Appl. Sci. 2020, 10, 8987. [Google Scholar] [CrossRef]
- Gong, H.; Wang, P.; Ni, C.; Cheng, N. Efficient path planning for mobile robot based on deep deterministic policy gradient. Sensors 2022, 22, 3579. [Google Scholar] [CrossRef]
- Haj Darwish, A.; Joukhadar, A.; Kashkash, M. Using the Bees Algorithm for wheeled mobile robot path planning in an indoor dynamic environment. Cogent Eng. 2018, 5, 1426539. [Google Scholar] [CrossRef]
- Bakdi, A.; Hentout, A.; Boutami, H.; Maoudj, A.; Hachour, O.; Bouzouia, B. Optimal path planning and execution for mobile robots using genetic algorithm and adaptive fuzzy-logic control. Robot. Auton. Syst. 2017, 89, 95–109. [Google Scholar] [CrossRef]
- Zhang, H.; Zhuang, Q.; Li, G. Robot Path Planning Method Based on Indoor Spacetime Grid Model. Remote Sens. 2022, 14, 2357. [Google Scholar] [CrossRef]
- Palacz, W.; Ślusarczyk, G.; Strug, B.; Grabska, E. Indoor robot navigation using graph models based on BIM/IFC. In Proceedings of the International Conference on Artificial Intelligence and Soft Computing, Zakopane, Poland, 16–20 June 2019; Springer: Berlin/Heidelberg, Germany, 2019; pp. 654–665. [Google Scholar]
- Sun, N.; Yang, E.; Corney, J.; Chen, Y. Semantic path planning for indoor navigation and household tasks. In Proceedings of the Annual Conference Towards Autonomous Robotic Systems, London, UK, 3–5 July 2019; Springer: Berlin/Heidelberg, Germany, 2019; pp. 191–201. [Google Scholar]
- Zhang, L.; Zhang, Y.; Li, Y. Path planning for indoor mobile robot based on deep learning. Optik 2020, 219, 165096. [Google Scholar] [CrossRef]
- Dai, Y.; Yu, J.; Zhang, C.; Zhan, B.; Zheng, X. A novel whale optimization algorithm of path planning strategy for mobile robots. Appl. Intell. 2022, 1–15. [Google Scholar] [CrossRef]
- Miao, C.; Chen, G.; Yan, C.; Wu, Y. Path planning optimization of indoor mobile robot based on adaptive ant colony algorithm. Comput. Ind. Eng. 2021, 156, 107230. [Google Scholar] [CrossRef]
- Zhong, X.; Tian, J.; Hu, H.; Peng, X. Hybrid path planning based on safe A* algorithm and adaptive window approach for mobile robot in large-scale dynamic environment. J. Intell. Robot. Syst. 2020, 99, 65–77. [Google Scholar] [CrossRef]
- Pan, G.; Xiang, Y.; Wang, X.; Yu, Z.; Zhou, X. Research on path planning algorithm of mobile robot based on reinforcement learning. Soft Comput. 2022, 26, 8961–8970. [Google Scholar] [CrossRef]
- Wang, B.; Liu, Z.; Li, Q.; Prorok, A. Mobile robot path planning in dynamic environments through globally guided reinforcement learning. IEEE Robot. Autom. Lett. 2020, 5, 6932–6939. [Google Scholar] [CrossRef]
- Lakshmanan, A.K.; Mohan, R.E.; Ramalingam, B.; Le, A.V.; Veerajagadeshwar, P.; Tiwari, K.; Ilyas, M. Complete coverage path planning using reinforcement learning for tetromino based cleaning and maintenance robot. Autom. Constr. 2020, 112, 103078. [Google Scholar] [CrossRef]
- Low, E.S.; Ong, P.; Low, C.Y.; Omar, R. Modified Q-learning with distance metric and virtual target on path planning of mobile robot. Expert Syst. Appl. 2022, 199, 117191. [Google Scholar] [CrossRef]
- Chen, P.; Pei, J.; Lu, W.; Li, M. A deep reinforcement learning based method for real-time path planning and dynamic obstacle avoidance. Neurocomputing 2022, 497, 64–75. [Google Scholar] [CrossRef]
- Quan, H.; Li, Y.; Zhang, Y. A novel mobile robot navigation method based on deep reinforcement learning. Int. J. Adv. Robot. Syst. 2020, 17, 1729881420921672. [Google Scholar] [CrossRef]
- Huang, R.; Qin, C.; Li, J.L.; Lan, X. Path planning of mobile robot in unknown dynamic continuous environment using reward-modified deep Q-network. Optim. Control Appl. Methods 2021, 1–18. [Google Scholar] [CrossRef]
- Fareh, R.; Baziyad, M.; Rabie, T.; Bettayeb, M. Enhancing path quality of real-time path planning algorithms for mobile robots: A sequential linear paths approach. IEEE Access 2020, 8, 167090–167104. [Google Scholar] [CrossRef]
- Lillicrap, T.P.; Hunt, J.J.; Pritzel, A.; Heess, N.; Erez, T.; Tassa, Y.; Silver, D.; Wierstra, D. Continuous control with deep reinforcement learning. arXiv 2015, arXiv:1509.02971. [Google Scholar]












| Algorithm | AET (sec) | TI | APL | PLI | SR (%) |
|---|---|---|---|---|---|
| A* | 32.15 | 32.26 | 2.92 | 2.93 | 99.67 |
| SLP | 43.13 | 67.19 | 2.03 | 3.16 | 64.19 |
| DDPG | 19.28 | 20.51 | 2.67 | 2.84 | 94 |
| A*+DDPG | 29.76 | 38.01 | 2.66 | 3.40 | 78.3 |
| SLP+DDPG | 23.04 | 23.51 | 2.42 | 2.47 | 98 |
| Algorithm | AET (sec) | TI | APL | PLI | SR (%) |
|---|---|---|---|---|---|
| A* | 27.84 | 34.09 | 2.81 | 3.44 | 81.67 |
| SLP | 27.67 | 48.83 | 2.10 | 3.71 | 56.67 |
| DDPG | 19.78 | 21.42 | 2.75 | 2.98 | 92.33 |
| A*+DDPG | 25.18 | 35.63 | 2.27 | 3.21 | 70.67 |
| SLP+DDPG | 19.61 | 22.63 | 2.64 | 3.04 | 86.67 |
| Algorithm | AET (sec) | TI | APL | PLI | SR (%) |
|---|---|---|---|---|---|
| DDPG | 43.69 | 75.33 | 6.35 | 10.95 | 58 |
| A*+DDPG | 62.60 | 132.26 | 8.88 | 18.76 | 47.33 |
| SLP+DDPG | 59.18 | 86.61 | 8.59 | 12.57 | 68.33 |
| Algorithm | AET (sec) | TI | APL | PLI | SR (%) |
|---|---|---|---|---|---|
| DDPG | 26.88 | 48.28 | 7.68 | 13.80 | 55.67 |
| A*+DDPG | 34.76 | 88.38 | 9.45 | 24.03 | 39.33 |
| SLP+DDPG | 29.41 | 42.62 | 8.37 | 12.13 | 69 |
| Algorithm | AET (sec) | TI | APL | PLI | SR (%) |
|---|---|---|---|---|---|
| DDPG | 59.93 | 156.35 | 5.82 | 15.18 | 38.33 |
| A*+DDPG | 79.00 | 408.69 | 7.72 | 39.94 | 19.33 |
| SLP+DDPG | 58.25 | 144.43 | 5.69 | 14.11 | 40.33 |
Disclaimer/Publisher’s Note: The statements, opinions and data contained in all publications are solely those of the individual author(s) and contributor(s) and not of MDPI and/or the editor(s). MDPI and/or the editor(s) disclaim responsibility for any injury to people or property resulting from any ideas, methods, instructions or products referred to in the content. |
© 2023 by the authors. Licensee MDPI, Basel, Switzerland. This article is an open access article distributed under the terms and conditions of the Creative Commons Attribution (CC BY) license (https://creativecommons.org/licenses/by/4.0/).
Share and Cite
Chen, Y.; Liang, L. SLP-Improved DDPG Path-Planning Algorithm for Mobile Robot in Large-Scale Dynamic Environment. Sensors 2023, 23, 3521. https://doi.org/10.3390/s23073521
Chen Y, Liang L. SLP-Improved DDPG Path-Planning Algorithm for Mobile Robot in Large-Scale Dynamic Environment. Sensors. 2023; 23(7):3521. https://doi.org/10.3390/s23073521
Chicago/Turabian StyleChen, Yinliang, and Liang Liang. 2023. "SLP-Improved DDPG Path-Planning Algorithm for Mobile Robot in Large-Scale Dynamic Environment" Sensors 23, no. 7: 3521. https://doi.org/10.3390/s23073521
APA StyleChen, Y., & Liang, L. (2023). SLP-Improved DDPG Path-Planning Algorithm for Mobile Robot in Large-Scale Dynamic Environment. Sensors, 23(7), 3521. https://doi.org/10.3390/s23073521

