Performance Analysis of Wireless Communications with Nonlinear Energy Harvesting under Hardware Impairment and κ-μ Shadowed Fading
Abstract
1. Introduction
- Our work proposes WCwEH in Figure 1, wherein the power transmitter T employs an arbitrary quantity of antennas for ameliorating energy-harvesting efficiency, ultimately ameliorating communications reliability. To feature properly nonlinear circuit elements in energy harvesters, our work proposes the application of the extensively acknowledged NLEH paradigm in [18].
- To assess the reliability of the communication quickly, our work proposes the TP and the OP analyses for the recommended WCwEH under the consideration of EHNL, multi-antenna power transmitter, HWi, and divergent impairment degrees of shadowing, fading, and path loss in propagation conditions.
- Our work rate maximizes the reliability of communication in diverse realistic contexts. A plurality of results illustrates that EHNL, HWi, and propagation conditions drastically deteriorate system performance. Notwithstanding, EHNL influences the system performance more severely than HWi. In addition, the desired system performance is accomplished flexibly and possibly by choosing a cluster of specifications. Remarkably, the proposed transmission scheme obtains the optimal performance with the appropriate selection of the time-splitting factor.
2. Wireless Communications with Energy Harvesting
2.1. System Model
2.2. Channel Model
2.3. Signal Model
3. Performance Analysis of WCwEH
3.1. Exact Analysis
3.2. Asymptotic Analysis
3.3. Throughput
4. Extreme Scenarios
4.1. Hardware Perfection and Nonlinear Energy Harvesting (HWpNLEH)
4.2. Hardware Impairment and Linear Energy Harvesting (HWiLEH)
4.3. Hardware Perfection and Linear Energy Harvesting (HWpLEH)
4.4. Hardware Impairment and Nonlinear Energy Harvesting with (HWiNLEHw1)
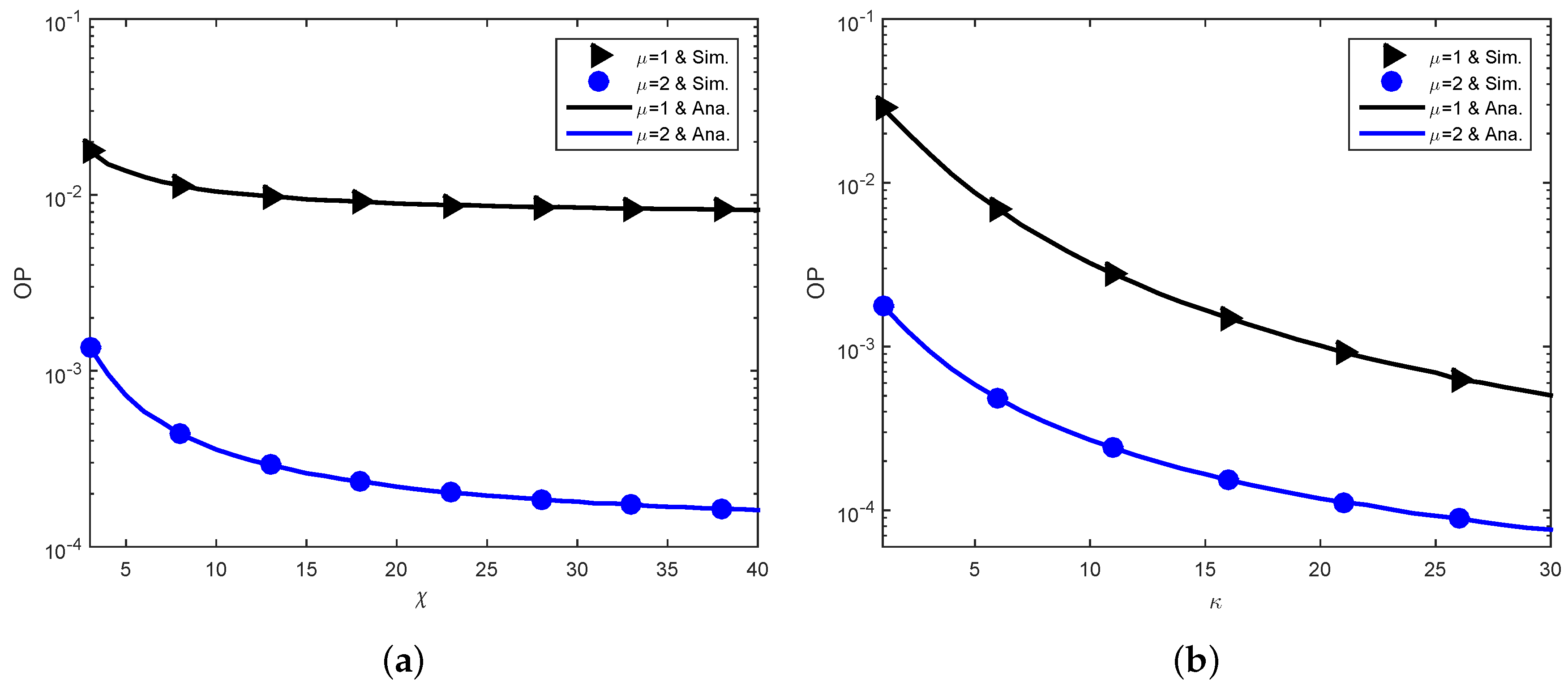
5. Illustrative Results
6. Conclusions
Author Contributions
Funding
Institutional Review Board Statement
Informed Consent Statement
Data Availability Statement
Conflicts of Interest
References
- Mori, S.; Mizutani, K.; Harada, H. Software-Defined Radio-Based 5G Physical Layer Experimental Platform for Highly Mobile Environments. IEEE Open J. Veh. Technol. 2023, 4, 230–240. [Google Scholar] [CrossRef]
- Tarrias, A.; Fortes, S.; Barco, R. Failure Management in 5G RAN: Challenges and Open Research Lines. IEEE Netw. 2023, 1–7. [Google Scholar] [CrossRef]
- Kim, W.; Ahn, Y.; Kim, J.; Shim, B. Towards Deep Learning-aided Wireless Channel Estimation and Channel State Information Feedback for 6G. J. Commun. Netw. 2023, 25, 61–75. [Google Scholar] [CrossRef]
- Pei, J.; Li, S.; Yu, Z.; Ho, L.; Liu, W.; Wang, L. Federated Learning Encounters 6G Wireless Communication in the Scenario of Internet of Things. IEEE Commun. Stand. Mag. 2023, 7, 94–100. [Google Scholar] [CrossRef]
- Halimi, M.A.; Khan, T.; Nasimuddin; Kishk, A.A.; Antar, Y.M.M. Rectifier Circuits for RF Energy Harvesting and Wireless Power Transfer Applications: A Comprehensive Review Based on Operating Conditions. IEEE Microwave Mag. 2023, 24, 46–61. [Google Scholar] [CrossRef]
- Derbal, M.C.; Nedil, M. High-Gain Circularly Polarized Antenna Array for Full Incident Angle Coverage in RF Energy Harvesting. IEEE Access 2023, 11, 28199–28207. [Google Scholar] [CrossRef]
- Eltresy, N.A.; Elhamid, A.E.M.A.; Elsheakh, D.M.; Elhennawy, H.M.; Abdallah, E.A. Silver Sandwiched ITO Based Transparent Antenna Array for RF Energy Harvesting in 5G Mid-Range of Frequencies. IEEE Access 2021, 9, 49476–49486. [Google Scholar] [CrossRef]
- Fakharian, M.M. RF Energy Harvesting using High Impedance Asymmetric Antenna Array without Impedance Matching Network. Radio Sci. 2021, 56, 1–10. [Google Scholar] [CrossRef]
- Wang, D.; Zhou, F.; Leung, V.C.M. Primary Privacy Preserving With Joint Wireless Power and Information Transfer for Cognitive Radio Networks. IEEE Trans. Cogn. Commun. Netw. 2020, 6, 683–693. [Google Scholar] [CrossRef]
- Ge, L.; Chen, G.; Zhang, Y.; Tang, J.; Wang, J.; Chambers, J.A. Performance Analysis for Multihop Cognitive Radio Networks With Energy Harvesting by Using Stochastic Geometry. IEEE Internet Things J. 2020, 7, 1154–1163. [Google Scholar] [CrossRef]
- Bouabdellah, M.; Bouanani, F.E.; Sofotasios, P.C.; Muhaidat, S.; Costa, D.B.D.; Mezher, K.; Ben-Azza, H.; Karagiannidis, G.K. Cooperative Energy Harvesting Cognitive Radio Networks With Spectrum Sharing and Security Constraints. IEEE Access 2019, 7, 173329–173343. [Google Scholar] [CrossRef]
- Pham-Thi-Dan, N.; Ho-Van, K.; Do-Dac, T.; Vo-Que, S.; Pham-Ngoc, S. Security Analysis for Cognitive Radio Network with Energy Scavenging Capable Relay over Nakagami-m Fading Channels. In Proceedings of the International Symposium on Electrical and Electronics Engineering (ISEE), Ho Chi Minh City, Vietnam, 10–12 October 2019; pp. 68–72. [Google Scholar]
- Wang, D.; Rezaei, F.; Tellambura, C. Performance Analysis and Resource Allocations for a WPCN With a New Nonlinear Energy Harvester Model. IEEE Open J. Commun. Soc. 2020, 1, 1403–1424. [Google Scholar] [CrossRef]
- Ni, L.; Da, X.; Hu, H.; Yuan, Y.; Zhu, Z.; Pan, Y. Outage-Constrained Secrecy Energy Efficiency Optimization for CRNs With Non-Linear Energy Harvesting. IEEE Access 2019, 7, 175213–175221. [Google Scholar] [CrossRef]
- Babaei, M.; Aygölü, Ü.; Başaran, M.; Durak-Ata, L. BER Performance of Full-Duplex Cognitive Radio Network With Nonlinear Energy Harvesting. IEEE Trans. Green Commun. Netw. 2020, 4, 448–460. [Google Scholar] [CrossRef]
- Wang, F.; Zhang, X. Secure Resource Allocation for Polarization-Based Non-Linear Energy Harvesting Over 5G Cooperative CRNs. IEEE Wirel. Commun. Lett. 2023. [Google Scholar] [CrossRef]
- Zhu, Z.; Wang, N.; Hao, W.; Wang, Z.; Lee, I. Robust Beamforming Designs in Secure MIMO SWIPT IoT Networks With a Nonlinear Channel Model. IEEE Internet Things J. 2021, 8, 1702–1715. [Google Scholar] [CrossRef]
- Solanki, S.; Upadhyay, P.K.; Costa, D.B.D.; Ding, H.; Moualeu, J.M. Performance Analysis of Piece-Wise Linear Model of Energy Harvesting-Based Multiuser Overlay Spectrum Sharing Networks. IEEE Open J. Comput. Soc. 2020, 1, 1820–1836. [Google Scholar] [CrossRef]
- Wang, D.; Men, S. Secure Energy Efficiency for NOMA Based Cognitive Radio Networks With Nonlinear Energy Harvesting. IEEE Access 2018, 6, 62707–62716. [Google Scholar] [CrossRef]
- Aubry, A.; Carotenuto, V.; Maio, A.D.; Farina, A.; Izzo, A.; Moriello, R.S.L. Assessing Power Amplifier Impairments and Digital Pre-Distortion on Radar Waveforms for Spectral Coexistence. IEEE Trans. Aerosp. Electron. Syst. 2022, 58, 635–650. [Google Scholar] [CrossRef]
- Balti, E.; Johnson, B.K. On The Joint Effects of HPA Nonlinearities and IQ Imbalance On Mixed RF/FSO Cooperative Systems. IEEE Trans. Commun. 2021, 69, 7879–7894. [Google Scholar] [CrossRef]
- Papazafeiropoulos, A.; Bjornson, E.; Kourtessis, P.; Chatzinotas, S.; Senior, J.M. Scalable Cell-Free Massive MIMO Systems: Impact of Hardware Impairments. IEEE Trans. Veh. Technol. 2021, 70, 9701–9715. [Google Scholar] [CrossRef]
- Li, X.; Li, J.; Li, L. Performance Analysis of Impaired SWIPT NOMA Relaying Networks Over Imperfect Weibull Channels. IEEE Syst. J. 2020, 14, 669–672. [Google Scholar] [CrossRef]
- Lopez-Martinez, F.J.; Paris, J.F.; Romero-Jerez, J.M. The κ-μ Shadowed Fading Model With Integer Fading Parameters. IEEE Trans. Veh. Technol. 2017, 66, 7653–7662. [Google Scholar] [CrossRef]
- Singh, I.; Singh, N.P. Outage Probability and Ergodic Channel Capacity of Underlay Device-to-Device Communications over κ-μ Shadowed Fading Channels. Wirel. Netw. 2020, 26, 573–582. [Google Scholar] [CrossRef]
- Khalid, W.; Yu, H.; Cho, J.; Kaleem, Z.; Ahmad, S. Rate-Energy Tradeoff Analysis in RIS-SWIPT Systems With Hardware Impairments and Phase-Based Amplitude Response. IEEE Access 2022, 10, 31821–31835. [Google Scholar] [CrossRef]
- Boshkovska, E.; Ng, D.W.K.; Dai, L.; Schober, R. Power-Efficient and Secure WPCNs With Hardware Impairments and Non-Linear EH Circuit. IEEE Trans. Commun. 2018, 66, 2642–2657. [Google Scholar] [CrossRef]
- Shome, A.; Dutta, A.K.; Chakrabarti, S. Throughput Assessment of Non-Linear Energy Harvesting Secondary IoT Network With Hardware Impairments and Randomly Located Licensed Users in Nakagami-m Fading. IEEE Trans. Veh. Technol. 2021, 70, 7283–7288. [Google Scholar] [CrossRef]
- Le-Thanh, T.; Ho-Van, K. Effect of Hardware Imperfections and Energy Scavenging Non-Linearity on Overlay Networks in κ-μ Shadowed Fading. Arab. J. Sci. Eng. 2022, 47, 14601–14616. [Google Scholar] [CrossRef]
- Gradshteyn, I.S.; Ryzhik, I.M. Table of Integrals, Series and Products, 6th ed.; Academic: San Diego, CA, USA, 2000. [Google Scholar]
- Abramowitz, M.; Stegun, I.A. Handbook of Mathematical Functions with Formulas, Graphs, and Mathematical Tables, 10th ed.; Government Printing Office: Washington, DC, USA, 1972.
- Simon, M.K.; Alouini, M.S. Digital Communication over Fading Channels, 2nd ed.; John Wiley & Sons, Inc.: Hoboken, NJ, USA, 2005. [Google Scholar]
- Sesia, S.; Toufik, I.; Baker, M. LTE—The UMTS Long Term Evolution: From Theory to Practice, 2nd ed.; Wiley: New York, NY, USA, 2011. [Google Scholar]






| Notation | Interpretation | 
|---|---|
| complex Gaussian random variable with mean 0 and variance c | |
| Incomplete upper Gamma function | |
| Binomial coefficient | |
| complementary cumulative distribution function (CCDF) of N | |
| Moment Generating Function (MGF) of N | |
| cumulative distribution function (CDF) of N | |
| Probability operator | |
| Expectation operator | |
| Complete Gamma function | |
| Modified Bessel function [30] | |
| probability density function (PDF) of N | 
| Parameter | Value | 
|---|---|
| Location of T | m | 
| Location of S | m | 
| Location of D | m | 
| Noise power | dBm | 
| Path loss exponent | |
| Fading power at the reference distance of 1 m | |
| Shadowed fading parameters | (3, 4, 2) | 
| HWi | |
| Power saturation threshold | dBm | 
| Energy conversion efficiency | |
| Time-splitting factor | |
| Transmit power of each antenna of T | dBW | 
| Target transmission rate | bps/Hz | 
| Quantity of antennas at T | 
| Disclaimer/Publisher’s Note: The statements, opinions and data contained in all publications are solely those of the individual author(s) and contributor(s) and not of MDPI and/or the editor(s). MDPI and/or the editor(s) disclaim responsibility for any injury to people or property resulting from any ideas, methods, instructions or products referred to in the content. | 
© 2023 by the authors. Licensee MDPI, Basel, Switzerland. This article is an open access article distributed under the terms and conditions of the Creative Commons Attribution (CC BY) license (https://creativecommons.org/licenses/by/4.0/).
Share and Cite
Le-Thanh, T.; Ho-Van, K. Performance Analysis of Wireless Communications with Nonlinear Energy Harvesting under Hardware Impairment and κ-μ Shadowed Fading. Sensors 2023, 23, 3619. https://doi.org/10.3390/s23073619
Le-Thanh T, Ho-Van K. Performance Analysis of Wireless Communications with Nonlinear Energy Harvesting under Hardware Impairment and κ-μ Shadowed Fading. Sensors. 2023; 23(7):3619. https://doi.org/10.3390/s23073619
Chicago/Turabian StyleLe-Thanh, Toi, and Khuong Ho-Van. 2023. "Performance Analysis of Wireless Communications with Nonlinear Energy Harvesting under Hardware Impairment and κ-μ Shadowed Fading" Sensors 23, no. 7: 3619. https://doi.org/10.3390/s23073619
APA StyleLe-Thanh, T., & Ho-Van, K. (2023). Performance Analysis of Wireless Communications with Nonlinear Energy Harvesting under Hardware Impairment and κ-μ Shadowed Fading. Sensors, 23(7), 3619. https://doi.org/10.3390/s23073619
 
        




 
       