Multifunction Applications of Filtering Dielectric Resonator Antenna Based on Liquid Crystal
Abstract
:1. Introduction
2. Multifunctional Device Design
2.1. Configuration of the HBF
2.2. Configuration with FDRA
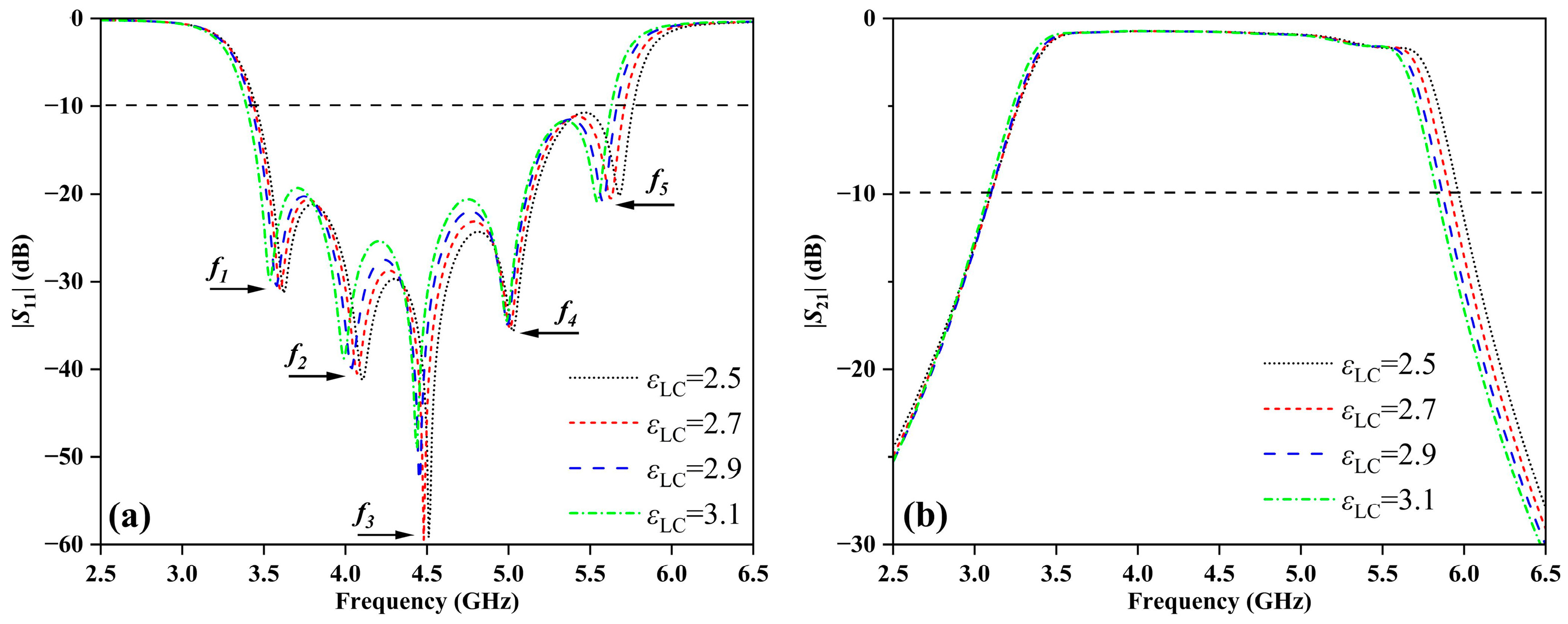
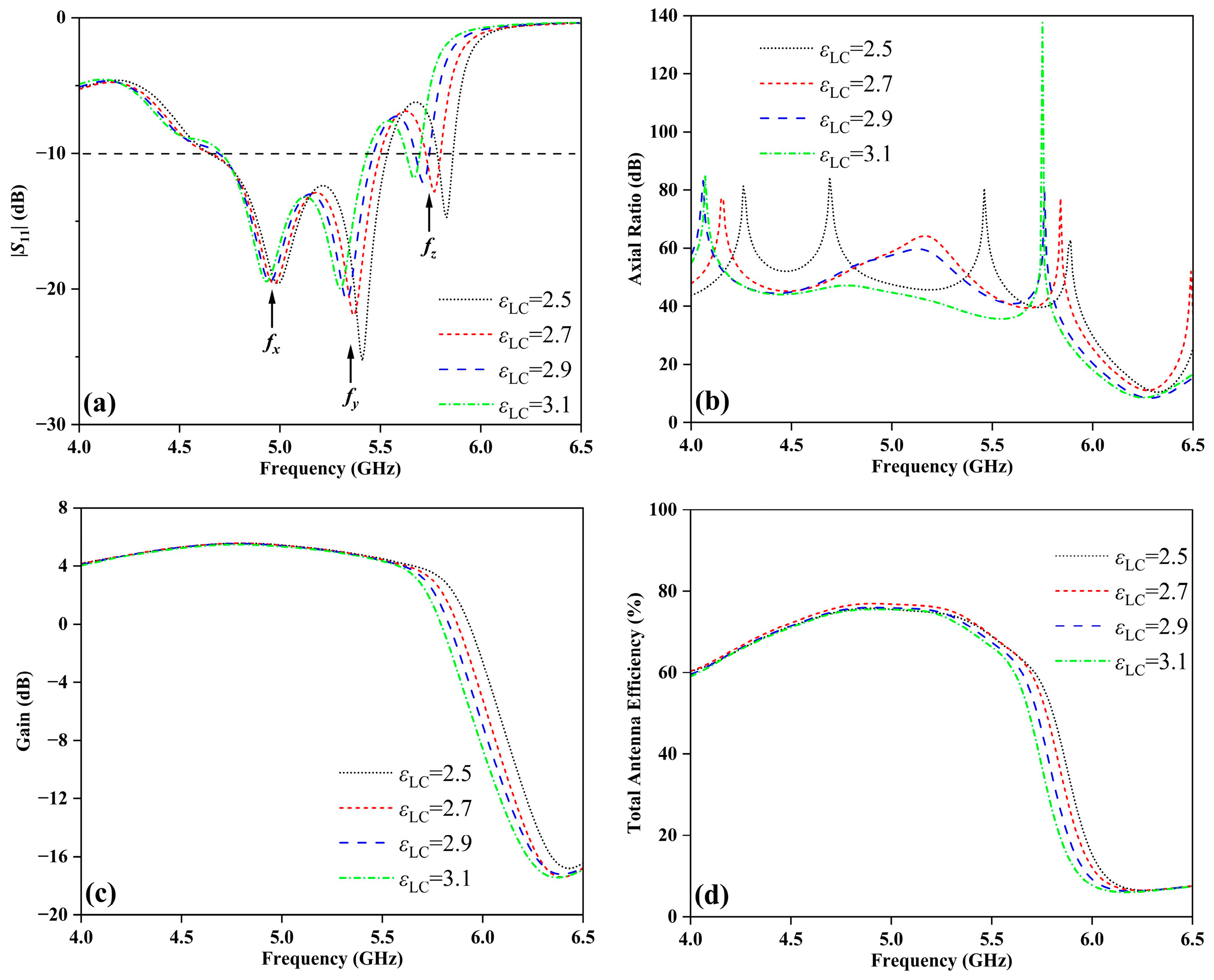
2.3. Results and Discussion
3. Conclusions
Author Contributions
Funding
Institutional Review Board Statement
Informed Consent Statement
Data Availability Statement
Conflicts of Interest
References
- Dincer, C.; Bruch, R.; Costa-Rama, E.; Fernandez-Abedu, M.T.; Merkoci, A.; Manz, A.; Urban, G.A.; Guder, F. Disposable sensors in diagnostics, food, and environmental monitoring. Adv. Mater. 2019, 31, 1806739. [Google Scholar] [CrossRef] [PubMed]
- Wang, C.E.; Ying, J.; Mou, H.C.; Tian, A.-X.; Wang, X.-L. Multi-functional photoelectric sensors based on a series of isopolymolybdate-based compounds for detecting different ions. Inorg. Chem. Front. 2020, 7, 3882–3894. [Google Scholar] [CrossRef]
- Zang, Y.; Zhang, F.; Di, C.A.; Zhu, D. Advances of flexible pressure sensors toward artificial intelligence and health care applications. Mater. Horiz. 2015, 2, 140–156. [Google Scholar] [CrossRef]
- Bächlin, M.; Tröster, G. Swimming performance and technique evaluation with wearable acceleration sensors. Pervasive Mob. Comput. 2012, 8, 68–81. [Google Scholar] [CrossRef]
- Wei, Y.; Li, X.; Wang, Y.; Hirtz, T.; Guo, Z.; Qiao, Y.; Cui, T.; Tian, H.; Yang, Y.; Ren, T.-L. Graphene-based multifunctional textile for sensing and actuating. ACS Nano. 2021, 15, 17738–17747. [Google Scholar] [CrossRef] [PubMed]
- Wei, Y.; Qian, Y.; Zhu, P.; Xiang, L.; Lei, C.; Qiu, G.; Wang, C.; Liu, Y.; Liu, Y.; Chen, G. Nanocellulose-templated carbon nanotube enhanced conductive organohydrogel for highly-sensitive strain and temperature sensors. Cellulose 2022, 29, 3829–3844. [Google Scholar] [CrossRef]
- Zhang, J.; Liu, X.; Neri, G.; Pinna, N. Nanostructured materials for room-temperature gas sensors. Adv. Mater. 2016, 28, 795–831. [Google Scholar] [CrossRef]
- Feteira, A. Negative temperature coefficient resistance (NTCR) ceramic thermistors: An industrial perspective. J. Am. Ceram. Soc. 2009, 92, 967–983. [Google Scholar] [CrossRef]
- Turkani, V.S.; Maddipatla, D.; Narakathu, B.B.; Bazuin, B.J.; Atashbar, M.Z. A carbon nanotube based NTC thermistor using additive print manufacturing processes. Sens. Actuators A Phys. 2018, 279, 1–9. [Google Scholar] [CrossRef]
- Pert, E.; Carmel, Y.; Birnboim, A.; Olorunyolemi, T.; Gershon, D.; Calame, J.; Wilson, O.C. Temperature measurements during microwave processing: The significance of thermocouple effects. J. Am. Ceram. Soc. 2001, 84, 1981–1986. [Google Scholar] [CrossRef]
- El-Ali, J.; Perch-Nielsen, I.R.; Poulsen, C.; Bang, D.; Telleman, P.; Wolff, A. Simulation and experimental validation of a SU-8 based PCR thermocycler chip with integrated heaters and temperature sensor. Sens. Actuators A Phys. 2004, 110, 3–10. [Google Scholar] [CrossRef]
- Rajan, G.; Morgan, J.J.; Murphy, C.; Alonso, E.T.; Wade, J.; Ott, A.K.; Russo, S.; Alves, H.; Craciun, M.F.; Neves, A.I.S. Low operating voltage carbon-graphene hybrid E-textile for temperature sensing. ACS Appl. Mater. Interfaces 2020, 12, 29861–29867. [Google Scholar] [CrossRef] [PubMed]
- Roy, R.K.; Chowdhury, M.P.; Pal, A.K. Room temperature sensor based on carbon nanotubes and nanofibres for methane detection. Vacuum 2005, 77, 223–229. [Google Scholar] [CrossRef]
- Ziobro, D.; Kula, P.; Dziaduszek, J.; Filipowicz, M.; Dąbrowski, R.; Parka, J.; Wu, S.T. Mesomorphic and dielectric properties of esters useful for formulation of nematic mixtures for dual frequency addressing system. Opto-Electron Rev. 2009, 17, 16–19. [Google Scholar] [CrossRef]
- Somerton, C. Measurement of phase transition temperatures in liquid crystals using the temperature-dependent dielectric constant. Mol. Cryst. Liq. Cryst. 1988, 154, 77–87. [Google Scholar] [CrossRef]
- Elsheakh, D.N.; Mohamed, R.A.; Fahmy, O.M.; Ezzat, K.; Eldamak, A.R. Complete breast cancer detection and monitoring system by using microwave textile based antenna sensors. Biosensors 2023, 13, 87. [Google Scholar] [CrossRef] [PubMed]
- Iqbal, A.; Al-Hasan, M.; Mabrouk, I.B. Deep-implanted MIMO antenna sensor for implantable medical devices. IEEE Sens. J. 2023, 23, 2105–2112. [Google Scholar] [CrossRef]
- Haq, T.; Koziel, S. Inverse modeling and optimization of CSRR-based microwave sensors for industrial applications. IEEE Trans. Microw. Theory Tech. 2022, 70, 4796–4804. [Google Scholar] [CrossRef]
- Saha, S.; Cano-Garcia, H.; Sotiriou, I.; Lipscombe, O.; Gouzouasis, I.; Koutsoupidou, M.; Palikaras, G.; Mackenzie, R.; Reeve, T.; Kosmas, P.; et al. A glucose sensing system based on transmission measurements at millimetre waves using micro strip patch antennas. Sci. Rep. 2017, 7, 6855. [Google Scholar] [CrossRef]
- Wang, Y.; Leng, X.; Zhao, C.; Wang, F. Tunable humidity-sensing performance of graphene oxide with leaf-vein-like multiwall carbon nanotube conductive networks. IEEE Sens. J. 2021, 21, 18469–18476. [Google Scholar] [CrossRef]
- Islam, M.T.; Ashraf, F.B.; Alam, T.; Misran, N.; Mat, K.B. A compact ultrawideband antenna based on hexagonal split-ring resonator for pH sensor application. Sensors 2018, 18, 2959. [Google Scholar] [CrossRef] [PubMed]
- Miwa, T.; Sato, M.; Niitsuma, H. Subsurface fracture measurement with polarimetric borehole radar. IEEE Trans. Geosci. Remote Sens. 1999, 37, 828–837. [Google Scholar]
- Tchafa, F.M.; Huang, H. Microstrip patch antenna for simultaneous strain and temperature sensing. Smart Mater. Struct. 2018, 27, 065019. [Google Scholar] [CrossRef]
- Azaro, R.; De Natale, F.G.; Donelli, M.; Massa, A.; Zeni, E. Optimized design of a multifunction/multiband antenna for automotive rescue systems. IEEE Trans. Antennas Propag. 2006, 54, 392–400. [Google Scholar] [CrossRef]
- Sanders, J.W.; Yao, J.; Huang, H. Microstrip patch antenna temperature sensor. IEEE Sens. J. 2015, 15, 5312–5319. [Google Scholar] [CrossRef]
- Oliveira, L.N.L.; Campos, R.V.B.; Gouveia, D.X.; Silva, M.A.S.; Sombra, A.S.B. Microwave dielectric properties study of (Al2O3)-(Nb2O5) composite for dielectric resonator antenna applications. Microw. Opt. Technol. Lett. 2016, 58, 1473–1479. [Google Scholar] [CrossRef]
- Varshney, G.; Pandey, V.S.; Yaduvanshi, R.S. Axial ratio bandwidth enhancement of a circularly polarized rectangular dielectric resonator antenna. Int. J. Microw. Wirel. Technol. 2018, 10, 984–990. [Google Scholar] [CrossRef]
- Chowdhury, R.; Chaudhary, R.K. Investigation on different forms of circular sectored-dielectric resonator antenna for improvement in circular polarization performance. IEEE Trans. Antennas Propag. 2018, 66, 5596–5601. [Google Scholar] [CrossRef]
- Bogdanov, A.A.; Koshelev, K.L.; Kapitanova, P.V.; Rybin, M.V.; Gladyshev, S.A.; Sadrieva, Z.F.; Limonov, M.F. Bound states in the continuum and Fano resonances in the strong mode coupling regime. Adv. Photonics 2019, 1, 016001. [Google Scholar] [CrossRef]
- Chen, Y.; He, J.; Zhao, L.; Zhang, Y.; Zhang, L.; Ba, Q.; Liu, S. Nonreciprocal Fano resonance enhanced unidirectional scattering by subwavelength magnetic meta-atoms. Results Phys. 2023, 52, 106905. [Google Scholar] [CrossRef]
- Tan, Q.; Wei, T.; Chen, X.; Luo, T.; Wu, G.; Li, C.; Xiong, J. Antenna-resonator integrated wireless passive temperature sensor based on low-temperature co-fired ceramic for harsh environment. Sens. Actuators A Phys. 2015, 236, 299–308. [Google Scholar] [CrossRef]
- Zhang, J.J.; Ma, K.; Wang, Y.; Wang, K. An FR4-based K-band 1.0-dB noise figure LNA using SISL technology. IEEE Microw. Wirel. Compon. Lett. 2021, 32, 129–132. [Google Scholar] [CrossRef]
- Lapanik, A.; Gölden, F.; Müller, S.; Jakoby, R.; Haase, W. Highly birefringent nematic mixtures at room temperature for microwave applications. Opt. Eng. 2011, 50, 081208. [Google Scholar]
- Zeng, L.; Zhang, H.F. Absorption Improvement of the Anapole Metastructure for Sensing Applications. IEEE Sens. J. 2022, 22, 11644–11652. [Google Scholar] [CrossRef]
- Ji, Z.; Wang, K.X.; Wong, H. Broadband circularly polarized dielectric rod antenna for millimeter-wave communications. In Proceedings of the 2018 International Symposium on Antennas and Propagation, Location of Conference, Busan, Republic of Korea, 23–26 October 2018. [Google Scholar]
- Ye, H.; Wan, B.; Dong, H.; Zhang, H. The implementation of dual-band electromagnetically induced transparency metastructure based on micro-strip line structure and Calcium-magnesium-titanium ceramic. Ceram. Int. 2023, 49, 29755–29767. [Google Scholar] [CrossRef]
- Petosa, A. Dielectric Resonator Antenna Handbook; Artech House: Norwood, MA, USA, 2007. [Google Scholar]
- Yang, N.; Leung, K.W.; Wu, N. Pattern-diversity cylindrical dielectric resonator antenna using fundamental modes of different mode families. IEEE Trans. Antennas Propag. 2019, 67, 6778–6788. [Google Scholar] [CrossRef]
- La, D.S.; Zhang, C.; Zhang, Y.J.; Jiang, T.X.; Qu, M.J.; Guo, J.W. A Wideband Filtering Dielectric Resonator Antenna Based on the HEM 11δ Mode. IEEE Antennas Wirel. Propag. Lett. 2022, 21, 1552–1556. [Google Scholar] [CrossRef]
- Sahoo, A.K.; Gupta, R.D.; Parihar, M.S. Circularly polarised filtering dielectric resonator antenna for X-band applications. IET Microw. Antennas Propag. 2018, 12, 1514–1518. [Google Scholar] [CrossRef]
- Liu, Y.T.; Leung, K.W.; Ren, J.; Sun, Y.X. Linearly and circularly polarized filtering dielectric resonator antennas. IEEE Trans. Antennas Propag. 2019, 67, 3629–3640. [Google Scholar] [CrossRef]
- Liu, Y.T.; Leung, K.W. 28 GHz substrate-integrated filtering dielectric resonator antenna array. IEEE Trans. Antennas Propag. 2022, 70, 9900–9905. [Google Scholar] [CrossRef]
- Kubina, B.; Schüßler, M.; Mandel, C.; Mehmood, A.; Jakoby, R. Wireless high-temperature sensing with a chipless tag based on a dielectric resonator antenna. In Proceedings of the 2013 IEEE SENSORS, Baltimore, MD, USA, 3–6 November 2013. [Google Scholar]
- Yao, J.; Tchafa, F.M.; Jain, A.; Tjuatja, S.; Huang, H. Far-field interrogation of microstrip patch antenna for temperature sensing without electronics. IEEE Sens. J. 2016, 16, 7053–7060. [Google Scholar] [CrossRef]
- Suseela, S.; Orekan, T.; Roy, S.; McConkey, J.; Soto, R. Real Time Monitoring of Helicopter Turbine Blade Temperature Using Passive Wireless Sensor. In Proceedings of the 2023 IEEE Wireless and Microwave Technology Conference, Melbourne, FL, USA, 17–18 April 2023. [Google Scholar]











| l1 | l2 | l3 | la | lb | lc | s1 | s2 |
| 20 mm | 17.28 mm | 2 mm | 2.94 mm | 8.66 mm | 6.74 mm | 0.08 mm | 0.09 mm |
| h1 | h2 | h3 | h4 | w0 | w1 | w2 | w3 |
| 0.8 mm | 0.8 mm | 0.1 mm | 0.2 mm | 0.95 mm | 0.56 mm | 0.19 mm | 0.14 mm |
| εr | 9.5 |
| Density (g/cm3) | 3.9 |
| Flexural strength (Mpa) | 340 |
| Compressive strength (Mpa) | 3600 |
| Dielectric strength (KV/mm) | 25 |
| Thermal conductivity (W/m·K) | 27 |
| Modulus of elasticity (Gpa) | 380 |
| Highest application temperature (°C) | 1750 |
| RDR | H | Lm | Ln |
|---|---|---|---|
| 9 mm | 8 mm | 8.72 mm | 25 mm |
| Lx | Ly | Lslot | Wsolt |
| 40 mm | 40 mm | 14 mm | 1 mm |
| Refs. | εr | Size | |S11| | Peak Gain (dBi) | Extra Filtering Circuit | Element Number | Polarization |
|---|---|---|---|---|---|---|---|
| [39] | 9 | 0.64 × 0.64 × 0.24λc3 | 22.07% | 6.6 | Yes | 1 | LP |
| [40] | 10.2 | 0.307 × 0.266 × 0.092λc3 | 6.13% | 5.33 | Yes | 1 | LHCP |
| [41] | 10 | 0.46 × 0.46 × 0.158λc3 | 4.5% | 5.1 | No | 1 | RHCP |
| [42] | 10 | 1.93 × 1.93 × 0.14λc3 | 6.9% | 6.7 | No | 2 × 2 | LP |
| Proposed | 9.5 | 0.7 × 0.7 × 0.18λc3 | 17.5% and 1.4% | 5.57 | Yes | 1 | LP |
Disclaimer/Publisher’s Note: The statements, opinions and data contained in all publications are solely those of the individual author(s) and contributor(s) and not of MDPI and/or the editor(s). MDPI and/or the editor(s) disclaim responsibility for any injury to people or property resulting from any ideas, methods, instructions or products referred to in the content. |
© 2023 by the authors. Licensee MDPI, Basel, Switzerland. This article is an open access article distributed under the terms and conditions of the Creative Commons Attribution (CC BY) license (https://creativecommons.org/licenses/by/4.0/).
Share and Cite
Xia, K.; Zhang, L.; Zhang, H. Multifunction Applications of Filtering Dielectric Resonator Antenna Based on Liquid Crystal. Sensors 2024, 24, 115. https://doi.org/10.3390/s24010115
Xia K, Zhang L, Zhang H. Multifunction Applications of Filtering Dielectric Resonator Antenna Based on Liquid Crystal. Sensors. 2024; 24(1):115. https://doi.org/10.3390/s24010115
Chicago/Turabian StyleXia, Ke, Lei Zhang, and Haifeng Zhang. 2024. "Multifunction Applications of Filtering Dielectric Resonator Antenna Based on Liquid Crystal" Sensors 24, no. 1: 115. https://doi.org/10.3390/s24010115
APA StyleXia, K., Zhang, L., & Zhang, H. (2024). Multifunction Applications of Filtering Dielectric Resonator Antenna Based on Liquid Crystal. Sensors, 24(1), 115. https://doi.org/10.3390/s24010115

