The Role of Zn Ions in the Structural, Surface, and Gas-Sensing Properties of SnO2:Zn Nanocrystals Synthesized via a Microwave-Assisted Route
Abstract
:1. Introduction
2. Experimental
2.1. Reagents
2.2. Synthesis Procedure
2.3. Characterization Techniques
2.4. Gas-Sensing Experiments
3. Results and Discussion
3.1. Characterization of Zn-Doped SnO2 Nanocrystals
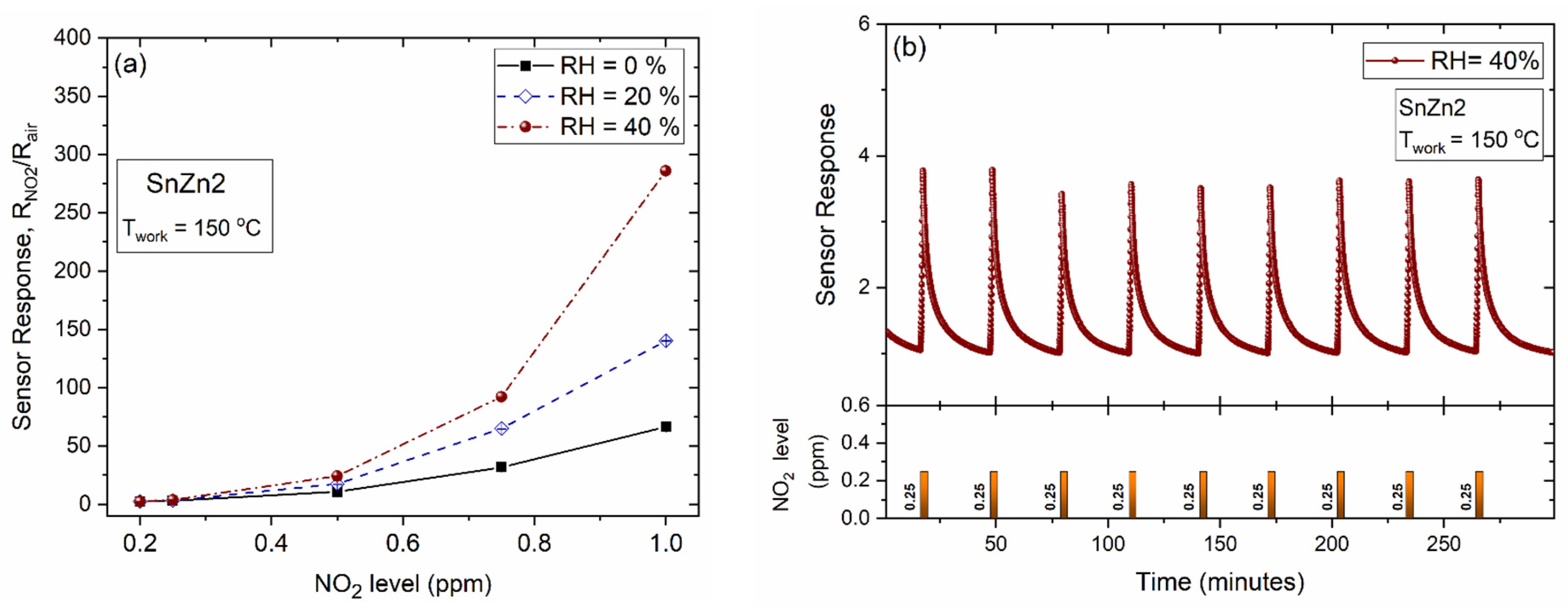
3.2. Gas-Sensing Measurements
4. Conclusions
Supplementary Materials
Author Contributions
Funding
Informed Consent Statement
Data Availability Statement
Acknowledgments
Conflicts of Interest
References
- Zhou, X.; Lee, S.; Xu, Z.; Yoon, J. Recent Progress on the Development of Chemosensors for Gases. Chem. Rev. 2015, 115, 7944–8000. [Google Scholar] [CrossRef] [PubMed]
- Kampa, M.; Castanas, E. Human health effects of air pollution. Environ. Pollut. 2008, 151, 362–367. [Google Scholar] [CrossRef] [PubMed]
- Dos Santos-Alves, J.S.G.; Patier, R.F. The environmental control of atmospheric pollution. The framework directive and its development. The new European approach. Sens. Actuators B Chem. 1999, 59, 69–74. [Google Scholar] [CrossRef]
- Lin, S.-Y.; Ju, S.-W.; Lin, C.L.; Hsu, W.-H.; Lin, C.-C.; Ting, I.-W.; Kao, C.-H. Air pollutants and subsequent risk of chronic kidney disease and end-stage renal disease: A population-based cohort study. Environ. Pollut. 2020, 261, 114154. [Google Scholar] [CrossRef] [PubMed]
- Yang, I.A.; Holz, O.; Jörres, R.A.; Magnussen, H.; Barton, S.J.; Rodríguez, S.; Cakebread, J.A.; Holloway, J.W.; Holgate, S.T. Association of Tumor Necrosis Factor-α Polymorphisms and Ozone-induced Change in Lung Function. Am. J. Respir. Crit. Care Med. 2005, 171, 171–176. [Google Scholar] [CrossRef] [PubMed]
- Adamiec, E.; Jarosz-Krzemińska, E.; Bilkiewicz-Kubarek, A. Adverse health and environmental outcomes of cycling in heavily polluted urban environments. Sci. Rep. 2022, 12, 148. [Google Scholar] [CrossRef] [PubMed]
- WHO/Health Topics/Air Pollution. Available online: https://www.who.int/health-topics/air-pollution#tab=tab_1 (accessed on 28 February 2020).
- United States Environmental Protection Agency. Available online: https://www.epa.gov/no2-pollution/primary-national-ambient-air-quality-standards-naaqs-nitrogen-dioxide (accessed on 2 July 2022).
- Abe, C.K.; Miraglia, G.S. Health Impact Assessment of Air Pollution in São Paulo, Brazil. Int. J. Environ. Res. Public Health 2016, 13, 694. [Google Scholar] [CrossRef]
- Shendage, S.S.; Patil, V.L.; Vanalakar, S.A.; Patil, S.P.; Harale, N.S.; Bhosale, J.L.; Kim, J.H.; Patil, P.S. Sensitive and selective NO2 gas sensor based on WO3 nanoplates. Sens. Actuators B Chem. 2017, 240, 426–433. [Google Scholar] [CrossRef]
- Casals, O.; Markiewicz, N.; Fabrega, C.; Gràcia, I.; Cané, C.; Wasisto, H.S.; Waag, A.; Prades, J.D. A Parts Per Billion (ppb) Sensor for NO2 with Microwatt (μW) Power Requirements Based on Micro Light Plates. ACS Sens. 2019, 4, 822–826. [Google Scholar] [CrossRef]
- Khomenko, S.; Pisoni, E.; Thunis, P.; Bessagnet, B.; Cirach, M.; Iungman, T.; Barboza, E.P.; Khreis, H.; Mueller, N.; Tonne, C.; et al. Spatial and sector-specific contributions of emissions to ambient air pollution and mortality in European cities: A health impact assessment. Lancet Public Health 2023, 8, 546–548. [Google Scholar] [CrossRef]
- Li, Q.; Zeng, W.; Li, Y. Metal oxide gas sensors for detecting NO2 in industrial exhaust gas: Recent developments. Sens. Actuators B Chem. 2022, 359, 131579. [Google Scholar] [CrossRef]
- Zhang, F.; Lin, Q.; Han, F.; Wang, Z.; Tian, B.; Zhao, L.; Dong, T.; Jiang, Z. A flexible and wearable NO2 gas detection and early warning device based on a spraying process and an interdigital electrode at room temperature. Microsyst. Nanoeng. 2022, 8, 40. [Google Scholar] [CrossRef]
- Vallejos, S.; Stoycheva, T.; Umek, P.; Navio, C.; Snyders, R.; Bittencourt, C.; Llobet, E.; Blackman, C.; Moniz, S.; Correig, X. Au nanoparticle-functionalised WO3 nanoneedles and their application in high sensitivity gas sensor devices. Chem. Commun. 2011, 47, 565–567. [Google Scholar] [CrossRef] [PubMed]
- Miller, D.R.; Akbar, S.A.; Morris, P.A. Nanoscale metal oxide-based heterojunctions for gas sensing: A review. Sens. Actuators B Chem. 2014, 204, 250–272. [Google Scholar] [CrossRef]
- Catto, A.C.; da Silva, L.F.; Bernardi, M.I.B.; Bernardini, S.; Aguir, K.; Longo, E.; Mastelaro, V.R. Local Structure and Surface Properties of CoxZn1–xO Thin Films for Ozone Gas Sensing. ACS Appl. Mater. Interfaces 2016, 8, 26066–26072. [Google Scholar] [CrossRef] [PubMed]
- Gurlo, A. Nanosensors: Does Crystal Shape Matter? Small 2010, 6, 2077–2079. [Google Scholar] [CrossRef] [PubMed]
- Naresh, B.; Krishna, K.G.; D, R.; Kuchi, C.; Kummara, S.K.; Reddy, P.S. Synthesis and characterization of rGO wrapped 1-D NiO nanofibers for ammonia gas sensing application. Surf. Interfaces 2023, 40, 103012. [Google Scholar] [CrossRef]
- Korotcenkov, G.; Cho, B.K. Spray pyrolysis deposition of undoped SnO2 and In2O3 films and their structural properties. Prog. Cryst. Growth Charact. Mater. 2017, 63, 1–47. [Google Scholar] [CrossRef]
- Annanouch, F.E.; Haddi, Z.; Ling, M.; Di Maggio, F.; Vallejos, S.; Vilic, T.; Zhu, Y.; Shujah, T.; Umek, P.; Bittencourt, C.; et al. Aerosol-Assisted CVD-Grown PdO Nanoparticle-Decorated Tungsten Oxide Nanoneedles Extremely Sensitive and Selective to Hydrogen. ACS Appl. Mater. Interfaces 2016, 8, 10413–10421. [Google Scholar] [CrossRef]
- Li, X.; Lu, D.; Shao, C.; Lu, G.; Li, X.; Liu, Y. Hollow CuFe2O4/α-Fe2O3 composite with ultrathin porous shell for acetone detection at ppb levels. Sens. Actuators B Chem. 2018, 258, 436–446. [Google Scholar] [CrossRef]
- Kucharski, S.; Ferrer, P.; Venturini, F.; Held, G.; Walton, A.S.; Byrne, C.; Covington, J.A.; Ayyala, S.K.; Beale, A.M.; Blackman, C. Direct in situ spectroscopic evidence of the crucial role played by surface oxygen vacancies in the O2-sensing mechanism of SnO2. Chem. Sci. 2022, 13, 6089–6097. [Google Scholar] [CrossRef]
- Wu, W.; Liao, L.; Zhang, S.; Zhou, J.; Xiao, X.; Ren, F.; Sun, L.; Dai, Z.; Jiang, C. Non-centrosymmetric Au–SnO2 hybrid nanostructures with strong localization of plasmonic for enhanced photocatalysis application. Nanoscale 2013, 5, 5628–5636. [Google Scholar] [CrossRef] [PubMed]
- Zahmatkeshani, F.; Tohidi, M. Synthesis of SnO2, Zn-doped SnO2 and Zn2SnO4 nanostructure-based hierarchical architectures by using deep eutectic precursors and their photocatalytic application. CrystEngComm 2019, 21, 6758–6771. [Google Scholar] [CrossRef]
- Periyasamy, M.; Kar, A. Modulating the properties of SnO2 nanocrystals: Morphological effects on structural, photoluminescence, photocatalytic, electrochemical and gas sensing properties. J. Mater. Chem. C 2020, 8, 4604–4635. [Google Scholar] [CrossRef]
- Mishra, S.R.; Ahmaruzzaman, M. Tin oxide based nanostructured materials: Synthesis and potential applications. Nanoscale 2022, 14, 1566–1605. [Google Scholar] [CrossRef] [PubMed]
- da Silva, G.T.S.T.; Lopes, O.F.; Catto, A.C.; Patrocinio, A.O.T.; Rodrigues, J.E.F.S.; Mesquita, A.; Ribeiro, C.; Avansi Jr, W.; da Silva, L.F. Long-and short-range structure of SnO2 nanoparticles: Synthesis and photo(electro)catalytic activity. Mater. Chem. Phys. 2023, 127989. [Google Scholar] [CrossRef]
- Zhang, S.; Jia, X.; Geng, Q.; He, Z.; Hu, Y.; Gao, Y.; Yang, S.; Yao, C.; Zhang, Q.; Wang, D.; et al. Solvent engineering of SnO2 electron transport layer for high-performance perovskite solar cells. Surf. Interfaces 2023, 41, 103226. [Google Scholar] [CrossRef]
- Vallejos, S.; Selina, S.; Annanouch, F.E.; Gràcia, I.; Llobet, E.; Blackman, C. Aerosol assisted chemical vapour deposition of gas sensitive SnO2 and Au-functionalised SnO2 nanorods via a non-catalysed vapour solid (VS) mechanism. Sci. Reports 2016, 6, 28464. [Google Scholar] [CrossRef]
- Mudra, E.; Shepa, I.; Milkovic, O.; Dankova, Z.; Kovalcikova, A.; Annušová, A.; Majkova, E.; Dusza, J. Effect of iron doping on the properties of SnO2 nano/microfibers. Appl. Surf. Sci. 2019, 480, 876–881. [Google Scholar] [CrossRef]
- Kou, X.; Wang, C.; Ding, M.; Feng, C.; Li, X.; Ma, J.; Zhang, H.; Sun, Y.; Lu, G. Synthesis of Co-doped SnO2 nanofibers and their enhanced gas-sensing properties. Sens. Actuators B Chem. 2016, 236, 425–432. [Google Scholar] [CrossRef]
- Babaie, A.; Rezaei, M.; Sofla, R.L.M. Investigation of the effects of polycaprolactone molecular weight and graphene content on crystallinity, mechanical properties and shape memory behavior of polyurethane/graphene nanocomposites. J. Mech. Behav. Biomed. Mater. 2019, 96, 53–68. [Google Scholar] [CrossRef] [PubMed]
- Shooshtari, M.; Vollebregt, S.; Vaseghi, Y.; Rajati, M.; Pahlavan, S. The sensitivity enhancement of TiO2-based VOCs sensor decorated by gold at room temperature. Nanotechnology 2023, 34, 255501. [Google Scholar] [CrossRef] [PubMed]
- Xu, F.; Li, W.; Sun, S.; Zhong, A.; Cheng, X.; Shi, J.; Li, Z.; Li, J.; Zhang, W.; Wang, X.; et al. Expanding Selectivity Functionality of a ZnO Nanotetrapod-Based Volatile Organic Compound Sensor Using Au Nanoparticle Decoration. ACS Appl. Nano Mater. 2023, 6, 8335–8345. [Google Scholar] [CrossRef]
- Vallejos, S.; Umek, P.; Stoycheva, T.; Annanouch, F.; Llobet, E.; Correig, X.; De Marco, P.; Bittencourt, C.; Blackman, C. Single-Step Deposition of Au- and Pt-Nanoparticle-Functionalized Tungsten Oxide Nanoneedles Synthesized Via Aerosol-Assisted CVD, and Used for Fabrication of Selective Gas Microsensor Arrays. Adv. Funct. Mater. 2013, 23, 1313–1322. [Google Scholar] [CrossRef]
- Wang, W.; Liu, Y.; Liu, S. SnO2 Nanostructure with Well-Engineered Crystal Facets by Zn Doping for Chemical Sensing Applications. Cryst. Growth Des. 2020, 20, 2742–2752. [Google Scholar] [CrossRef]
- Zhao, Q.; Deng, X.; Ding, M.; Gan, L.; Zhai, T.; Xu, X. One-pot synthesis of Zn-doped SnO2 nanosheet-based hierarchical architectures as a glycol gas sensor and photocatalyst. CrystEngComm 2015, 17, 4394–4401. [Google Scholar] [CrossRef]
- Tammanoon, N.; Wisitsoraat, A.; Tuantranont, A.; Liewhiran, C. Flame-made Zn-substituted SnO2 nanoparticulate compound for ultra-sensitive formic acid gas sensing. J. Alloys Compd. 2021, 871, 159547. [Google Scholar] [CrossRef]
- Sun, P.; You, L.; Sun, Y.; Chen, N.; Li, X.; Sun, H.; Ma, J.; Lu, G. Novel Zn-doped SnO2 hierarchical architectures: Synthesis, characterization, and gas sensing properties. CrystEngComm 2012, 14, 1701–1708. [Google Scholar] [CrossRef]
- Wang, W.; Tian, Y.; Li, X.; Wang, X.; He, H.; Xu, Y.; He, C. Enhanced ethanol sensing properties of Zn-doped SnO2 porous hollow microspheres. Appl. Surf. Sci. 2012, 261, 890–895. [Google Scholar] [CrossRef]
- Baraneedharan, P.; Imran Hussain, S.; Dinesh, V.P.; Siva, C.; Biji, P.; Sivakumar, M. Lattice doped Zn–SnO2 nanospheres: A systematic exploration of dopant ion effects on structural, optical, and enhanced gas sensing properties. Appl. Surf. Sci. 2015, 357, 1511–1521. [Google Scholar] [CrossRef]
- Somacescu, S.; Ghica, C.; Simion, C.E.; Kuncser, A.C.; Vlaicu, A.M.; Stefan, M.; Ghica, D.; Florea, O.G.; Mercioniu, I.F.; Stanoiu, A. Nanoclustered Pd decorated nanocrystalline Zn doped SnO2 for ppb NO2 detection at low temperature. Sens. Actuators B Chem. 2019, 294, 148–156. [Google Scholar] [CrossRef]
- Niederberger, M. Nonaqueous Sol–Gel Routes to Metal Oxide Nanoparticles. Acc. Chem. Res. 2007, 40, 793–800. [Google Scholar] [CrossRef] [PubMed]
- Bilecka, I.; Niederberger, M. Microwave chemistry for inorganic nanomaterials synthesis. Nanoscale 2010, 2, 1358–1374. [Google Scholar] [CrossRef] [PubMed]
- da Silva, L.F.; Catto, A.C.; Avansi, W.; Mesquita, A.; Maia, L.J.Q.; Lopes, O.F.; Li, M.S.; Moreira, M.L.; Longo, E.; Andrés, J.; et al. Unveiling the efficiency of microwave-assisted hydrothermal treatment for the preparation of SrTiO3 mesocrystals. Phys. Chem. Chem. Phys. 2019, 21, 22031–22038. [Google Scholar] [CrossRef] [PubMed]
- da Silva, L.F.; Lucchini, M.A.; M’Peko, J.-C.; Bernardini, S.; Aguir, K.; Ribeiro, C.; Longo, E.; Niederberger, M. ZnO/SnO2 Heterojunctions Sensors with UV-Enhanced Gas-Sensing Properties at Room Temperature. Proceedings 2017, 1, 418. [Google Scholar]
- Michalowicz, A.; Moscovici, J.; Muller-BouvetDiane, D.; Provost, K. MAX: Multiplatform Applications for XAFS. J. Phys. Conf. Ser. 2009, 190, 12034. [Google Scholar]
- de Palma, J.V.N.; Catto, A.C.; de Oliveira, M.C.; Ribeiro, R.A.P.; Teodoro, M.D.; da Silva, L.F. Light-assisted ozone gas-sensing performance of SnO2 nanoparticles: Experimental and theoretical insights. Sens. Actuators Rep. 2022, 4, 100081. [Google Scholar] [CrossRef]
- da Silva, L.F.; M’Peko, J.-C.; Catto, A.C.; Bernardini, S.; Mastelaro, V.R.; Aguir, K.; Ribeiro, C.; Longo, E. UV-enhanced ozone gas sensing response of ZnO-SnO2 heterojunctions at room temperature. Sens. Actuators B Chem. 2017, 240, 573–579. [Google Scholar] [CrossRef]
- da Silva, L.F.; Catto, A.C.; Bernardini, S.; Fiorido, T.; de Palma, J.V.N.; Avansi, W.; Aguir, K.; Bendahan, M. BTEX gas sensor based on hematite microrhombuses. Sens. Actuators B Chem. 2021, 326, 128817. [Google Scholar] [CrossRef]
- de Mendonça, V.R.; Avansi, W.; Arenal, R.; Ribeiro, C. A building blocks strategy for preparing photocatalytically active anatase TiO2/rutile SnO2 heterostructures by hydrothermal annealing. J. Colloid Interface Sci. 2017, 505, 454–459. [Google Scholar] [CrossRef]
- Avansi Jr., W.; Ribeiro, C.; Leite, E.R.; Mastelaro, V.R. Vanadium Pentoxide Nanostructures: An Effective Control of Morphology and Crystal Structure in Hydrothermal Conditions. Cryst. Growth Des. 2009, 9, 3626–3631. [Google Scholar] [CrossRef]
- Dalmaschio, C.J.; Ribeiro, C.; Leite, E.R. Impact of the colloidal state on the oriented attachment growth mechanism. Nanoscale 2010, 2, 2336–2345. [Google Scholar] [CrossRef] [PubMed]
- de Mendonca, V.R.; Dalmaschio, C.J.; Leite, E.R.; Niederberger, M.; Ribeiro, C. Heterostructure formation from hydrothermal annealing of preformed nanocrystals. J. Mater. Chem. A 2015, 3, 2216–2225. [Google Scholar] [CrossRef]
- Liu, Z.; Handa, K.; Kaibuchi, K.; Tanaka, Y.; Kawai, J. Comparison of the Sn L edge X-ray absorption spectra and the corresponding electronic structure in Sn, SnO, and SnO2. J. Electron Spectros. Relat. Phenom. 2004, 135, 155–158. [Google Scholar] [CrossRef]
- Perelshtein, I.; Ruderman, E.; Perkas, N.; Tzanov, T.; Beddow, J.; Joyce, E.; Mason, T.J.; Blanes, M.; Mollá, K.; Patlolla, A.; et al. Chitosan and chitosan–ZnO-based complex nanoparticles: Formation, characterization, and antibacterial activity. J. Mater. Chem. B 2013, 1, 1968–1976. [Google Scholar] [CrossRef] [PubMed]
- Da Silva, L.F.; Lopes, O.F.; Catto, A.C.; Avansi, W.; Bernardi, M.I.B.; Li, M.S.; Ribeiro, C.; Longo, E. Hierarchical growth of ZnO nanorods over SnO2 seed layer: Insights into electronic properties from photocatalytic activity. RSC Adv. 2016, 6, 2112–2118. [Google Scholar] [CrossRef]
- Chen, Y.; Duan, X.; Zhou, X.; Wang, R.; Wang, S.; Ren, N.; Ho, S.-H. Advanced oxidation processes for water disinfection: Features, mechanisms and prospects. Chem. Eng. J. 2021, 409, 128207. [Google Scholar] [CrossRef]
- Wagner, T.; Valbusa, D.; Bigiani, L.; Barreca, D.; Gasparotto, A.; Maccato, C. XPS characterization of Mn2O3 nanomaterials functionalized with Ag and SnO2. Surf. Sci. Spectra 2020, 27, 24004. [Google Scholar] [CrossRef]
- Epifani, M.; Prades, J.D.; Comini, E.; Pellicer, E.; Avella, M.; Siciliano, P.; Faglia, G.; Cirera, A.; Scotti, R.; Morazzoni, F.; et al. The Role of Surface Oxygen Vacancies in the NO2 Sensing Properties of SnO2 Nanocrystals. J. Phys. Chem. C 2008, 112, 19540–19546. [Google Scholar] [CrossRef]
- Brinzari, V.; Cho, B.K.; Kamei, M.; Korotcenkov, G. Photoemission surface characterization of (001) In2O3 thin film through the interactions with oxygen, water and carbon monoxide: Comparison with (111) orientation. Appl. Surf. Sci. 2015, 324, 123–133. [Google Scholar] [CrossRef]
- Al-Hashem, M.; Akbar, S.; Morris, P. Role of Oxygen Vacancies in Nanostructured Metal-Oxide Gas Sensors: A Review. Sens. Actuators B Chem. 2019, 301, 126845. [Google Scholar] [CrossRef]
- Marikutsa, A.; Rumyantseva, M.; Konstantinova, E.A.; Gaskov, A. The Key Role of Active Sites in the Development of Selective Metal Oxide Sensor Materials. Sensors 2021, 21, 2554. [Google Scholar] [CrossRef] [PubMed]
- Blackman, C. Do We Need “Ionosorbed” Oxygen Species? (Or, “A Surface Conductivity Model of Gas Sensitivity in Metal Oxides Based on Variable Surface Oxygen Vacancy Concentration”). ACS Sens. 2021, 6, 3509–3516. [Google Scholar] [CrossRef] [PubMed]
- Yan, W.; Worsley, M.A.; Pham, T.; Zettl, A.; Carraro, C.; Maboudian, R. Effects of ambient humidity and temperature on the NO2 sensing characteristics of WS2/graphene aerogel. Appl. Surf. Sci. 2018, 450, 372–379. [Google Scholar] [CrossRef]
- Jeng, C.-C.; Chong, P.J.H.; Chiu, C.-C.; Jiang, G.-J.; Lin, H.-J.; Wu, R.-J.; Wu, C.-H. A dynamic equilibrium method for the SnO2-based ozone sensors using UV-LED continuous irradiation. Sens. Actuators B Chem. 2014, 195, 702–706. [Google Scholar] [CrossRef]
- Alagh, A.; Annanouch, F.E.; Al Youssef, K.; Bittencourt, C.; Güell, F.; Martínez-Alanis, P.R.; Reguant, M.; Llobet, E. PdO and PtO loaded WS2 boosts NO2 gas sensing characteristics at room temperature. Sens. Actuators B Chem. 2022, 364, 131905. [Google Scholar] [CrossRef]
- Degler, D.; Wicker, S.; Weimar, U.; Barsan, N. Identifying the Active Oxygen Species in SnO2 Based Gas Sensing Materials: An Operando IR Spectrsocopy Study. J. Phys. Chem. C 2015, 119, 11792–11799. [Google Scholar] [CrossRef]
- Gherardi, S.; Zonta, G.; Astolfi, M.; Malagù, C. Humidity effects on SnO2 and (SnTiNb)O2 sensors response to CO and two-dimensional calibration treatment. Mater. Sci. Eng. B 2021, 265, 115013. [Google Scholar] [CrossRef]
- Hernández-Ramírez, F.; Tarancón, A.; Casals, O.; Arbiol, J.; Romano-Rodríguez, A.; Morante, J.R. High response and stability in CO and humidity measures using a single SnO2 nanowire. Sens. Actuators B Chem. 2007, 121, 3–17. [Google Scholar] [CrossRef]
- Yang, J.; Han, W.; Jiang, B.; Wang, C.; Sun, Y.; Zhang, H.; Shimanoe, K.; Sun, P.; Lu, G. Sn2+ doped NiO hollow nanofibers to improve triethylamine sensing characteristics through tuning oxygen defects. Sens. Actuators B Chem. 2023, 387, 133801. [Google Scholar] [CrossRef]
- Shooshtari, M.; Salehi, A.; Vollebregt, S. Effect of temperature and humidity on the sensing performance of TiO2 nanowire-based ethanol vapor sensors. Nanotechnology 2021, 32, 325501. [Google Scholar] [CrossRef] [PubMed]
- Hilaire, S.; Suess, M.J.; Kranzlin, N.; Bienkowski, K.; Solarska, R.; Augustynski, J.; Niederberger, M. Microwave-assisted nonaqueous synthesis of WO3 nanoparticles for crystallographically oriented photoanodes for water splitting. J. Mater. Chem. A 2014, 2, 20530–20537. [Google Scholar]








| Synthesis Method | Temperature/Time of Synthesis | Target Gas | Gas Level Detected * (ppm) | Working Temperature (°C) | Reference |
|---|---|---|---|---|---|
| Hydrothermal | 180 °C/16 h | Glycol | 5.0 | 240 | [38] |
| Spray pyrolysis | 350 °C/** | Formic Acid | 50.0 | 350 | [39] |
| Hydrothermal | 200 °C/12 h | Ethanol | 40.0 | 250 | [40] |
| Precipitation | 550 °C/2 h | Ethanol | 2.0 | 240 | [41] |
| Hydrothermal | 180 °C/24 h | Triethylamine | 100.0 | 70 | [37] |
| Hydrothermal | 190 °C/ 12 h | NO2 | 1.0 | 350 | [42] |
| Hydrothermal | 140 °C/24 h | NO2 | 0.35 | 200 | [43] |
| Microwave-assisted | 160 °C/ 20 min | NO2 | 0.10 | 150 | Present study |
Disclaimer/Publisher’s Note: The statements, opinions and data contained in all publications are solely those of the individual author(s) and contributor(s) and not of MDPI and/or the editor(s). MDPI and/or the editor(s) disclaim responsibility for any injury to people or property resulting from any ideas, methods, instructions or products referred to in the content. |
© 2023 by the authors. Licensee MDPI, Basel, Switzerland. This article is an open access article distributed under the terms and conditions of the Creative Commons Attribution (CC BY) license (https://creativecommons.org/licenses/by/4.0/).
Share and Cite
da Silva, L.F.; Lucchini, M.A.; Catto, A.C.; Avansi Jr., W.; Bernardini, S.; Aguir, K.; Niederberger, M.; Longo, E. The Role of Zn Ions in the Structural, Surface, and Gas-Sensing Properties of SnO2:Zn Nanocrystals Synthesized via a Microwave-Assisted Route. Sensors 2024, 24, 140. https://doi.org/10.3390/s24010140
da Silva LF, Lucchini MA, Catto AC, Avansi Jr. W, Bernardini S, Aguir K, Niederberger M, Longo E. The Role of Zn Ions in the Structural, Surface, and Gas-Sensing Properties of SnO2:Zn Nanocrystals Synthesized via a Microwave-Assisted Route. Sensors. 2024; 24(1):140. https://doi.org/10.3390/s24010140
Chicago/Turabian Styleda Silva, Luís F., Mattia A. Lucchini, Ariadne C. Catto, Waldir Avansi Jr., Sandrine Bernardini, Khalifa Aguir, Markus Niederberger, and Elson Longo. 2024. "The Role of Zn Ions in the Structural, Surface, and Gas-Sensing Properties of SnO2:Zn Nanocrystals Synthesized via a Microwave-Assisted Route" Sensors 24, no. 1: 140. https://doi.org/10.3390/s24010140
APA Styleda Silva, L. F., Lucchini, M. A., Catto, A. C., Avansi Jr., W., Bernardini, S., Aguir, K., Niederberger, M., & Longo, E. (2024). The Role of Zn Ions in the Structural, Surface, and Gas-Sensing Properties of SnO2:Zn Nanocrystals Synthesized via a Microwave-Assisted Route. Sensors, 24(1), 140. https://doi.org/10.3390/s24010140

