A Novel Method for Full-Section Assessment of High-Speed Railway Subgrade Compaction Quality Based on ML-Interval Prediction Theory
Abstract
1. Introduction
2. Methodology
2.1. Novel Method for Determining ρdmax
2.1.1. Multi-Parameter Collaborative Testing System for Compaction Quality
2.1.2. Method for Determining ρdmax Based on the ‘Turning Point’ of Krb
2.2. POA Prediction Model for ρdmax
2.3. Bootstrap-Modification for POA Model
2.3.1. Sources of Uncertainty in ρdmax Predictions
- (1)
- Cognitive uncertainty
- (2)
- Random uncertainty
2.3.2. Quantification of ρdmax Prediction Uncertainty
- (1)
- Determining the expression for the output target
- (2)
- Representation of ρdmax prediction error
- (3)
- Calculation of the variance of total prediction error for ρdmax
- (4)
- Construction of the prediction interval for ρdmax
2.3.3. Interval Prediction for ρdmax Based on POA Model
- (1)
- Generation of pseudo data set
- (2)
- Model training and saving
- (3)
- Prediction output calculation and cognitive error variance estimation
- (4)
- Random error variance estimation
- (5)
- Uncertainty prediction and accuracy assessment
2.4. A Model for Full-Section Assessment of Compaction Quality Based on ML-Interval Prediction Theory
2.4.1. Field Data Preparation
2.4.2. Acquisition of Full-Section Data Based on the Spatial Interpolation Algorithm
2.4.3. Calculation of Full-Section Distribution Interval for ρdmax
2.4.4. Assessment of Full-Section Compaction Quality
3. ρdmax Interval Prediction Results
3.1. Prediction Database for ρdmax
3.2. Determination of POA Prediction Model for ρdmax
3.3. Interval Prediction Results for ρdmax Based on Bootstrap-POA-ANN Model
4. Case Study-Determining Optimal Paving Thickness H0 for Subgrade Compaction
4.1. Overview
4.2. Full-Section Data Based on Spatial Interpolation Algorithms
4.2.1. Results of Measured ρd
4.2.2. Interpolation Results of ρd at 40~50 cm Thickness
4.2.3. Full-Section Distribution Results of Filler Parameters at 40~50 cm Thickness
4.3. Results of Full-Section Distribution Interval for ρdmax
4.4. Results of Assessment for Full-Section Compaction Quality
5. Conclusions
- The full-section assessment method for high-speed railway subgrade compaction quality, based on ML-interval prediction theory, not only quantifies the uncertainty in predicting ρdmax using ML, but also provides results of assessment for full-section compaction quality, laying the foundation for ensuring the service performance of the subgrade.
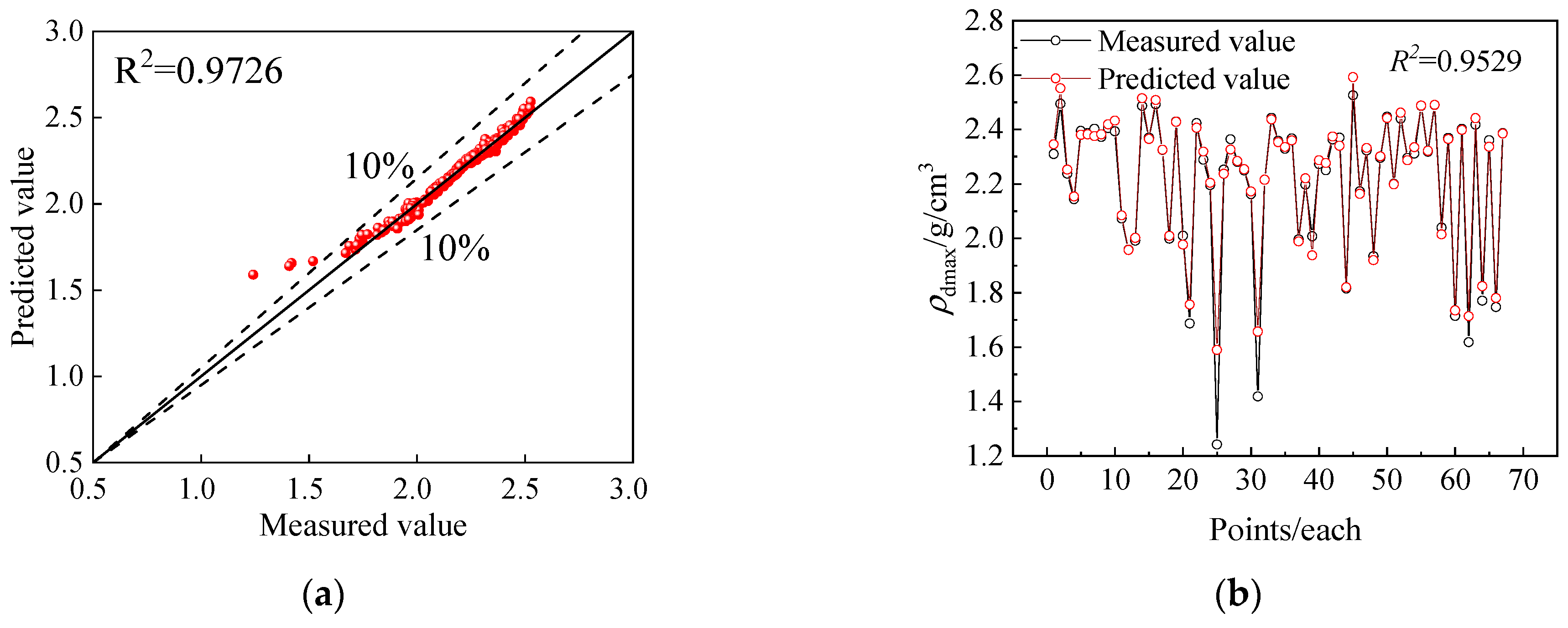
- The PSO-BPNN-AdaBoost model showed the highest prediction accuracy with an R2 of 0.9788, followed by the PSO-SVR-AdaBoost model (0.9453), and then the PSO-RF-AdaBoost model (0.9330). At the same time, the PSO-BPNN-AdaBoost model is chosen as the POA model for ρdmax due to the PSO-BPNN-AdaBoost model also performing better in the error metrics MSE, MAE, and MAPE.
- The proposed Bootstrap-POA-ANN interval prediction model for ρdmax is capable of constructing clear and reliable prediction intervals and can effectively encompass the actual observed ρdmax curve. Moreover, the optimal confidence level is determined to be 95% by combining the three metrics PICP, MPIW, and CWC.
- The proposed compaction quality assessment model can provide the full-section distribution interval for K, and enable a visual, accurate, and comprehensive assessment of the compaction quality. The upper and lower limits of K for the 40~50 cm thickness exceed the 95% compaction quality standard, comparing the H0 of 50~60 cm and 60~70 cm. Hence, it is suggested to use the compaction thickness of 40~50 cm to ensure thorough compaction of the subgrade.
- (1)
- Discussion on broader implications and future research directions
- (2)
- Discussion on potential integration into existing systems
- (1)
- Discussion on ethical implications
- (2)
- Discussion of potential impacts on railway safety
Author Contributions
Funding
Institutional Review Board Statement
Informed Consent Statement
Data Availability Statement
Conflicts of Interest
References
- Li, P.; Pan, Z.; Xiao, T.; Wang, J. Effects of molding water content and compaction degree on the microstructure and permeability of compacted loess. Acta Geotech. 2023, 18, 921–936. [Google Scholar] [CrossRef]
- Xie, K.; Chen, X.; Li, T.; Deng, Z.; Yao, J.; Tang, L. A framework for determining the optimal moisture content of high-speed railway-graded aggregate materials based on the lab vibration compaction method. Constr. Build. Mater. 2023, 392, 131764. [Google Scholar] [CrossRef]
- Ye, Y.; Chen, X.; Hui, X.; Cai, D.; Yao, J.; Jing, L. Laboratory investigation on parameter optimization of vibrating compaction for high-speed railway’s Group B. J. Railw. Sci. Eng. 2021, 18, 2497–2505. (In Chinese) [Google Scholar] [CrossRef]
- Wang, M.; Yu, Q.; Xiao, Y.; Li, W.; Hua, W.; Wang, X.; Chen, X. Experimental investigation of macro-and meso-scale compaction characteristics of unbound permeable base materials. Chin. J. Rock. Mech. Eng. 2022, 41, 1701–1716. (In Chinese) [Google Scholar] [CrossRef]
- Xiao, X.; Li, T.; Lin, F.; Li, X.; Hao, Z.; Li, J. A Framework for Determining the Optimal Vibratory Frequency of Graded Gravel Fillers Using Hammering Modal Approach and ANN. Sensors 2024, 24, 689. [Google Scholar] [CrossRef]
- Ding, L.; Han, Z.; Zou, W.; Wang, X. Characterizing hydro-mechanical behaviours of compacted subgrade soils considering effects of freeze-thaw cycles. Transp. Geotech. 2020, 24, 100392. [Google Scholar] [CrossRef]
- Zhao, Z.; Jiang, J.; Ni, F.; Ma, X. 3D-Reconstruction and characterization of the pore microstructure within the asphalt FAM using the X-ray micro-computed tomography. Constr. Build. Mater. 2021, 272, 121764. [Google Scholar] [CrossRef]
- Deng, C.; Jiang, Y.; Zhang, Y.; Yi, Y.; Tian, T.; Yuan, K. Mechanical properties and influencing factors of vertical-vibration compacted unbound graded aggregate materials. Transp. Geotech. 2021, 28, 100538. [Google Scholar] [CrossRef]
- Huang, J.; Pei, J.; Li, Y.; Yang, H.; Li, R.; Zhang, J.; Wen, Y. Investigation on aggregate particles migration characteristics of porous asphalt concrete (PAC) during vibration compaction process. Constr. Build. Mater. 2020, 243, 118153. [Google Scholar] [CrossRef]
- National Development and Reform Commission. DL 5356—2006 Code for Coarse-Grained Soil Tests for Hydropower and Water Conservancy Engineering; Beijing China Electric Power Press: Beijing China, 2006. (In Chinese) [Google Scholar]
- Wang, H.; Yin, Z. High performance prediction of soil compaction parameters using multi expression programming. Eng. Geol. 2020, 276, 105758. [Google Scholar] [CrossRef]
- Nazari, Z.; Tabarsa, A.; Latifi, N. Effect of compaction delay on the strength and consolidation properties of cement-stabilized subgrade soil. Transp. Geotech. 2021, 27, 100495. [Google Scholar] [CrossRef]
- Adhikari, S.; Khattak, M.; Adhikari, B. Mechanical characteristics of Soil-RAP-Geopolymer mixtures for road base and subbase layers. Int. J. Pavement Eng. 2020, 21, 483–496. [Google Scholar] [CrossRef]
- Yu, S.; Shen, S. Compaction prediction for asphalt mixtures using wireless sensor and machine learning algorithms. IEEE Trans. Intell. Transp. Syst. 2022, 24, 778–786. [Google Scholar] [CrossRef]
- Najjarpour, M.; Jalalifar, H.; Norouzi-apourvari, S. Half a century experience in rate of penetration management: Application of machine learning methods and optimization algorithms-A review. J. Petrol. Sci. Eng. 2022, 208, 109575. [Google Scholar] [CrossRef]
- Han, S.; Wei, H.; Wang, H.; Chen, J. Prediction for snow melting process of conductive ethylene propylene diene monomer composites based on machine learning approaches. Constr. Build. Mater. 2022, 356, 129315. [Google Scholar] [CrossRef]
- Tao, L.; Byrnes, J.; Varshney, V.; Li, Y. Machine learning strategies for the structure-property relationship of copolymers. Iscience 2022, 25, 133–145. [Google Scholar] [CrossRef]
- Siru, L.; Joseph, J.; Allison, B.M.; Reese, T.J.; Steitz, B.; Russo, E.; Koh, B.; Wright, A. New onset delirium prediction using machine learning and long short-term memory (LSTM) in electronic health record. J. Amer. Med. Inf. Assoc. 2023, 30, 120–131. [Google Scholar] [CrossRef]
- Jin, H.; Andalib, V.; Yasin, G.; Bokov, D.O.; Kamal, M.; Alashwal, M.; Ghazali, S.; Algarni, M.; Mamdouh, A. Computational simulation using machine learning models in prediction of CO2 absorption in environmental applications. J. Mol. Liq. 2022, 358, 119159. [Google Scholar] [CrossRef]
- Conroy, B.; Nayak, R.; Hidalgo, A.L.R.; Millar, G.J. Evaluation and application of machine learning principles to Zeolite LTA synthesis. Micropor. Mesopor. Mat. 2022, 335, 111802. [Google Scholar] [CrossRef]
- Li, H.; Nasirin, C.; Abed, A.M.; Bokove, D.O.; Thangavelu, L.; Marhoon, H.A.; Rahman, M.L. Optimization and design of machine learning computational technique for prediction of physical separation process. Arab. J. Chem. 2022, 15, 103680. [Google Scholar] [CrossRef]
- Balachandar, A.; Algarni, M.; Oliveira, L.; Marsili, L.; Merola, A.; Sturchio, A.; Espay, A.J.; Hutchison, W.D.; Balasubramaniam, A.; Rudzicz, F.; et al. Are smartphones and machine learning enough to diagnose tremor. J. Neurol. 2022, 269, 6104–6115. [Google Scholar] [CrossRef]
- Hu, Y.; Li, J.; Hong, M.; Hu, Y.; Li, J.; Hong, M.; Ren, J.; Man, Y. Industrial artificial intelligence based energy management system: Integrated framework for electricity load forecasting and fault prediction. Energy 2022, 244, 123195. [Google Scholar] [CrossRef]
- Md, A.Q.; Kapoor, S.; Av, C.J.; Sivaraman, A.; Tee, K.; Sabireen, H.; Janakiraman, N. Novel optimization approach for stock price forecasting using multi-layered sequential LSTM. Appl. Soft Comput. 2023, 134, 109830. [Google Scholar] [CrossRef]
- Koopialipoor, M.; Asteris, P.G.; Mohammed, A.S.; Alexaki, D.E.; Mamou, A.; Armaghani, D.J. Introducing stacking machine learning approaches for the prediction of rock deformation. Transp. Geosci. 2022, 34, 100756. [Google Scholar] [CrossRef]
- Asteris, P.G.; Koopialipoor, M.; Armaghani, D.J.; Kotsonis, E.A.; Lourenço, P.B. Prediction of cement-based mortars compressive strength using machine learning techniques. Neural Comput. Appl. 2021, 33, 13089–13121. [Google Scholar] [CrossRef]
- Miele, S.; Karve, P.M.; Mahadevan, S.; Agarwal, V. Diagnosis of internal cracks in concrete using vibro-acoustic modulation and machine learning. Struct.Health Monit. 2022, 21, 1973–1991. [Google Scholar] [CrossRef]
- Xu, Z.; Khabbaz, H.; Fatahi, B.; Wu, D. Double-layered granular soil modulus extraction for intelligent compaction using extended support vector machine learning considering soil-structure interaction. Eng. Struct. 2023, 274, 115180. [Google Scholar] [CrossRef]
- Kurnaz, T.; Kaya, Y. The performance comparison of the soft computing methods on the prediction of soil compaction parameters. Arab. J. Geosci. 2020, 13, 159. [Google Scholar] [CrossRef]
- Wang, X.; Dong, X.; Zhang, Z.; Zhang, J.; Ma, G.; Yang, X. Compaction quality evaluation of subgrade based on soil characteristics assessment using machine learning. Transp. Geotech. 2022, 32, 100703. [Google Scholar] [CrossRef]
- Xu, Z.; Khabbaz, H.; Fatahi, B.; Wu, D. Real-time determination of sandy soil stiffness during vibratory compaction incorporating machine learning method for intelligent compaction. J. Rock. Mech. Geotech. Eng. 2022, 14, 1609–1625. [Google Scholar] [CrossRef]
- Ma, J.; Tang, H.; Liu, X.; Wen, T.; Zhang, J.; Tan, Q.; Fan, Z. Probabilistic forecasting of landslide displacement accounting for epistemic uncertainty: A case study in the Three Gorges Reservoir area, China. Landslides 2018, 15, 1145–1153. [Google Scholar] [CrossRef]
- Ge, Q.; Sun, H.; Liu, Z.; Yang, B.; Lacasse, S.; Nadim, F. A novel approach for displacement interval forecasting of landslides with step-like displacement pattern. Georisk 2022, 16, 489–503. [Google Scholar] [CrossRef]
- Zhang, Y.; Zhang, J.; Hamidouche, W.; Deforges, O. Predictive Uncertainty Estimation for Camouflaged Object Detection. IEEE Trans. Image Process. 2023, 32, 3580–3591. [Google Scholar] [CrossRef] [PubMed]
- Knüsel, B.; Baumberger, C.; Zumwald, M.; Bresch, D.; Knutti, R. Argument-based assessment of predictive uncertainty of data-driven environmental models. Environ. Modell. Softw. 2020, 134, 104754. [Google Scholar] [CrossRef]
- Yan, L.; Feng, J.; Hang, T.; Zhu, Y. Flow interval prediction based on deep residual network and lower and upper boundary estimation method. Appl. Soft Comput. 2021, 104, 107228. [Google Scholar] [CrossRef]
- Lee, M.; Bae, J.; Kim, S. Uncertainty-aware soft sensor using Bayesian recurrent neural networks. Adv. Eng. Inform. 2021, 50, 101434. [Google Scholar] [CrossRef]
- Li, C.; Tang, G.; Xue, X.; Wang, R.; Zhang, C. The short-term interval prediction of wind power using the deep learning model with gradient descend optimization. Renew. Energy 2020, 155, 197–211. [Google Scholar] [CrossRef]
- Wang, J.; He, J.; Feng, C.; Feng, L.; Li, Y. Stock index prediction and uncertainty analysis using multi-scale nonlinear ensemble paradigm of optimal feature extraction, two-stage deep learning and Gaussian process regression. Appl. Soft Comput. 2021, 113, 107898. [Google Scholar] [CrossRef]
- Liu, F.; Liu, Q.; Tao, Q.; Huang, Y.; Li, D.; Sidorov, D. Deep reinforcement learning based energy storage management strategy considering prediction intervals of wind power. Int. J. Electr. Power Energy Syst. 2023, 145, 108608. [Google Scholar] [CrossRef]
- Dong, F.; Wang, J.; Xie, K.; Tian, L.; Ma, Z. An interval prediction method for quantifying the uncertainties of cooling load based on time classification. J. Build. Eng. 2022, 56, 104739. [Google Scholar] [CrossRef]
- Loizidis, S.; Kyprianou, A.; Georghiou, G.E. Electricity market price forecasting using ELM and Bootstrap analysis: A case study of the German and Finnish Day-Ahead markets. Appl. Energ. 2024, 363, 123058. [Google Scholar] [CrossRef]
- Liao, W.; Wang, S.; Bak-Jensen, B.; Pillai, J.; Yang, Z.; Liu, K. Ultra-Short-Term Interval Prediction of Wind Power Based on Graph Neural Network and Improved Bootstrap Technique. J. Mod. Power Syst. Cle. Energy 2023, 11, 1100–1114. [Google Scholar] [CrossRef]
- Ren, Q.; Li, M.; Kong, R.; Shen, Y.; Du, S. A hybrid approach for interval prediction of concrete dam displacements under uncertain conditions. Eng. Comput. 2023, 39, 1285–1303. [Google Scholar] [CrossRef]
- Li, L.; Wu, Y.; Miao, F.; Huang, Y. A hybrid interval displacement forecasting model for reservoir colluvial landslides with step-like deformation characteristics considering dynamic switching of deformation states. Stoch. Environ. Res. Risk Assess. 2021, 35, 1089–1112. [Google Scholar] [CrossRef]
- Xie, K.; Chen, X.; Li, T.; Xiao, X.; Tang, L.; Wang, Y. Experimental and numerical study on the influence of deterioration on the mechanical properties of graded gravel fillers during vibratory compaction. Constr. Build. Mater. 2023, 404, 133153. [Google Scholar] [CrossRef]
- Polaczyk, P.; Ma, Y.; Xiao, R.; Hu, W.; Jiang, X.; Huang, B.S. Characterization of aggregate interlocking in hot mix asphalt by mechanistic performance tests. Road Mater. Pavement 2021, 22, S498–S513. [Google Scholar] [CrossRef]
- Bi, Y.; Huang, J.; Pei, J.; Zhang, J.P.; Guo, F.C.; Li, R. Compaction characteristics assessment of Hot-Mix asphalt mixture using Superpave gyratory compaction and Stribeck curve method. Constr. Build. Mater. 2021, 285, 122874. [Google Scholar] [CrossRef]
- Xiao, X.; Xie, K.; Li, X.; Hao, Z.; Li, T.; Deng, Z. Macro-and micro-deterioration mechanism of high-speed railway graded gravel filler during vibratory compaction. Constr. Build. Mater. 2023, 409, 134043. [Google Scholar] [CrossRef]
- Chen, X.; Xie, K.; Li, T.; Zhang, Q. Investigation on the coarse-grained rearrangement of vibratory compaction in the high-speed railway graded aggregate materials. Case Stud. Constr. Mater. 2023, 19, e02385. [Google Scholar] [CrossRef]
- Stamenković, L. Application of ANN and SVM for prediction nutrients in rivers. J. Environ. Sci. 2021, 56, 867–873. [Google Scholar] [CrossRef]
- Wen, X.; Zhong, S.; Sun, W.; Xue, W.; Bai, W. Development of an optimal bilayered back propagation neural network (BPNN) to identify thermal behaviors of reactions in isoperibolic semi-batch reactors. Process Saf. Environ. 2023, 173, 627–641. [Google Scholar] [CrossRef]
- Li, C.; He, Y.; Xiao, D.; Luo, Z.; Fan, J.; Liu, P. A novel hybrid approach of ABC with SCA for the parameter optimization of SVR in blind image quality assessment. Neural Comput. Appl. 2022, 34, 4165–4191. [Google Scholar] [CrossRef]
- Kaya, H.; Guler, E.; Kırmacı, V. Prediction of temperature separation of a nitrogen-driven vortex tube with linear, kNN, SVM, and RF regression models. Neural Comput. Appl. 2023, 35, 6281–6291. [Google Scholar] [CrossRef]
- Tang, G.; Yao, X.; Li, F.; Wang, Y.; Hu, X. Prediction about the vessel’s heave motion under different sea states based on hybrid PSO_ARMA model. Ocean. Eng. 2022, 263, 112247. [Google Scholar] [CrossRef]
- Zhao, J.; Chi, H.; Shao, Y.; Peng, X. Application of AdaBoost algorithms in Fe mineral prospectivity prediction: A case study in Hongyuntan–Chilongfeng mineral district, Xinjiang Province, China. Nat. Resour. Res. 2022, 31, 2001–2022. [Google Scholar] [CrossRef]
- Yu, M.; Niu, D.; Wang, K.; Du, R.; Yu, X.; Sun, L.; Wang, F. Short-term photovoltaic power point-interval Effects of molding water content and compabased on double-layer decomposition and WOA-BiLSTM-Attention and considering weather classification. Energy 2023, 275, 127348. [Google Scholar] [CrossRef]
- Rizi, B.; Pavlak, G.; Cushing, V.; Heidarinejad, M. Predicting uncertainty of a chiller plant power consumption using quantile random forest: A commercial building case study. Energy 2023, 283, 129112. [Google Scholar] [CrossRef]
- Li, H.; Yu, Y.; Huang, Z.; Sun, S.; Jia, X. A multi-step ahead point-interval forecasting system for hourly PM2. 5 concentrations based on multivariate decomposition and kernel density estimation. Expert. Syst. Appl. 2023, 226, 120140. [Google Scholar] [CrossRef]
- Li, K.; Wang, R.; Lei, H.; Zhang, T.; Liu, Y.; Zheng, X. Interval prediction of solar power using an improved bootstrap method. Sol. Energy 2018, 159, 97–112. [Google Scholar] [CrossRef]
- Hou, J.; Zhai, Q.; Guan, X. Fast prediction and avoidance of cascading line failures based on ANN with feedbacks. Int. J. Electr. Power Energy Syst. 2023, 145, 108655. [Google Scholar] [CrossRef]
- Bai, X.; Li, X.; Balakrishnan, N.; He, M. Reliability analysis for dependent stress-strength reliability of multi-state system using improved generalized survival signature. Compu. Ind. Eng. 2022, 165, 107941. [Google Scholar] [CrossRef]
- Weng, P.; Tian, Y.; Liu, Y.; Zheng, Y. Time-series generative adversarial networks for flood forecasting. J. Hydrol. 2023, 622, 129702. [Google Scholar] [CrossRef]
- Dehghan-Shoar, M.; Orsi, A.; Pullanagari, R.; Yule, I. A hybrid model to predict nitrogen concentration in heterogeneous grassland using field spectroscopy. Remote Sens. Environ. 2023, 285, 113385. [Google Scholar] [CrossRef]
- Wang, J.; Zhang, L.; Liu, Z.; Niu, X. A novel decomposition-ensemble forecasting system for dynamic dispatching of smart grid with sub-model selection and intelligent optimization. Expert. Syst. Appl. 2022, 201, 117201. [Google Scholar] [CrossRef]
- Rong, J.; Hong, J.; Guo, Q.; Fang, Z.; Chen, S. Path mechanism and spatial spillover effect of green technology innovation on agricultural CO2 emission intensity: A case study in Jiangsu Province. China Ecol. Indic. 2023, 157, 111147. [Google Scholar] [CrossRef]
- Li, F.; Shang, Z.; Liu, Y.; Shen, H.; Jin, Y. Inverse distance weighting and radial basis function based surrogate model for high-dimensional expensive multi-objective optimization. Appl. Soft Comput. 2024, 152, 111194. [Google Scholar] [CrossRef]
- Xu, W.; Zhang, F.; Jiang, T.; Feng, Y.; Liu, Y.; Dong, Z.; Tang, Q. Feature curve-based registration for airborne LiDAR bathymetry point clouds. Int. J. Appl. Earth Obs. 2022, 112, 102883. [Google Scholar] [CrossRef]
- Martínez-González, A.; Monzó-Cabrera, J.; Martínez-Sáez, A.; Lozano-Guerrero, A. Minimization of measuring points for the electric field exposure map generation in indoor environments by means of Kriging interpolation and selective sampling. Environ. Res. 2022, 212, 113577. [Google Scholar] [CrossRef]
- Hao, W.; Xu, L.; Chen, X.; Jin, Y.; Han, Y.; Zhang, X.; Chen, Y.; Huang, L.; Yang, B.; Zhu, Z.; et al. Classification and spatial mapping of atmospheric corrosion of China. Npj Mater. Degrdn. 2022, 6, 100. [Google Scholar] [CrossRef]
- Duan, J.; Yang, G.; Hu, M.; Wang, G.; Lin, Y. Heave performance of a ballastless track subgrade of double line high-speed railway filled with micro-expansive andesite under water immersion. Constr. Build. Mater. 2020, 252, 119087. [Google Scholar] [CrossRef]
- Chen, X.; Jia, Y.; Zhang, J. Geogrid-reinforcement and the critical state of graded aggregates used in heavy-haul railway transition subgrade. Transp. Geotech. 2017, 11, 27–40. [Google Scholar] [CrossRef]
- Serrano-Guerrero, X.; Briceño-León, M.; Clairand, J.; Escrivá-Escrivá, G. A new interval prediction methodology for short-term electric load forecasting based on pattern recognition. Appl. Energy 2021, 297, 117173. [Google Scholar] [CrossRef]
- Hu, J.; Lin, Y.; Tang, J.; Zhao, J. A new wind power interval prediction approach based on reservoir computing and a quality-driven loss function. Appl. Soft Comput. 2020, 92, 106327. [Google Scholar] [CrossRef]
- Shao, Y.; Ma, Z.; Wang, J.; Bi, J. Estimating daily ground-level PM2. 5 in China with random-forest-based spatiotemporal kriging. Sci. Total Environ. 2020, 740, 139761. [Google Scholar] [CrossRef]
- Patwary, A.; Huang, W.; Lo, H. A link-to-link segment based metamodel for dynamic network loading. Transp. Res. Part. C Emerg. Technol. 2021, 130, 103286. [Google Scholar] [CrossRef]































| Grade | Moisture Content/% | Frequency/Hz | Mass of Eccentric Block/Kg | Eccentricity/cm |
|---|---|---|---|---|
| J1 | 3.6 | 40 | 2.4 | 1.91 |
| J2 | 3.8 | 38 | 2.4 | 2.21 |
| J3 | 4.0 | 34 | 2.4 | 2.66 |
| J4 | 4.2 | 32 | 2.4 | 2.93 |
| J5 | 5.4 | 26 | 2.4 | 4.64 |
| Types of Metrics | Types of Algorithms | ||
|---|---|---|---|
| PSO-BPNN-AdaBoost | PSO-SVR-AdaBoost | PSO-RF-AdaBoost | |
| R2 | 0.9788 | 0.9453 | 0.9330 |
| EVS | 0.9791 | 0.9468 | 0.9344 |
| MSE (g·.cm−3) | 0.0015 | 0.0039 | 0.0048 |
| MAE (g·cm−3) | 0.0167 | 0.0225 | 0.0295 |
| MAPE (%) | 0.9665 | 1.3552 | 1.7012 |
| Types of Metrics | Types of Algorithms | ||
|---|---|---|---|
| Spline | IDW | Kriging | |
| MAE (g·.cm−3) | 0.0044 | 0.0037 | 0.0031 |
| MAPE (%) | 0.1916 | 0.1607 | 0.1357 |
| Types of Metrics | Types of Filler Parameters | ||||||
|---|---|---|---|---|---|---|---|
| dmax | b | m | EI | LAA | Wac | Waf | |
| MAE (g·.cm−3) | 0.4073 | 0.0077 | 0.01498 | 0.0157 | 0.0061 | 0.0617 | 0.0681 |
| MAPE (%) | 1.0664 | 1.0548 | 2.5093 | 3.6163 | 4.8024 | 0.7455 | 0.5354 |
Disclaimer/Publisher’s Note: The statements, opinions and data contained in all publications are solely those of the individual author(s) and contributor(s) and not of MDPI and/or the editor(s). MDPI and/or the editor(s) disclaim responsibility for any injury to people or property resulting from any ideas, methods, instructions or products referred to in the content. |
© 2024 by the authors. Licensee MDPI, Basel, Switzerland. This article is an open access article distributed under the terms and conditions of the Creative Commons Attribution (CC BY) license (https://creativecommons.org/licenses/by/4.0/).
Share and Cite
Deng, Z.; Wang, W.; Xu, L.; Bai, H.; Tang, H. A Novel Method for Full-Section Assessment of High-Speed Railway Subgrade Compaction Quality Based on ML-Interval Prediction Theory. Sensors 2024, 24, 3661. https://doi.org/10.3390/s24113661
Deng Z, Wang W, Xu L, Bai H, Tang H. A Novel Method for Full-Section Assessment of High-Speed Railway Subgrade Compaction Quality Based on ML-Interval Prediction Theory. Sensors. 2024; 24(11):3661. https://doi.org/10.3390/s24113661
Chicago/Turabian StyleDeng, Zhixing, Wubin Wang, Linrong Xu, Hao Bai, and Hao Tang. 2024. "A Novel Method for Full-Section Assessment of High-Speed Railway Subgrade Compaction Quality Based on ML-Interval Prediction Theory" Sensors 24, no. 11: 3661. https://doi.org/10.3390/s24113661
APA StyleDeng, Z., Wang, W., Xu, L., Bai, H., & Tang, H. (2024). A Novel Method for Full-Section Assessment of High-Speed Railway Subgrade Compaction Quality Based on ML-Interval Prediction Theory. Sensors, 24(11), 3661. https://doi.org/10.3390/s24113661
