Performance-Degradation Analysis of the Planetary Roller Screw Mechanism under Multi-Factor Coupling Effects
Abstract
1. Introduction
2. Development of a Comprehensive Performance Test Device for the PRSM
2.1. Development of the PRSM Loading Test Device
2.2. Development of Test Equipment for the PRSM
2.3. Consistency Verification of the Test Device
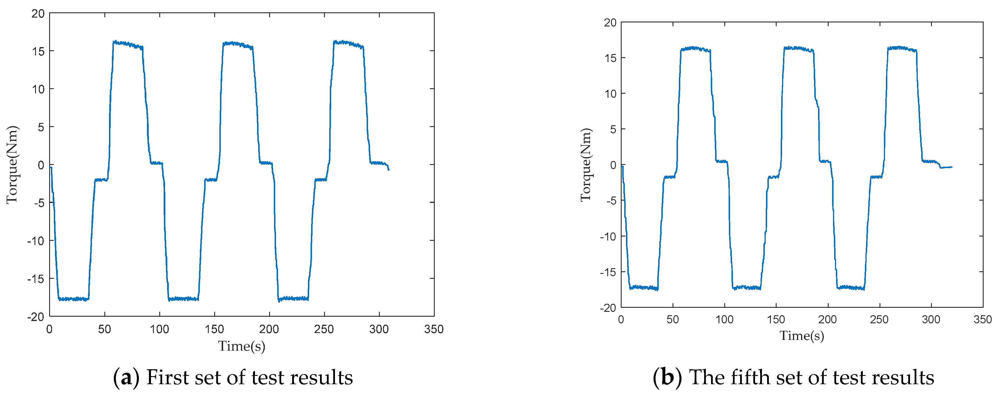
2.3.1. Consistency Verification of the PRSM Loading Test Device
2.3.2. Consistency Verification of the Accuracy Test Device
3. Performance-Degradation Experiment of the PRSM
3.1. Transmission-Accuracy Test of the PRSM
3.2. Load-Bearing Performance Tests of the PRSM
3.2.1. Loading Test Conditions for the PRSM
3.2.2. Load-Bearing Performance-Degradation Test of the PRSM
3.3. Transmission-Efficiency Calculation of the PRSM
4. Operating Condition Monitoring Analysis of the PRSM
4.1. Temperature-Rise Monitoring of the Nut
4.2. Vibration Condition Monitoring
5. Conclusions
- The degradation of the load-bearing performance of the PRSM can be divided into three stages: the normal degradation stage, the accelerated degradation stage, and the failure stage. The rate of degradation of load-bearing performance gradually increases;
- Under the axial load of 30 kN, the screw threads failed first. The deformation and wear of the threads are the main factors causing the performance degradation of the PRSM;
- When the performance of the PRSM is not degraded, its vibration state is unrelated to the operating speed and axial load. However, when the performance of the PRSM starts to degrade, its vibration state will change accordingly, and the performance status of the PRSM can be evaluated based on the changes in the vibration state. Nevertheless, the vibration state trends vary at different locations, necessitating further research on the placement and manner of vibration sensors.
Author Contributions
Funding
Institutional Review Board Statement
Informed Consent Statement
Data Availability Statement
Conflicts of Interest
References
- Budinger, M.; Reysset, A.; El Halabi, T.; Vasiliu, C.; Maré, J.C. Optimal preliminary design of electromechanical actuators. Proc. Inst. Mech. Eng. Part G-J. Aerosp. Eng. 2014, 228, 1598–1616. [Google Scholar] [CrossRef]
- Garcia, A.; Cusidó, J.; Rosero, J.A.; Ortega, J.A.; Romeral, L. Reliable electro-mechanical actuators in aircraft. IEEE Aerosp. Electron. Syst. Mag. 2008, 23, 19. [Google Scholar] [CrossRef]
- Cai, W.; Liu, G.; Ma, S.J.; Fu, X.J.; Zhang, J.N.; Niu, M.D. A dynamic separable convolution RCNN for lubrication condition identification of planetary roller screw mechanism. Adv. Mech. Eng. 2022, 14, 16878132221091014. [Google Scholar] [CrossRef]
- Fu, X.J.; Liu, G.; Ma, S.J.; Tong, R.T.; Lim, T.C. A Comprehensive Contact Analysis of Planetary Roller Screw Mechanism. J. Mech. Des. 2018, 139, 012302. [Google Scholar] [CrossRef]
- Niu, P.; Cheng, Q.; Zhang, T.; Yang, C.; Zhang, Z.; Liu, Z. Hyperstatic mechanics analysis of guideway assembly and motion errors prediction method under thread friction coefficient uncertainties. Tribol. Int. 2023, 180, 108275. [Google Scholar] [CrossRef]
- Niu, P.; Cheng, Q.; Chen, C.; Yang, C.; Liu, Z. An approach for crucial geometric error analysis and accuracy enhancement of gantry milling machines based on generalized correlation sensitivity. J. Manuf. Process. 2024, 119, 401–413. [Google Scholar] [CrossRef]
- Sasaki, Y.; Chikazawa, G.; Nogawa, M.; Nishida, H.; Koyanagi, H.; Takatani, S. Ex vivo evaluation of a roller screw linear muscle actuator for an implantable ventricular assist device using trained and untrained latissimus dorsi muscles. Artif. Organs 1999, 23, 262–267. [Google Scholar] [CrossRef] [PubMed]
- Velinsky, S.A.; Chu, B.; Lasky, T.A. Kinematics and efficiency analysis of the planetary roller screw mechanism. J. Mech. Des. 2009, 131, 011016. [Google Scholar] [CrossRef]
- Yao, Q.; Zhang, M.C.; Liu, Y.S.; Ma, S.J. Multi-objective optimization of planetary roller screw mechanism based on improved mathematical modelling. Tribol. Int. 2021, 161, 107095. [Google Scholar] [CrossRef]
- Ma, S.J.; Cai, W.; Wu, L.P.; Liu, G.; Peng, C. Modelling of transmission accuracy of a planetary roller screw mechanism considering errors and elastic deformations. Mech. Mach. Theory 2019, 134, 151–168. [Google Scholar] [CrossRef]
- Du, X.; Chen, B.K.; Zheng, Z.D. Investigation on mechanical behavior of planetary roller screw mechanism with the effects of external loads and machining errors. Tribol. Int. 2021, 154, 106689. [Google Scholar] [CrossRef]
- Du, X.; Lu, S.; Tang, R.; Li, X.B.; Miao, J.C.; Wu, L.Y.; Yang, Z.; Chen, B.K. An efficient method for designing high-performance plane-tary roller screw mechanism with low contact stress. Tribol. Int. 2023, 187, 108709. [Google Scholar] [CrossRef]
- Qiao, G.; Liu, G.; Ma, S.J.; Shi, Z.H.; Wang, Y.W.; Lim, T.C. An improved thermal estimation model of the inverted planetary roller screw mechanism. Proc. Inst. Mech. Eng. Part C-J. Mech. Eng. Sci. 2018, 232, 4430–4446. [Google Scholar] [CrossRef]
- Niu, M.D.; Ma, S.J.; Cai, W.; Zhang, J.X.; Liu, G. Fault Diagnosis of Planetary Roller Screw Mechanism Based on Bird Swarm Algorithm and Support Vector Machine. In Proceedings of the 4th International Conference on Mechanical, Aeronautical and Automotive Engineering, Bangkok, Thailand, 26–20 February 2020; p. 1519. [Google Scholar] [CrossRef]
- Yang, Z.; Qiu, H.B.; Gao, L.; Chen, L.M.; Liu, J.S. Surrogate-assisted MOEA/D for expensive constrained multi-objective optimiza-tion. Inf. Sci. 2023, 639, 119016. [Google Scholar] [CrossRef]
- Yang, Z.; Chu, S.; Liu, J.S.; Qiu, H.B.; Xiao, M.; Gao, L. Incorporating gradient information into dimension perturbation mutation for high-dimensional expensive optimization. Swarm Evol. Comput. 2024, 84, 101446. [Google Scholar] [CrossRef]
- Meng, J.J.; Du, X.; Li, Y.M.; Chen, P.; Xia, F.C.; Wan, L. A Multiscale Accuracy Degradation Prediction Method of Planetary Roller Screw Mechanism Based on Fractal Theory Considering Thread Surface Roughness. Fractal Fract. 2022, 5, 237. [Google Scholar] [CrossRef]
- Zhang, W.J.; Liu, G.; Tong, R.T.; Ma, S.J. Load distribution of planetary roller screw mechanism and its improvement approach. Proc. Inst. Mech. Eng. Part C-J. Mech. Eng. Sci. 2016, 230, 3304–3318. [Google Scholar] [CrossRef]
- Xie, Z.J.; Xue, Q.H.; Wu, J.Q.; Gu, L.; Wang, L.Q.; Song, B.Y. Mixed-lubrication analysis of planetary roller screw. Tribol. Int. 2019, 140, 105883. [Google Scholar] [CrossRef]
- Zhang, J.X.; Zhang, J.X.; Du, C.M.; Ma, S.J.; Liu, G. Modelling of Electro-mechanical Servo System Based on the Planetary Roller Screw Mechanism. In Proceedings of the 6th International Conference on Mechatronics and Mechanical Engineering, Osaka, Japan, 27–30 November 2019; p. 306. [Google Scholar] [CrossRef]
- Abevi, F.; Daidie, A.; Chaussumier, M.; Orieux, S. Static Analysis of an Inverted Planetary Roller Screw Mechanism. J. Mech. Robot. -Trans. ASME 2016, 8, 041020. [Google Scholar] [CrossRef]
- Ma, S.J.; Zhang, C.H.; Zhang, T.; Liu, G.; Liu, S.M. Thermo-mechanical coupling-based finite element analysis of the load distribution of planetary roller screw mechanism. Adv. Mech. Eng. 2018, 10, 1687814018775254. [Google Scholar] [CrossRef]
- Du, C.M.; Liu, G.; Qiao, G.; Ma, S.J.; Ca, W. Transient thermal analysis of standard planetary roller screw mechanism based on finite element method. Adv. Mech. Eng. 2018, 10, 1687814018812305. [Google Scholar] [CrossRef]
- Zu, L.; Zhang, Z.; Gao, L. Design and bearing characteristics of planetary roller screws based on aerospace high-load conditions. Adv. Mech. Eng. 2018, 10, 1687814018811197. [Google Scholar] [CrossRef]


































| Number | Name | Value | Unit |
|---|---|---|---|
| 1 | load | 30 | |
| 2 | rate of loading | 5 | |
| 3 | running distance | 50 mm | |
| 4 | velocity | 1 | |
| 5 | number of cycles per set | 3 | |
| 6 | torque acquisition frequency | 50 |
| Number | Name | Value | Unit |
|---|---|---|---|
| 1 | Load | 0 | |
| 2 | Testing distance | 50 | |
| 3 | Speed | 1 | |
| 4 | Number of cycles | 1 | |
| 5 | Collection points | 25 |
| Name | Value | Name | Value |
|---|---|---|---|
| The middle diameter of the screw | 19.5 | pitch | 0.4 |
| The middle diameter of the roller | 6.5 | Thread profile half angle | 45 |
| The middle diameter of the nut | 32.5 | Number of rollers | 11 |
| Number of starts | 5 | Number of starts | 1 |
| Number of starts | 5 |
| Number | Name | Value | Unit |
|---|---|---|---|
| 1 | Load | 30 | |
| 2 | Rate of loading | 5 | |
| 3 | Movement distance | 50 | |
| 4 | Speed | 1 | |
| 5 | Number of cycles per set | 5 | |
| 6 | Vibration acquisition frequency | 20 | |
| 7 | Torque acquisition frequency | 50/20K | |
| 8 | Temperature acquisition frequency | 50 |
| Number | Vibration Sensor #1 | Vibration Sensor #2 | Vibration Sensor #3 | Vibration Sensor #4 |
|---|---|---|---|---|
| Group 1 | 0.000817 | 0.000001 | 1.669087 | 0.000635 |
| Group 5 | 0.000824 | 0.000001 | 1.758934 | 0.000348 |
| Group 10 | 0.000711 | 0.000001 | 1.226801 | 0.000151 |
| Group 12 | 3.391489 | 0.000018 | 0.836945 | 0.000275 |
Disclaimer/Publisher’s Note: The statements, opinions and data contained in all publications are solely those of the individual author(s) and contributor(s) and not of MDPI and/or the editor(s). MDPI and/or the editor(s) disclaim responsibility for any injury to people or property resulting from any ideas, methods, instructions or products referred to in the content. |
© 2024 by the authors. Licensee MDPI, Basel, Switzerland. This article is an open access article distributed under the terms and conditions of the Creative Commons Attribution (CC BY) license (https://creativecommons.org/licenses/by/4.0/).
Share and Cite
Chen, K.; Zhao, Y.; Zheng, J.; Shi, W.; Zhang, Z. Performance-Degradation Analysis of the Planetary Roller Screw Mechanism under Multi-Factor Coupling Effects. Sensors 2024, 24, 4460. https://doi.org/10.3390/s24144460
Chen K, Zhao Y, Zheng J, Shi W, Zhang Z. Performance-Degradation Analysis of the Planetary Roller Screw Mechanism under Multi-Factor Coupling Effects. Sensors. 2024; 24(14):4460. https://doi.org/10.3390/s24144460
Chicago/Turabian StyleChen, Kui, Yongsheng Zhao, Jigui Zheng, Wei Shi, and Zhaojing Zhang. 2024. "Performance-Degradation Analysis of the Planetary Roller Screw Mechanism under Multi-Factor Coupling Effects" Sensors 24, no. 14: 4460. https://doi.org/10.3390/s24144460
APA StyleChen, K., Zhao, Y., Zheng, J., Shi, W., & Zhang, Z. (2024). Performance-Degradation Analysis of the Planetary Roller Screw Mechanism under Multi-Factor Coupling Effects. Sensors, 24(14), 4460. https://doi.org/10.3390/s24144460

