Exploring Weak Magnetic Signal Characteristics of Pipeline Welds: Insights into Stress Non-Uniformity Effects
Abstract
1. Introduction
2. Mathematical Model Establishment
3. Weld Model Creation
4. Magneto-Mechanical Relationship Calculation
4.1. Weak Magnetic Signals in Inner Wall Welds
4.2. Weak Magnetic Signals in Outer Wall Welds
5. Experimental Results and Analysis
5.1. Experimental Materials
5.2. Inner Wall Weld Magnetic Signal
5.3. Outer Wall Weld Magnetic Signal
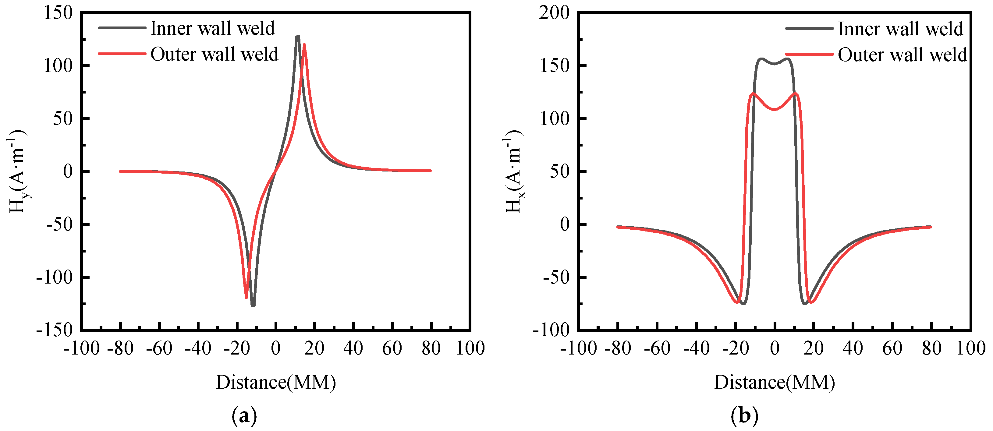
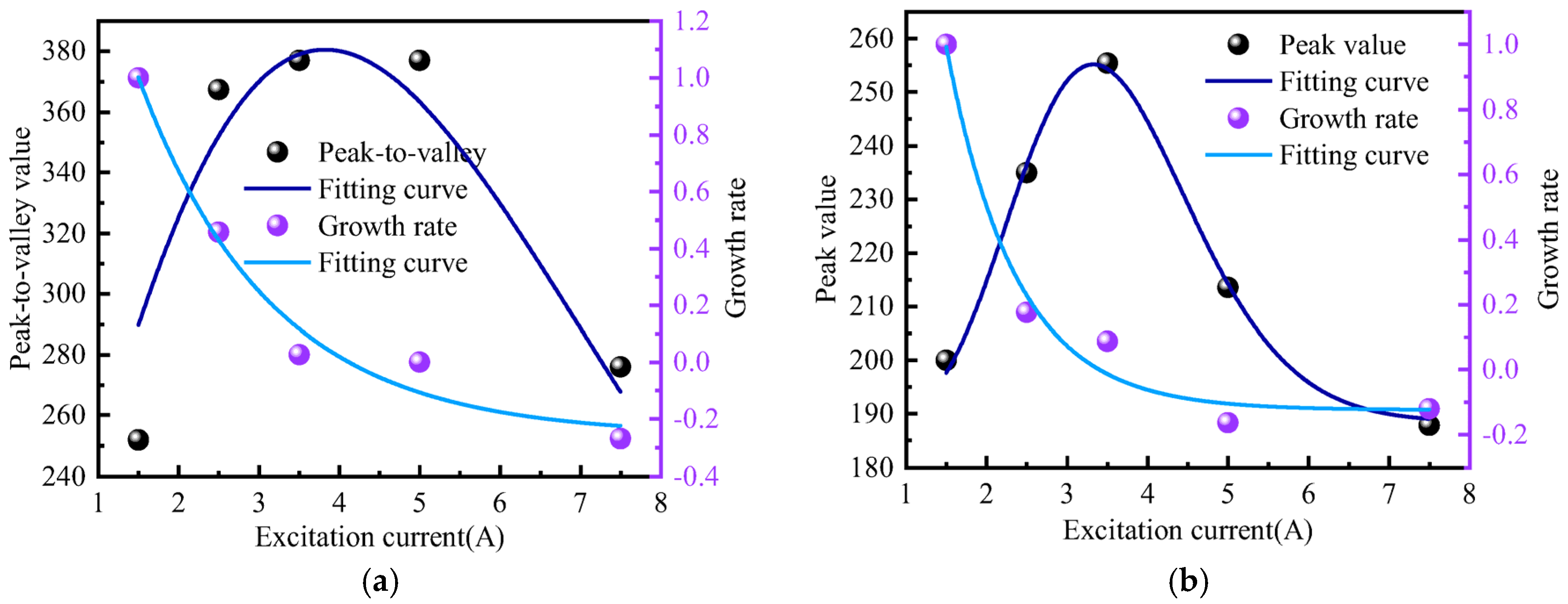
5.4. Comparison of Inner and Outer Wall Weld Magnetic Signal
6. Conclusions
Author Contributions
Funding
Institutional Review Board Statement
Informed Consent Statement
Data Availability Statement
Conflicts of Interest
References
- Yong, L.; Wang, X.; Xia, R.; Wang, K.; Liu, S. Development Trend of Oil and Gas Pipeline Integrity Management Technology. Chem. Eng. Manag. 2021, 34, 142–143. [Google Scholar] [CrossRef]
- Chen, H.; Wang, C.; Zuo, X. Research on methods of defect classification based on metal magnetic memory. NDT E Int. 2017, 92, 82–87. [Google Scholar] [CrossRef]
- Liu, B.; Cao, Y.; Zhang, H.; Lin, Y.; Sun, W.; Xu, B. Weak magnetic flux leakage: A possible method for studying pipeline defects located either inside or outside the structures. NDT E Int. 2015, 74, 81–86. [Google Scholar] [CrossRef]
- Cao, Y.; Chang, Q.; Zhen, Y. Numerical simulation of fracture behavior for the pipeline with girth weld under axial load. Eng. Fail. Anal. 2022, 136, 106221. [Google Scholar] [CrossRef]
- Feng, Q.; Chang, Q.; Jia, H.; Wu, Y.; Dai, L.; Cao, Y. Study on Numerical Simulation Method of Fracture Behavior of Pipeline Girth Weld. J. Press. Vessel. Technol. 2023, 145, 041801. [Google Scholar] [CrossRef]
- Wang, H.; Li, S.; Chen, S.; Luo, Y.; Zhang, X.; Zhou, S. Fracture of Gas Pipeline Girth Welds with High Grade Steel. Pet. Tubul. Goods Instrum. 2020, 6, 49–52. [Google Scholar] [CrossRef]
- Geng, L.; Dong, S.; Qian, W.; Peng, D. Image Classification Method Based on Improved Deep Convolutional Neural Networks for the Magnetic Flux Leakage (MFL) Signal of Girth Welds in Long-Distance Pipelines. Sustainability 2022, 14, 12102. [Google Scholar] [CrossRef]
- Feng, J.; Xiao, Q.; Zhang, H.; Li, K. Physical Compensation Approach for Feature Enhancement of High-speed MFL Signals via Magnetic Field Polarization. IEEE Trans. Ind. Electron. 2023, 71, 6377–6387. [Google Scholar] [CrossRef]
- Ou, Z.Y.; Han, Z.D.; Cen, J.S.; Li, X.X. Present Status and Perspectives of inspection Technology for Buried Pipeline. Meas. Control. Technol. 2023, 42, 1–9. [Google Scholar] [CrossRef]
- Krause, T.W.; Krause, A.K.; Underhill, P.R.; Kashefi, M. Modeling magnetization processes in steel under stress using magnetic objects. J. Appl. Phys. 2022, 131, 171101. [Google Scholar] [CrossRef]
- Liu, B.; Fu, Y.; Jian, R. Modelling and analysis of magnetic memory testing method based on the density functional theory. Nondestruct. Test. Eval. 2014, 30, 13–25. [Google Scholar] [CrossRef]
- Liu, B.; He, L.; Zhang, H.; Sfarra, S.; Fernandes, H.; Perilli, S.; Ren, J. Quantitative study of magnetic memory signal characteristic affected by external magnetic field. Measurement 2019, 131, 730–736. [Google Scholar] [CrossRef]
- Zhao, X.; Su, S.; Wang, W.; Zhang, X. Metal magnetic memory inspection of Q345B steel beam in four point bending fatigue test. J. Magn. Magn. Mater. 2020, 514, 167155. [Google Scholar] [CrossRef]
- Xu, K.; Yang, K.; Liu, J.; Chen, X.; Wang, Y. Investigation of Magnetic Memory Signal of Propagation of Buried Crack under Applied Load. Res. Nondestruct. Eval. 2020, 32, 1–9. [Google Scholar] [CrossRef]
- Saleem, A.; Underhill, P.R.; Krause, T.W. Non-Contact Measurement of Residual Magnetization Caused by Plastic Deformation of Steel. J. Nondestruct. Eval. Diagn. Progn. Eng. Syst. 2020, 3, 031111. [Google Scholar] [CrossRef]
- Villegas-Saucillo, J.J.; Díaz-Carmona, J.J.; Cerón-Álvarez, C.A.; Juárez-Aguirre, R.; Domínguez-Nicolás, S.M.; López-Huerta, F.; Herrera-May, A.L. Measurement System of Metal Magnetic Memory Method Signals around Rectangular Defects of a Ferromagnetic Pipe. Appl. Sci. 2019, 9, 2695. [Google Scholar] [CrossRef]
- Grossinger, R.; Keplinger, F.; Mehmood, N.; Espina-Hernandez, J.H.; Araujo, J.; Eisenmenger, C.; Poppenberger, K.; Hallen, J.M. Magnetic and Microstructural Investigations of Pipeline Steels. IEEE Trans. Magn. 2008, 44, 3277–3280. [Google Scholar] [CrossRef]
- Yang, L.; Zheng, F.; Gao, S.; Huang, P.; Bai, S. An analytical model of electromagnetic stress detection for pipeline based on magneto-mechanical coupling model. Chin. J. Sci. Instrum. 2021, 41, 249–258. [Google Scholar] [CrossRef]
- Liu, B.; Ma, Z.; He, L.; Wang, D.; Zhang, H.; Ren, J. Quantitative study on the propagation characteristics of MMM signal for stress internal detection of long distance oil and gas pipeline. NDT E Int. 2018, 100, 40–47. [Google Scholar] [CrossRef]
- He, G.; He, T.; Liao, K.; Deng, S.; Chen, D. Experimental and numerical analysis of non-contact magnetic detecting signal of girth welds on steel pipelines. ISA Trans. 2022, 125, 681–698. [Google Scholar] [CrossRef]
- Wang, W.; Huang, S.; Zhang, J.; Long, Y.; Wang, S.; Zhao, W. Characterization of Clustered Cracks at Weld Root Based on Uniform-Magnetic-Field Distortion Measurement. IEEE Trans. Instrum. Meas. 2022, 71, 1–10. [Google Scholar] [CrossRef]
- Jiang, B.; Li, Z.; Chen, Q. Influence of bevel angle on the welding-induced residual stress and distortion based on a thermometallurgical-mechanical model in a Q345-316L dissimilar butt welded joint. J. Adhes. Sci. Technol. 2021, 35, 2249–2273. [Google Scholar] [CrossRef]
- Galler, J.P.; DuPont, J.N.; Siefert, J.A. Influence of alloy type, peak temperature and constraint on residual stress evolution in Satoh test. Sci. Technol. Weld. Join. 2016, 21, 106–113. [Google Scholar] [CrossRef]
- Liu, B.; Wang, F.C.; Wu, Z.H.; Lian, Z.; He, L.Y.; Yang, L.J.; Tian, R.F.; Geng, H.; Tian, Y. Research on magnetic memory inspection signal characteristics of multi-parameter coupling pipeline welds. NDT E Int. 2024, 143, 103019. [Google Scholar] [CrossRef]
- Liu, Z.; Lu, Y.; Su, Y.; Ma, D.; Chen, S. Effect of longitudinal magnetic field on microstructure and properties of WQ960 steel welded joint. J. Shenyang Univ. Technol. 2016, 38, 379–383. [Google Scholar]
- Suresh, V.; Abudhahir, A. An Analytical Model for Prediction of Magnetic Flux Leakage from Surface Defects in Ferromagnetic Tubes. Meas. Sci. Rev. 2016, 16, 8–13. [Google Scholar] [CrossRef][Green Version]
- Shi, P.; Jin, K.; Zheng, X. A general nonlinear magnetomechanical model for ferromagnetic materials under a constant weak magnetic field. J. Appl. Phys. 2016, 119, 145103. [Google Scholar] [CrossRef]
- Ma, B.; Xu, H.; Cheng, K. Application of Metal Magnetic Memory Technique to Examination of Pressure Vessel. J. New Ind. 2022, 12, 58–62. [Google Scholar] [CrossRef]
- Han, H.; Zhang, F. Application of magnetic memory in remanufacturing life evaluation. Mod. Mach. 2022, 4, 80–83. [Google Scholar] [CrossRef]
- Liu, B.; Fu, Y.; He, L.; Geng, H.; Yang, L. Weak Magnetic Internal Signal Characteristics of Pipe Welds under Internal Pressure. Sensors 2023, 23, 1147. [Google Scholar] [CrossRef]
- Leng, J.; Liu, Y.; Zhou, G.; Gao, Y. Metal magnetic memory signal response to plastic deformation of low carbon steel. NDT E Int. 2013, 55, 42–46. [Google Scholar] [CrossRef]
- Shi, P.-P.; Hao, S. Analytical solution of magneto-mechanical magnetic dipolemodel for metal magnetic memory method. Acta Phys. Sin. 2021, 70, 105–114. [Google Scholar] [CrossRef]
- Liu, B.; Zheng, S.; He, L.; Zhang, H.; Ren, J. Study on Internal Detection in Oil–Gas Pipelines Based on Complex Stress Magnetomechanical Modeling. IEEE Trans. Instrum. Meas. 2020, 69, 5027–5036. [Google Scholar] [CrossRef]
- Wang, Y.; Liu, X.; Wu, B.; Xiao, J.; Wu, D.; He, C. Dipole modeling of stress-dependent magnetic flux leakage. NDT E Int. 2018, 95, 1–8. [Google Scholar] [CrossRef]
- Liu, B.; Lian, Z.; Liu, T.; Wu, Z.; Ge, Q. Study of MFL signal identification in pipelines based on non-uniform magnetic charge distribution patterns. Meas. Sci. Technol. 2023, 34, 044003. [Google Scholar] [CrossRef]
- Liu, B.; Luo, N.; Feng, G. Quantitative Study on MFL Signal of Pipeline Composite Defect Based on Improved Magnetic Charge Model. Sensors 2021, 21, 3412. [Google Scholar] [CrossRef] [PubMed]
- Hao, X.; Yin, W.; Strangwood, M.; Peyton, A.; Morris, P.; Davis, C. Off-line measurement of decarburization of steels using a multifrequency electromagnetic sensor. Scr. Mater. 2008, 58, 1033–1036. [Google Scholar] [CrossRef]
- Rumiche, F.; Indacochea, J.; Wang, M. Assessment of the Effect of Microstructure on the Magnetic Behavior of Structural Carbon Steels Using an Electromagnetic Sensor. J. Mater. Eng. Perform. 2008, 17, 586–593. [Google Scholar] [CrossRef]
- Q/BQB API SPEC 5L[S]; Specification for Line Pipe. American Petroleum Institute: Washington, DC, USA, 2018.
- Aloraier, A.S.; Joshi, S. Residual stresses in flux cored arc welding process in bead-on-plate specimens. Mater. Sci. Eng. A 2012, 534, 13–21. [Google Scholar] [CrossRef]

















| Grade | Applicable Standards | YS (MPa) | TS (MPa) | Akv (J) |
|---|---|---|---|---|
| Pipe (>762~1219) | Q/BQB API SPEC 5L [39] | ≥485 | ≥570 | ≥27 |
Disclaimer/Publisher’s Note: The statements, opinions and data contained in all publications are solely those of the individual author(s) and contributor(s) and not of MDPI and/or the editor(s). MDPI and/or the editor(s) disclaim responsibility for any injury to people or property resulting from any ideas, methods, instructions or products referred to in the content. |
© 2024 by the authors. Licensee MDPI, Basel, Switzerland. This article is an open access article distributed under the terms and conditions of the Creative Commons Attribution (CC BY) license (https://creativecommons.org/licenses/by/4.0/).
Share and Cite
Fan, X.; Yang, L. Exploring Weak Magnetic Signal Characteristics of Pipeline Welds: Insights into Stress Non-Uniformity Effects. Sensors 2024, 24, 5074. https://doi.org/10.3390/s24155074
Fan X, Yang L. Exploring Weak Magnetic Signal Characteristics of Pipeline Welds: Insights into Stress Non-Uniformity Effects. Sensors. 2024; 24(15):5074. https://doi.org/10.3390/s24155074
Chicago/Turabian StyleFan, Xiangfeng, and Lijian Yang. 2024. "Exploring Weak Magnetic Signal Characteristics of Pipeline Welds: Insights into Stress Non-Uniformity Effects" Sensors 24, no. 15: 5074. https://doi.org/10.3390/s24155074
APA StyleFan, X., & Yang, L. (2024). Exploring Weak Magnetic Signal Characteristics of Pipeline Welds: Insights into Stress Non-Uniformity Effects. Sensors, 24(15), 5074. https://doi.org/10.3390/s24155074
