Ultra-Wideband Circular Polarized Implantable Patch Antenna for Implantable Blood Glucose Detection System Applications
Abstract
1. Introduction
2. Design Methodology
2.1. Antenna Configurations
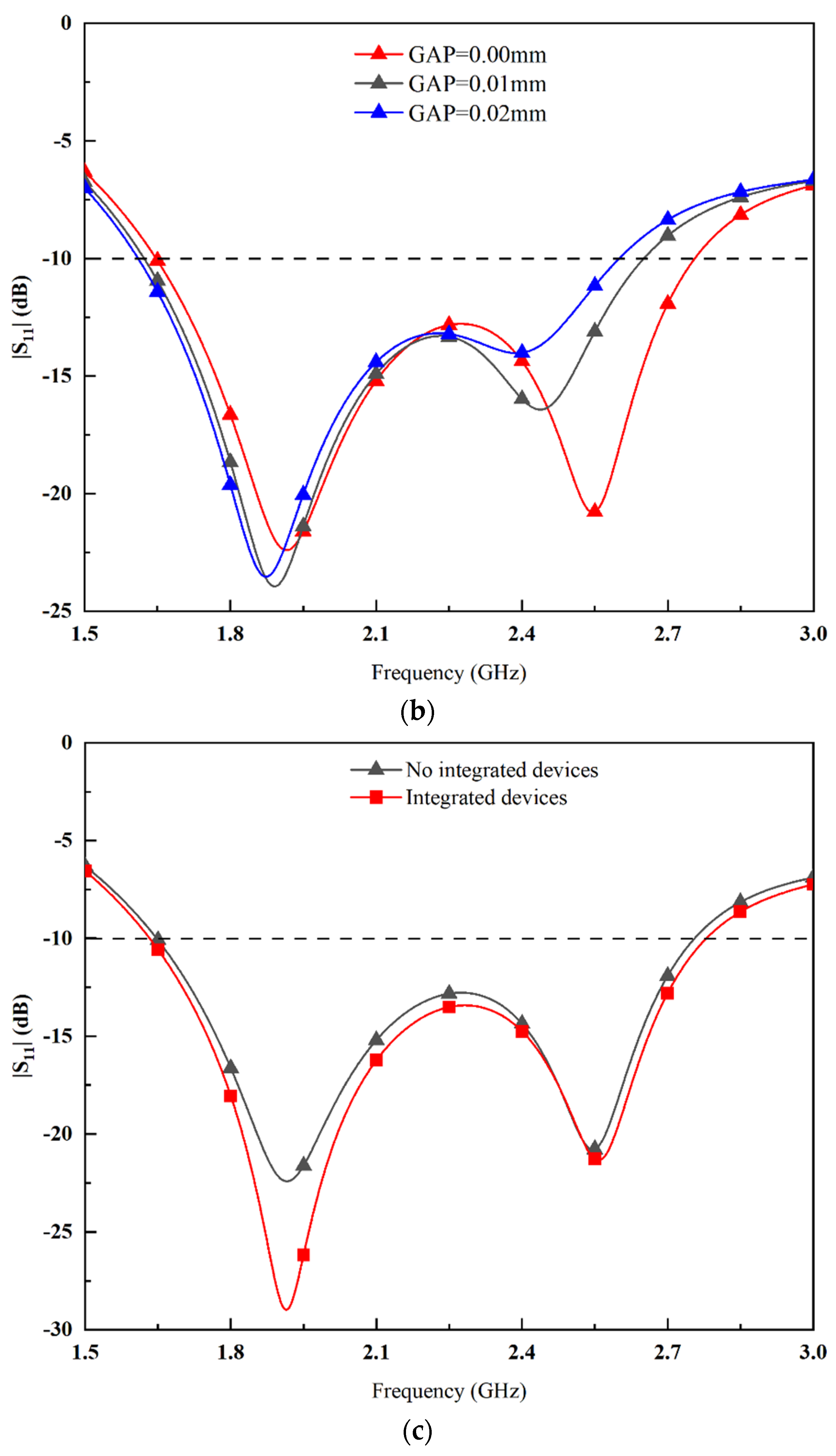
2.2. Antenna Working Principles
2.3. Radiation Patterns, Gain and SAR
3. Link Budgets
4. Antenna Tests and Discussion of Results
5. Conclusions
Author Contributions
Funding
Institutional Review Board Statement
Informed Consent Statement
Data Availability Statement
Acknowledgments
Conflicts of Interest
References
- Wang, L.; Wang, C.; Zhang, H.; Ma, P.; Zhang, S. Estimation-Correction Modeling and Chaos Control of Fractional-Order Memristor Load Buck-Boost Converter. Complex Syst. Model. Simul. 2024, 4, 67–81. [Google Scholar] [CrossRef]
- Molloy, A.; Beaumont, K.; Alyami, A.; Kirimi, M.; Hoare, D.; Mirzai, N.; Heidari, H.; Mitra, S.; Neale, S.L.; Mercer, J.R. Challenges to the Development of the Next Generation of Self-Reporting Cardiovascular Implantable Medical Devices. IEEE Rev. Biomed. Eng. 2022, 15, 260–272. [Google Scholar] [CrossRef] [PubMed]
- Gopavajhula, S.; Kumar, S.; Narasimhadhan, A.V. Dual-Band Antipodal Vivaldi Antenna for Wireless Neural Monitoring Applications. In Proceedings of the 2020 5th IEEE International Conference on Recent Advances and Innovations in Engineering (ICRAIE), Jaipur, India, 1–3 December 2020; pp. 1–4. [Google Scholar]
- Zhang, H.; Li, M.; Yang, F.; Xu, S.; Zhou, H.; Yang, Y.; Chen, L. A Low-Profile Compact Dual-Band L-Shape Monopole Antenna for Microwave Thorax Monitoring. IEEE Antennas Wirel. Propag. Lett. 2020, 19, 448–452. [Google Scholar] [CrossRef]
- Nguyen, M.A.; Bien, F.; Byun, G. Design of an Out-Folded Patch Antenna with a Zeroth-Order Resonance for Non-Invasive Continuous Glucose Monitoring. IEEE Trans. Antennas Propag. 2022, 70, 8932–8940. [Google Scholar] [CrossRef]
- Kaim, V.; Kanaujia, B.K.; Kumar, S.; Choi, H.C.; Kim, K.W.; Rambabu, K. Electrically Small Circularly Polarized UWB Intraocular Antenna System for Retinal Prosthesis. IEEE Trans. Biomed. Eng. 2022, 69, 3504–3515. [Google Scholar] [CrossRef] [PubMed]
- Bahrami, S.; Moloudian, G.; Miri-Rostami, S.R.; Björninen, T. Compact Microstrip Antennas with Enhanced Bandwidth for the Implanted and External Subsystems of a Wireless Retinal Prosthesi. IEEE Trans. Antennas Propag. 2021, 69, 2969–2974. [Google Scholar] [CrossRef]
- Woo, T.; Kim, D.; Park, C.Y.; Yoon, Y.J. Compact Wideband Loop Antenna for Earbuds. IEEE Access 2022, 10, 47340–47347. [Google Scholar] [CrossRef]
- Liu, X.; Zhu, Y.; Xie, W. A Miniaturized Wideband Directional Circularly Polarized Antenna Based on Bent Vivaldi Antenna Structure. IEEE Antennas Wirel. Propag. Lett. 2023, 22, 298–302. [Google Scholar] [CrossRef]
- Wang, Z.; Liu, Y.; Dong, Y. Novel Miniaturized Circularly Polarized Inverted-F Antenna with Planar Configuration. IEEE Antennas Wirel. Propag. Lett. 2024, 23, 1005–1009. [Google Scholar] [CrossRef]
- Li, J.; Hao, S.-J.; Cui, Y.-G.; Chen, X. A Miniaturized Wideband Dual-Polarized Planar Antenna Based on Multiresonance. IEEE Antennas Wirel. Propag. Lett. 2022, 21, 242–246. [Google Scholar] [CrossRef]
- Saghanezhad, S.A.H.; Atlasbaf, Z. Miniaturized Dual-Band CPW-Fed Antennas Loaded with U-Shaped Metamaterials. IEEE Antennas Wirel. Propag. Lett. 2015, 14, 658–661. [Google Scholar] [CrossRef]
- Zhao, Z.; Liu, F.; Ren, J.; Liu, Y.; Yin, Y. Dual-Sense Circularly Polarized Antenna with a Dual-Coupled Line. IEEE Antennas Wirel. Propag. Lett. 2020, 19, 1415–1419. [Google Scholar] [CrossRef]
- Lee, C.S.; Fan, Y.; Ezzat, M. Single-Feed Circularly Polarized Microstrip Antenna with Bethe Holes on the Radiating Patch. IEEE Trans. Antennas Propag. 2020, 68, 4935–4938. [Google Scholar] [CrossRef]
- Wang, W.; Chen, C.; Wang, S.; Wu, W. Circularly Polarized Patch Antenna with Filtering Performance Using Polarization Isolation and Dispersive Delay Line. IEEE Antennas Wirel. Propag. Lett. 2020, 19, 1457–1461. [Google Scholar] [CrossRef]
- Li, R.; Guo, Y. A Conformal UWB Dual-Polarized Antenna for Wireless Capsule Endoscope Systems. IEEE Antennas Wirel. Propag. Lett. 2021, 20, 483–487. [Google Scholar] [CrossRef]
- Liu, R.; Zhang, K.; Li, Z.; Cui, W.; Liang, W.; Wang, M.; Fan, C.; Zheng, H.; Li, E. A Wideband Circular Polarization Implantable Antenna for Health Monitor Microsystem. IEEE Antennas Wirel. Propag. Lett. 2021, 20, 848–852. [Google Scholar] [CrossRef]
- Nikolayev, D.; Zhadobov, M.; Le Coq, L.; Karban, P.; Sauleau, R. Robust Ultraminiature Capsule Antenna for Ingestible and Implantable Applications. IEEE Trans. Antennas Propag. 2017, 65, 6107–6119. [Google Scholar] [CrossRef]
- Sun, X.-Y.; Wu, B.; Zhang, H.H.; Guo, K.X.; Xie, H.Y.; Song, X.Z.; Su, T. Ultrawideband Circularly Polarized Halved-Type Vivaldi Antenna with Symmetrical Radiation Pattern. IEEE Antennas Wirel. Propag. Lett. 2024, 23, 633–637. [Google Scholar] [CrossRef]
- Kamel, Y.A.; Mohamed, H.A.; ELsadek, H.; ELhennawy, H.M. Miniaturized Triple-Band Circular- Polarized Implantable Patch Antenna for Bio-Telemetry Applications. IEEE Antennas Wirel. Propag. Lett. 2023, 22, 74–78. [Google Scholar] [CrossRef]
- Tian, X.; Wang, J.; Zheng, C.; Du, Z. Shared-Radiator Wideband Grounded Patch Antenna Pair with Bending Slot for Mobile Terminals. IEEE Trans. Antennas Propag. 2024, 72, 3724–3729. [Google Scholar] [CrossRef]
- Song, Z.; Xu, X.; Shi, Y.; Wang, L. Design of a Compact Circularly Polarized Implantable Antenna for Capsule Endoscopy Systems. Sensors 2024, 24, 3960. [Google Scholar] [CrossRef] [PubMed]
- Battistini, G.; Paolini, G.; Costanzo, A.; Masotti, D. A Novel 3-D Printed Dual-Port Rectenna for Simultaneous Energy Harvesting and Backscattering of a Passively Generated UWB Pulse. IEEE Trans. Microw. Theory Tech. 2024, 72, 812–821. [Google Scholar] [CrossRef]
- Shah, S.N.; Zada, M.; Nasir, J.; Shah, S.M.A.; Arnieri, E.; Yoo, H. Dual-Band Two-Port MIMO Antenna for Biomedical Deep Tissue Communication: Design, Characterization, and Performance Analysis. IEEE Access 2023, 11, 104622–104632. [Google Scholar] [CrossRef]
- Jing, D.; Li, H.; Ding, X.; Shao, W.; Xiao, S. Compact and Broadband Circularly Polarized Implantable Antenna for Wireless Implantable Medical Devices. IEEE Antennas Wirel. Propag. Lett. 2023, 22, 1236–1240. [Google Scholar] [CrossRef]
- Ahlawat, S.; Kaim, V.; Kanaujia, B.K.; Singh, N.; Rambabu, K.; Singh, S.P.; Lay-Ekuakille, A. Design and Performance Measurement of Implantable Differential Integrated Antenna for Wireless Biomedical Instrumentation Applications. IEEE Trans. Instrum. Meas. 2022, 71, 1–10. [Google Scholar] [CrossRef]
- Liu, K.; Li, Z.; Cui, W.; Zhang, K.; Wang, M.; Fan, C.; Zheng, H.; Li, E. Investigation of Conformal MIMO Antenna for Implantable Devices Based on Theory of Characteristic Modes. IEEE Trans. Antennas Propag. 2022, 70, 11324–11334. [Google Scholar] [CrossRef]
- Sharma, D.; Kaim, V.; Kanaujia, B.K.; Singh, N.; Kumar, S.; Rambabu, K. A Triple Band Circularly Polarized Antenna for Leadless Cardiac Transcatheter Pacing System. IEEE Trans. Antennas Propag. 2022, 70, 4287–4298. [Google Scholar] [CrossRef]
- Zhang, K.; Särestöniemi, M.; Myllymäki, S.; Soh, P.J.; Chen, J.; Yan, S. A Wideband Circularly Polarized Antenna with Metasurface Plane for Biomedical Telemetry. IEEE Antennas Wirel. Propag. Lett. 2024, 23, 1879–1883. [Google Scholar] [CrossRef]
- Shah, S.M.A.; Zada, M.; Nasir, J.; Owais, O.; Iqbal, A.; Yoo, H. Miniaturized Four-Port MIMO Implantable Antenna for High-Data-Rate Wireless-Capsule-Endoscopy Applications. IEEE Trans. Antennas Propag. 2023, 71, 3123–3133. [Google Scholar] [CrossRef]
- Xiao, C.; Hao, S.; Zhang, Y. 915 MHz Miniaturized Loop Conformal Antenna for Capsule Endoscope. IEEE Trans. Antennas Propag. 2022, 70, 10233–10244. [Google Scholar] [CrossRef]























| Parameter | Value | Parameter | Value |
|---|---|---|---|
| L1 | 9.0 | W4 | 0.5 |
| L2 | 9.8 | W5 | 0.5 |
| L3 | 7.5 | W6 | 5.5 |
| W1 | 0.2 | R1 | 4.2 |
| W2 | 0.379 | R2 | 2.7 |
| W3 | 0.2 | d1 | 0.5 |
| Transmitter | ||
| Operating frequency | 1.9 GHz | 2.45 GHz |
| Tx power Pt (dBm) | 4.24 | 5.02 |
| Tx antenna gain Gt (dBi) | −18.8 | −19.1 |
| Receiver | ||
| Rx antenna Gain Gr (dBi) | 2.15 | 2.15 |
| Polarization | CP | CP |
| Ambient temperature T0 (K) | 293 | 293 |
| Receiver noise figure NF (dB) | 3.5 | 3.5 |
| Boltzmann constant k | 1.38 × 10−23 | 1.38 × 10−23 |
| Noise power density (dB/Hz) | −199.95 | −199.95 |
| Signal quality | ||
| Bite rate Br (Mb/s) | 1 | 1 |
| Bite error rate | 1.0 × 10−5 | 1.0 × 10−5 |
| Eb/N0 (ideal-BPSK) (dB) | 9.6 | 9.6 |
| Coding gain (dB) | 0 | 0 |
| Fixing deterioration Gd (dB) | 2.5 | 2.5 |
| Ref. | Tissue | Size (mm) | Frequency (GHz) | Permittivity (εr) | Conductivity S/m (σ) | Shape |
|---|---|---|---|---|---|---|
| [5] | skin, fat | 30 × 30 × 5.2 | 2.45 | 5.2749 | 0.26 | cuboid |
| [19] | skin, fat, muscle | 130 × 130 × 45.27 | 2.45 1.90 | 5.28 53.4 | 0.26 1.39 | cuboid |
| [23] | skin, fat, muscle | 100 × 100 × 100 | 2.45 | 52.7 | 1.74 | cube |
| [24] | skin | 100 × 100 × 100 | 2.45 | 38 | 1.46 | cube |
| [25] | skin skin | 120 × 120 × 40 | 2.45 0.915 | 38 11.3 | 1.46 0.11 | cuboid |
| [26] | skin | 100 × 100 × 100 | 2.45 | 42.92 | 1.56 | cube |
| This work. | skin | 89.8 × 89.8 × 26.27 | 1.90 2.45 | 53.4 38 | 1.39 1.46 | cuboid |
| Ref. | Size (λ03) | Frequency (GHz) | FBW(%) | 3-dB AR (%) | Gain (dBi) | CP | Tissue |
|---|---|---|---|---|---|---|---|
| [5] | 0.167 × 0.291 × 0.03 | 2.45 | 6.7 | no | −2.0 | no | fat |
| [20] | 0.08 × 0.08 × 0.01 | 2.45 1.9 | 18.7 7.5 | 17.26 1.37 | −18.5 −21.8 | yes yes | fat muscle |
| [24] | 0.09 × 0.047 × 0.002 | 2.45 | 6.1 | no | −22.2 | no | muscle |
| [25] | 0.08 × 0.08 × 0.01 | 2.45 | 30 | 28.7 | −24.7 | yes | skin |
| [26] | 0.103 × 0.103 × 0.01 | 2.45 0.915 | 10.2 16.4 | no no | −21.2 −30.3 | no no | skin |
| [27] | 0.13 × 0.07 × 0.03 | 2.45 | 14.3 | no | −20.0 | no | skin |
| This work. | 0.054 × 0.054 × 0.01 | 1.90 2.45 | 57.9 44.9 | 31.4 24.1 | −24.6 −20.0 | yes yes | skin |
Disclaimer/Publisher’s Note: The statements, opinions and data contained in all publications are solely those of the individual author(s) and contributor(s) and not of MDPI and/or the editor(s). MDPI and/or the editor(s) disclaim responsibility for any injury to people or property resulting from any ideas, methods, instructions or products referred to in the content. |
© 2024 by the authors. Licensee MDPI, Basel, Switzerland. This article is an open access article distributed under the terms and conditions of the Creative Commons Attribution (CC BY) license (https://creativecommons.org/licenses/by/4.0/).
Share and Cite
Song, Z.; Li, M. Ultra-Wideband Circular Polarized Implantable Patch Antenna for Implantable Blood Glucose Detection System Applications. Sensors 2024, 24, 5292. https://doi.org/10.3390/s24165292
Song Z, Li M. Ultra-Wideband Circular Polarized Implantable Patch Antenna for Implantable Blood Glucose Detection System Applications. Sensors. 2024; 24(16):5292. https://doi.org/10.3390/s24165292
Chicago/Turabian StyleSong, Zhiwei, and Mengke Li. 2024. "Ultra-Wideband Circular Polarized Implantable Patch Antenna for Implantable Blood Glucose Detection System Applications" Sensors 24, no. 16: 5292. https://doi.org/10.3390/s24165292
APA StyleSong, Z., & Li, M. (2024). Ultra-Wideband Circular Polarized Implantable Patch Antenna for Implantable Blood Glucose Detection System Applications. Sensors, 24(16), 5292. https://doi.org/10.3390/s24165292

