Flexible Pressure Sensors Based on P(VDF-TrFE) Films Incorporated with Ag@PDA@PZT Particles
Abstract
1. Introduction
2. Materials and Methods
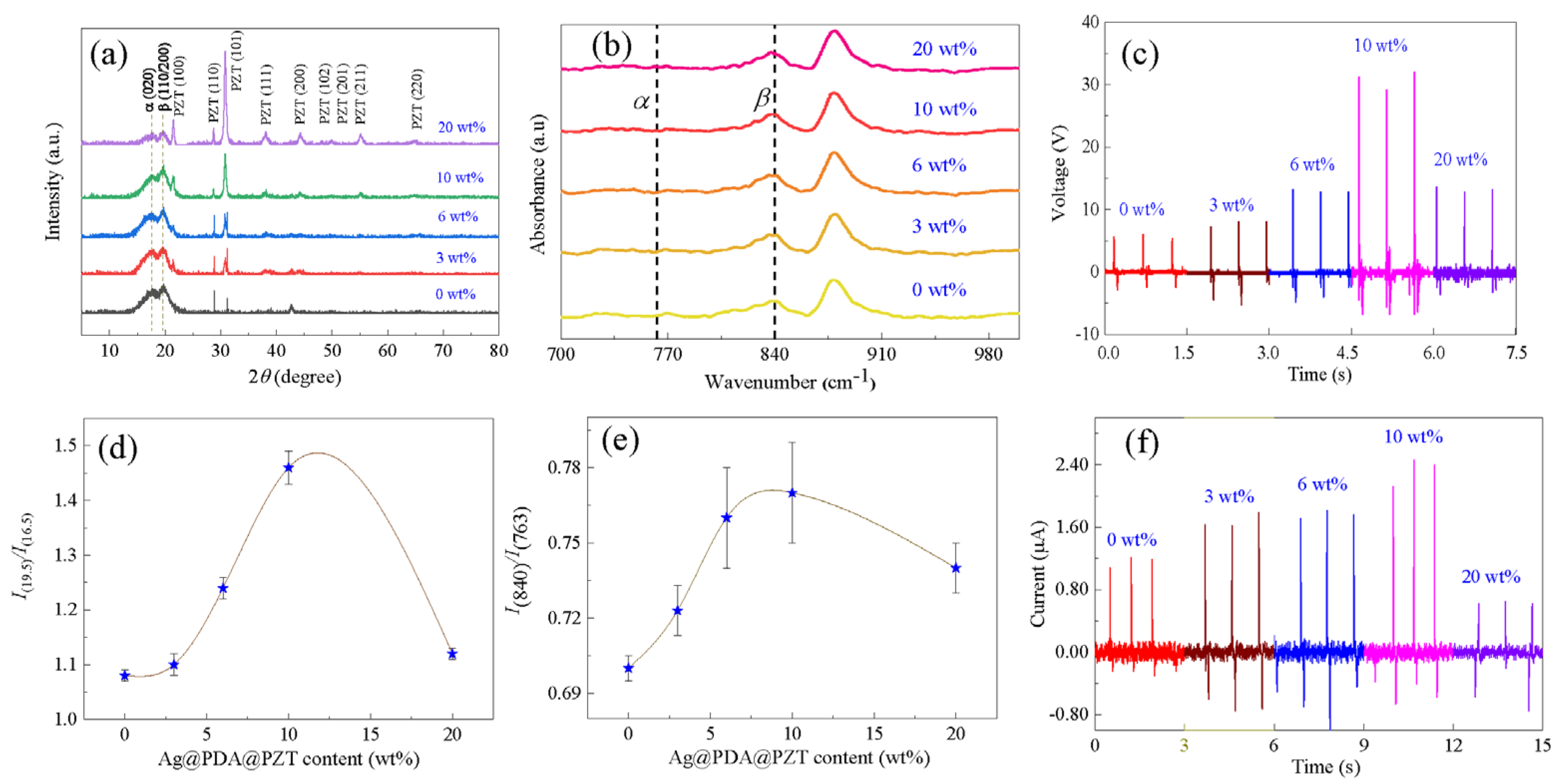
3. Results
4. Discussion
5. Conclusions
Supplementary Materials
Author Contributions
Funding
Institutional Review Board Statement
Informed Consent Statement
Data Availability Statement
Conflicts of Interest
References
- Yuan, X.; Mai, Z.; Li, Z.; Yu, Z.; Ci, P.; Dong, S. A 3D-printing approach toward flexible piezoelectronics with function diversity. Mater. Today 2023, 69, 160–192. [Google Scholar]
- Yang, X.; Chen, W.; Fan, Q.; Chen, J.; Chen, Y.; Lai, F.; Liu, H. Electronic Skin for Health Monitoring Systems: Properties, Functions, and Applications. Adv. Mater. 2024, 36, 2402542. [Google Scholar]
- Das, K.K.; Basu, B.; Maiti, P.; Dubey, A.K. Piezoelectric nanogenerators for self-powered wearable and implantable bioelectronic devices. Acta Biomater. 2023, 171, 85–113. [Google Scholar]
- Kim, D.B.; Kim, J.Y.; Han, J.; Cho, Y.S. Strain engineering in power-generating and self-powered nanodevices. Nano Energy 2024, 125, 109551. [Google Scholar]
- Huang, Q.; Jiang, Y.; Duan, Z.; Wu, Y.; Yuan, Z.; Zhang, M.; Tai, H. Ion gradient induced self-powered flexible pressure sensor. Chem. Eng. J. 2024, 490, 151660. [Google Scholar]
- Stepancikova, R.; Olejnik, R.; Matyas, J.; Masar, M.; Hausnerova, B.; Slobodian, P. Pressure-Driven Piezoelectric Sensors and Energy Harvesting in Biaxially Oriented Polyethylene Terephthalate Film. Sensors 2024, 24, 1275. [Google Scholar] [CrossRef]
- Mohammadpourfazeli, S.; Arash, S.; Ansari, A.; Yang, S.; Mallick, K.; Bagherzadeh, R. Future prospects and recent developments of polyvinylidene fluoride (PVDF) piezoelectric polymer; fabrication methods, structure, and electro-mechanical properties. RSC Adv. 2023, 13, 370–387. [Google Scholar]
- Liu, F.; Hashim, N.A.; Liu, Y.; Abed, M.R.M.; Li, K. Progress in the production and modification of PVDF membranes. J. Membr. Sci. 2011, 375, 1–27. [Google Scholar]
- Zhou, J.; Xu, L.; Zhang, L.; Zhang, J.; Zhang, A. Electrospun Polyvinylidene Fluoride Nanogenerator with Hydrophobic Properties and Enhanced Energy Harvesting for Wearable and Wireless Sensing. ACS Appl. Electron. Mater. 2024, 6, 2026–2038. [Google Scholar]
- Zhang, F.; Wang, G.; Lin, N.; Zhou, J.; Zhong, S.; Yuan, M.; Li, B.; Zhou, W. Synergistic promotion of inter-particle and intra-particle polarizations in BST@TiO2/PVDF nanocomposites towards elevated dielectric properties. Compos. Sci. Technol. 2024, 251, 110547. [Google Scholar]
- Yao, H.; Xia, Z.; Wang, J.; Lin, H.; Yang, H.; Zhang, Q. Porous, Self-Polarized Ferroelectric Polymer Films Exhibiting Behavior Reminiscent of Morphotropic Phase Boundary Induced by Size-Dependent Interface Effect for Self-Powered Sensing. ACS Nano 2024, 18, 9470–9485. [Google Scholar] [PubMed]
- Wu, B.; Yang, Y.; Wang, L.; Xu, H.; Huang, Y.; Kang, J.; Xiong, Y.; Yin, K.; Nie, M.; Sun, L. SnO2 induced electrostatic polarization PVDF composite nanofibers for efficient energy harvesting and self-powered wireless monitoring /motion recognition systems. Chem. Eng. J. 2024, 495, 153483. [Google Scholar]
- Park, C.; Lim, W.; Joshi, B.; Kim, T.; Samuel, E.; Aldalbahi, A.; Periyasami, G.; Ding, B.; Yoon, S.S. Enhancing the piezoelectric coefficient of SrTiO3 nanocubes and PVDF film deposited by supersonic spraying for energy-harvesting nanogenerators. Chem. Eng. J. 2024, 491, 151945. [Google Scholar]
- Mahanty, B.; Ghosh, S.K.; Prasad, G.; Shanmugasundaram, A.; Lee, D.-W. Giant Energy Harvesting via Maxwell Displacement Current Enhancement Using Metal Sheet Interspaced Hetero-Layer Structured Piezo-Composite Nanofiber Device. Adv. Funct. Mater. 2024, 34, 2307723. [Google Scholar]
- Joshi, B.; Kim, T.; Lim, W.; Samuel, E.; Park, C.; Aldalbahi, A.; El-Newehy, M.; Lee, H.-S.; An, S.; Yoon, S.S. Beta-phase transformation of polyvinylidene fluoride with supersonically sprayed ZnSnO3 cuboids for flexible piezoelectric nanogenerators. J. Mater. Sci. Technol. 2024, 177, 103–113. [Google Scholar]
- Huan, Y.; Zhang, X.; Song, J.; Zhao, Y.; Wei, T.; Zhang, G.; Wang, X. High-performance piezoelectric composite nanogenerator based on Ag/(K,Na)NbO3 heterostructure. Nano Energy 2018, 50, 62–69. [Google Scholar]
- Sasmal, A.; Seetharaman, A.; Maiti, P.; Sudhakar, S.; Arockiarajan, A. Charge-defect tuned PVDF based ternary biocompatible composite as skin touch actuated single electrode triboelectric nanogenerator for wireless healthcare monitoring. Chem. Eng. J. 2024, 487, 150573. [Google Scholar]
- Xia, J.; Lu, H.; Chen, G.; Lin, D.; Yang, W.; Liu, C.; Hu, B.; Zhao, Y. High performance piezoelectric nanogenerator by fiber microstructure engineering toward self-powered wireless sensing system. Nano Energy 2024, 128, 109901. [Google Scholar]
- Cui, Y.; Zhang, T.; Feng, Y.; Zhang, C.; Chi, Q.; Zhang, Y.; Chen, Q.; Wang, X.; Lei, Q. Excellent energy storage density and efficiency in blend polymer-based composites by design of core-shell structured inorganic fibers and sandwich structured films. Compos. B Eng. 2019, 177, 107429. [Google Scholar]
- Huan, Y.; Wei, T.; Wang, Z.; Shen, H.; Lin, X.; Huang, S.; Wang, X. Ultrahigh energy harvesting properties in Ag decorated potassium-sodium niobite particle-polymer composite. J. Mater. 2020, 6, 355–363. [Google Scholar]
- Shuai, C.; Liu, G.; Yang, Y.; Qi, F.; Peng, S.; Yang, W.; He, C.; Wang, G.; Qian, G. A strawberry-like Ag-decorated barium titanate enhances piezoelectric and antibacterial activities of polymer scaffold. Nano Energy 2020, 74, 104825. [Google Scholar]
- Sasmal, A.; Patra, A.; Devi, P.S.; Sen, S. Space charge induced augmented dielectric permittivity and improved energy harvesting ability of nano-Ag decorated ZnSnO3 filled PVDF based flexible nanogenerator. Compos. Sci. Technol. 2021, 213, 108916. [Google Scholar]
- Qin, W.; Zhou, P.; Xu, X.; Huang, C.; Srinivasan, G.; Qi, Y.; Zhang, T. High-Performance Piezoelectric Nanogenerator Based on Low-Entropy Structured Nanofibers for a Multi-Mode Energy Harvesting and Self-Powered Ultraviolet Photodetector. ACS Appl. Electron. Mater. 2022, 4, 2970–2978. [Google Scholar]
- Cao, C.; Zhou, P.; Wang, J.; Chen, D.; Huang, C.; Qi, Y.; Zhang, T. Enhanced energy harvesting performance via interfacial polarization in ternary piezoelectric composites for self-powered flexible pressure sensing application. Ceram. Int. 2023, 49, 22377–22385. [Google Scholar]
- Cao, C.; Zhou, P.; Wang, J.; Liu, M.; Wang, P.; Qi, Y.; Zhang, T. Ultrahigh sensitive and rapid-response self-powered flexible pressure sensor based on sandwiched piezoelectric composites. J. Colloid Interf. Sci. 2024, 664, 902–915. [Google Scholar]
- Wang, J.; Zhao, C.; Cao, C.; Liu, M.; Liu, Z.; Zhou, P.; Wang, G.; Zhang, T.; Qi, Y. Boosting Sensing Performance of Flexible Piezoelectric Pressure Sensors by Sb Nanosheets and BaTiO3 Nanoparticles Co-Doping in P(VDF-TrFE) Nanofibers Mat. Adv. Electron. Mater. 2023, 10, 2300718. [Google Scholar]
- Zhang, T.; Huo, X.; Wang, L.; Ma, F.; Hou, Y. Effectively improved energy storage performances of poly (vinylidene fluoride)-based nanocomposites via loading low fractions of TiO2@Fe3O4@ethylenediamine hybrid nanowires. J. Phys. D: Appl. Phys. 2023, 56, 435503. [Google Scholar]
- Hou, L.; Huan, Y.; Zheng, M.; Liu, Y.; Wang, C.; Wang, X.; Li, C.; Wang, Z.; Wei, T. 3D vertically aligned microchannel structure to enhance piezoelectric energy harvesting performance of PZT/PVDF&CNTs piezoelectric composites. J. Mater. 2024, 10, 1063–1070. [Google Scholar]
- Mukherjee, A.; Ghosh, B.D.; Roy, S.; Goh, K.L. Ultra strong flexible Ba0.7Sr0.3Zr0.02Ti0.98O3/MWCNT/PVDF Nanocomposites: Pioneering material with remarkable energy storage for Self-Powered devices. Chem. Eng. J. 2024, 488, 151014. [Google Scholar]
- Sasikumar, R.; Cho, S.; Waqar, A.; Ishfaque, A.; Choi, D.; Kim, B. Microcrack-assisted piezoelectric acoustic sensor based on f-MWCNTs/BaTiO3@PDMS nanocomposite and its self-powered voice recognition applications. Chem. Eng. J. 2024, 479, 147297. [Google Scholar]
- Yang, X.; Li, Y.; Guo, H.; Xiao, S.; Yuan, C.; Zhang, C.; Sun, H. Efficient energy harvesting enabled by large-area piezoelectric PVDF-based composite film enhanced by carbon nanotubes. Ceram. Int. 2024, 50, 12185–12194. [Google Scholar]
- Xu, H.; Xi, K.; Gao, X.; Yu, X.; Zheng, M.; Zhu, M.; Hou, Y. Flexible Hybridized Nanogenerators Based on a Reduced Graphene Oxide Nanosheet-Decorated Piezoceramic Skeleton to Impact Mechanical and Thermal Energy Harvesting. ACS Appl. Nano Mater. 2024, 7, 1120–1129. [Google Scholar]
- Song, Y.; Shen, Y.; Liu, H.; Lin, Y.; Li, M.; Nan, C.-W. Improving the dielectric constants and breakdown strength of polymer composites: Effects of the shape of the BaTiO3 nanoinclusions, surface modification and polymer matrix. J. Mater. Chem. 2012, 22, 16491–16498. [Google Scholar]
- Wang, J.; Fu, Y.; Liu, F.; Cao, C.; Liu, M.; Yu, L.; Zhou, P.; Shang, X.; Wang, G.; Zhang, T.; et al. Enhanced self-polarization effect by tuning interfacial binding energy for self-powered flexible piezoelectric pressure sensors. Sens. Actuat. A Phys. 2024, 374, 115473. [Google Scholar]
- Gu, W.; Zhao, B.; Yang, B.; Cai, Z.; Shang, X.; Zhou, T.; Guo, J. Achieving superior electrical properties of PZT-PNN piezoelectric ceramics through low-temperature sintering with PbO-CuO eutectic additives. J. Eur. Ceram. 2022, 42, 3831–3840. [Google Scholar]
- Zhao, J.; Zheng, M.; Gao, X.; Zhu, M.; Hou, Y. High-performance flexible piezocomposites based on an enhanced interfacial polarization effect via BCZT@Ag heterostructure design. J. Alloy Compd. 2024, 970, 172702. [Google Scholar]
- Thakur, P.; Kool, A.; Bagchi, B.; Hoque, N.A.; Das, S.; Nandy, P. Improvement of electroactive β phase nucleation and dielectric properties of WO3·H2O nanoparticle loaded poly(vinylidene fluoride) thin films. RSC Adv. 2015, 5, 62819–62827. [Google Scholar]
- Yadav, P.; Raju, T.D.; Badhulika, S. Self-Poled hBN-PVDF Nanofiber Mat-Based Low-Cost, Ultrahigh-Performance Piezoelectric Nanogenerator for Biomechanical Energy Harvesting. ACS Appl. Electron. Mater. 2020, 2, 1970–1980. [Google Scholar]
- Han, J.; Kim, D.B.; Kim, J.H.; Kim, S.W.; Ahn, B.U.; Cho, Y.S. Origin of high piezoelectricity in carbon nanotube/halide nanocrystal/P(VDF-TrFE) composite nanofibers designed for bending-energy harvesters and pressure sensors. Nano Energy 2022, 99, 107421. [Google Scholar]
- Liang, J.; Luo, J.; Zhang, J.; Xiong, Y.; Tan, S. Constructing a High-Density Thermally Conductive Network through Electrospinning–Hot-Pressing of BN@PDA/GO/PVDF Composites. ACS Appl. Polym. Mater. 2022, 4, 2414–2422. [Google Scholar]








Disclaimer/Publisher’s Note: The statements, opinions and data contained in all publications are solely those of the individual author(s) and contributor(s) and not of MDPI and/or the editor(s). MDPI and/or the editor(s) disclaim responsibility for any injury to people or property resulting from any ideas, methods, instructions or products referred to in the content. |
© 2024 by the authors. Licensee MDPI, Basel, Switzerland. This article is an open access article distributed under the terms and conditions of the Creative Commons Attribution (CC BY) license (https://creativecommons.org/licenses/by/4.0/).
Share and Cite
Mei, Y.; Cao, C.; Zhou, P.; Wang, J.; Liu, M.; Shang, X.; Jiang, J.; Qi, Y.; Zhang, T. Flexible Pressure Sensors Based on P(VDF-TrFE) Films Incorporated with Ag@PDA@PZT Particles. Sensors 2024, 24, 5415. https://doi.org/10.3390/s24165415
Mei Y, Cao C, Zhou P, Wang J, Liu M, Shang X, Jiang J, Qi Y, Zhang T. Flexible Pressure Sensors Based on P(VDF-TrFE) Films Incorporated with Ag@PDA@PZT Particles. Sensors. 2024; 24(16):5415. https://doi.org/10.3390/s24165415
Chicago/Turabian StyleMei, Yingzheng, Chuan Cao, Peng Zhou, Jianqiao Wang, Miaoxuan Liu, Xunzhong Shang, Juan Jiang, Yajun Qi, and Tianjin Zhang. 2024. "Flexible Pressure Sensors Based on P(VDF-TrFE) Films Incorporated with Ag@PDA@PZT Particles" Sensors 24, no. 16: 5415. https://doi.org/10.3390/s24165415
APA StyleMei, Y., Cao, C., Zhou, P., Wang, J., Liu, M., Shang, X., Jiang, J., Qi, Y., & Zhang, T. (2024). Flexible Pressure Sensors Based on P(VDF-TrFE) Films Incorporated with Ag@PDA@PZT Particles. Sensors, 24(16), 5415. https://doi.org/10.3390/s24165415
