Statistics of the Sum of Double Random Variables and Their Applications in Performance Analysis and Optimization of Simultaneously Transmitting and Reflecting Reconfigurable Intelligent Surface-Assisted Non-Orthogonal Multi-Access Systems
Abstract
1. Introduction
- We provide a comprehensive review of the statistics (including the probability density function (PDF) and/or the cumulative distribution function (CDF)) of the sum of double random variables, which plays an important role in the derivation of the performance factors of RIS-assisted networks.
- We propose a novel STAR-RIS-assisted NOMA framework that integrates power beacons (PBs) for energy harvesting, enabling self-sustainable and energy-efficient communication. The probability density function (PDF) and cumulative distribution function (CDF) are considered to validate the accuracy of the approximation method used to model the channel characteristics.
- We derive closed-form expressions for the OP, ergodic rate, and average symbol error rate of the proposed system, considering both perfect and imperfect SIC scenarios. In order to shed light on the design and optimization of EH–PB–STAR-RIS–NOMA systems, we examine the effects of SIC on system performance.
- We provide a comprehensive performance analysis and optimization framework for STAR-RIS-assisted NOMA systems, paving the way for their practical implementation in future wireless networks. Furthermore, analysis and simulation results evaluate the impact of important parameters on performance. To confirm the correctness of our analytical model and to show the advantages of the suggested framework over traditional NOMA and OMA systems, we verify our analytical results through Monte Carlo simulations.
2. Review of the Statistics of the Sum of Double Random Variables
2.1. Sum of Double Rayleigh Random Variables
2.2. Sum of Double Nakagami-m Random Variables
2.3. Sum of Double - Random Variables
3. System Model and Channel Characteristics
3.1. System Model
3.2. Channel Characteristics
4. Outage Probability Analysis
4.1. Outage Probability
4.2. Outage Probability
4.3. Diversity Analysis
5. Evaluation of Ergodic Rate
5.1. Ergodic Rate of
5.2. Ergodic Rate of with Imperfect SIC
5.3. Ergodic Rate of with Perfect SIC
5.4. Average Symbol Error Rate
5.5. Average SER of
5.6. Average SER of
6. Optimal Performance Analysis
| Algorithm 1: Optimization algorithm to find based on the golden section method. |
| Input: Initialize , , the golden section search and a stopping threshold |
| Output: The optimal of that minimum the OP |
![]() |
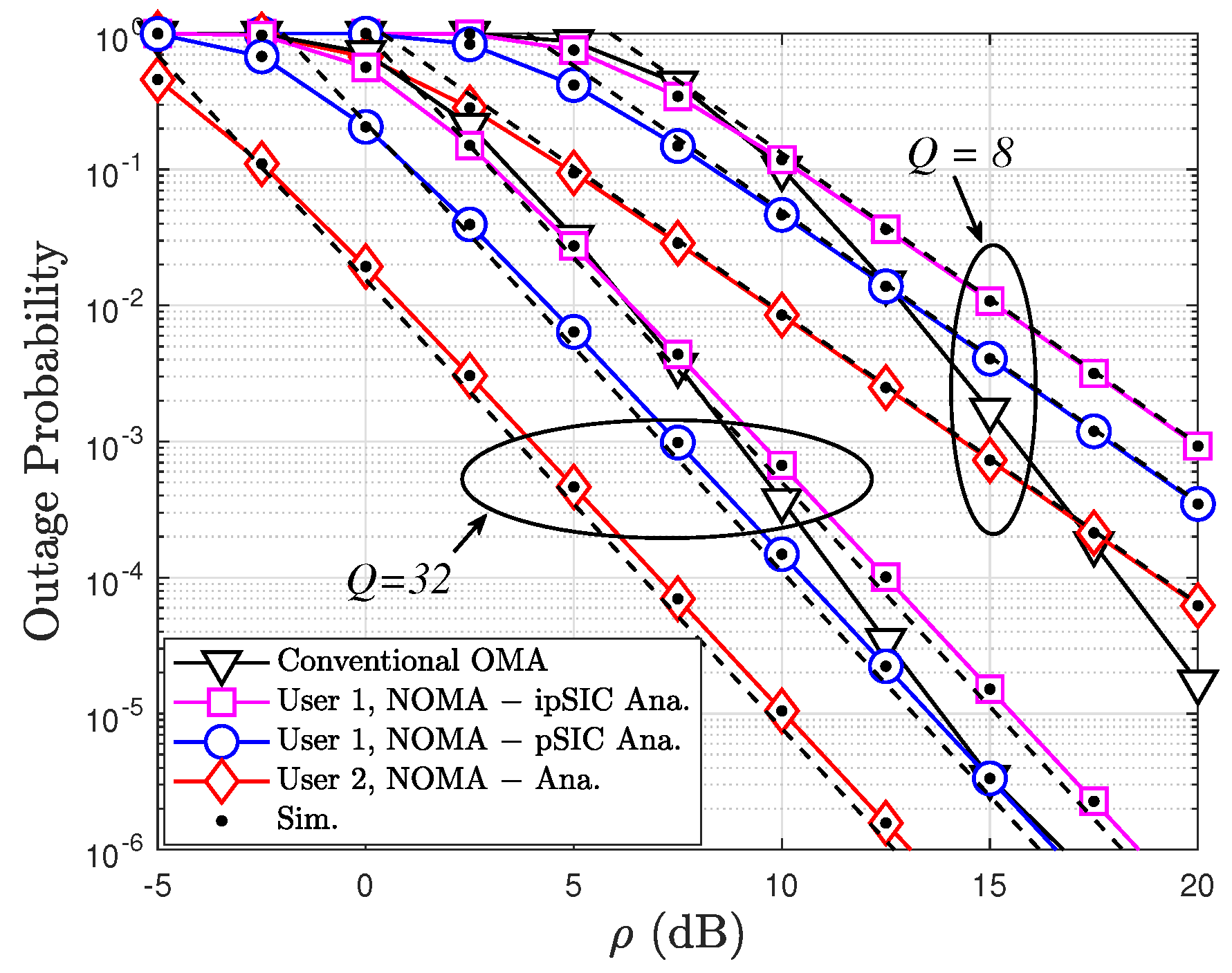
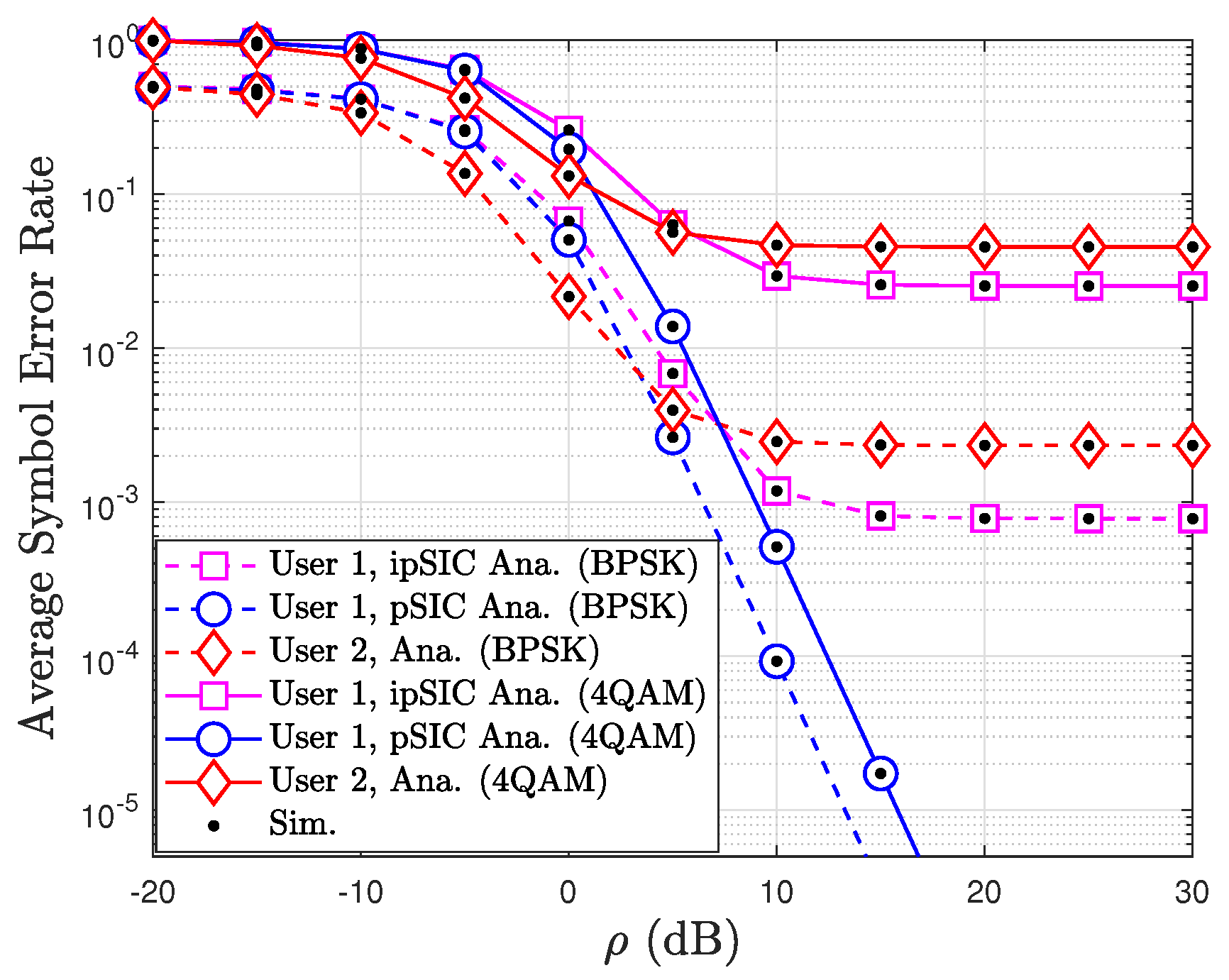
7. Numerical Results
8. Conclusions
Author Contributions
Funding
Institutional Review Board Statement
Informed Consent Statement
Data Availability Statement
Conflicts of Interest
References
- Lin, Z.; Lin, M.; de Cola, T.; Wang, J.B.; Zhu, W.P.; Cheng, J. Supporting IoT With Rate-Splitting Multiple Access in Satellite and Aerial-Integrated Networks. IEEE Internet Things J. 2021, 8, 11123–11134. [Google Scholar] [CrossRef]
- Khan, W.U.; Liu, J.; Jameel, F.; Sharma, V.; Jäntti, R.; Han, Z. Spectral Efficiency Optimization for Next Generation NOMA-Enabled IoT Networks. IEEE Trans. Veh. Technol. 2020, 69, 15284–15297. [Google Scholar] [CrossRef]
- Nguyen, T.T.T.; Do, D.T. Exploiting Full-duplex and Fixed Power Allocation Approaches for Dual-hop Transmission in Downlink NOMA. Adv. Electr. Electron. Eng. 2021, 19, 212–221. [Google Scholar] [CrossRef]
- Islam, S.M.R.; Avazov, N.; Dobre, O.A.; Kwak, K.s. Power-Domain Non-Orthogonal Multiple Access (NOMA) in 5G Systems: Potentials and Challenges. IEEE Commun. Surv. Tutorials 2017, 19, 721–742. [Google Scholar] [CrossRef]
- Nguyen, H.; Nguyen, T.N.; Minh, B.V.; Pham, T.H.T.; Le, A.T.; Voznak, M. Security-Reliability Analysis in CR-NOMA IoT Network Under I/Q Imbalance. IEEE Access 2023, 11, 119045–119056. [Google Scholar] [CrossRef]
- Le, A.T.; Tran, D.H.; Le, C.B.; Tin, P.T.; Nguyen, T.N.; Ding, Z.; Poor, H.V.; Voznak, M. Power Beacon and NOMA-Assisted Cooperative IoT Networks With Co-Channel Interference: Performance Analysis and Deep Learning Evaluation. IEEE Trans. Mob. Comput. 2024, 23, 7270–7283. [Google Scholar] [CrossRef]
- Thuan, D.H.; Nguyen, N.T.; Nguyen, X.T.; Hau, N.T.; Minh, B.V.; Nguyen, T.N. Uplink and downlink of energy harvesting NOMA system: Performance analysis. J. Inf. Telecommun. 2024, 8, 92–107. [Google Scholar] [CrossRef]
- Wan, D.; Huang, R.; Wen, M.; Chen, G.; Ji, F.; Li, J. A Simple Multicarrier Transmission Technique Combining Transmit Diversity and Data Multiplexing for Non-Orthogonal Multiple Access. IEEE Trans. Veh. Technol. 2021, 70, 7216–7220. [Google Scholar] [CrossRef]
- Nguyen, H.S.; Ly, T.T.H.; Nguyen, T.S.; Huynh, V.V.; Nguyen, T.L.; Voznak, M. Outage Performance Analysis and SWIPT Optimization in Energy-Harvesting Wireless Sensor Network Deploying NOMA. Sensors 2019, 19, 613. [Google Scholar] [CrossRef]
- Do, D.T.; Nguyen, T.T.T.; Nguyen, T.N.; Li, X.; Voznak, M. Uplink and downlink NOMA transmission using full-duplex UAV. IEEE Access 2020, 8, 164347–164364. [Google Scholar] [CrossRef]
- Ly, T.T.H.; Nguyen, H.S.; Nguyen, T.S.; Huynh, V.V.; Nguyen, T.L.; Voznak, M. Outage Probability Analysis in Relaying Cooperative Systems with NOMA Considering Power Splitting. Symmetry 2019, 11, 72. [Google Scholar] [CrossRef]
- Nguyen, V.V.; Tran, T.T.; Tri, V.V.; Huynh, V.V.; Nguyen, H.S.; Voznak, M. Power-splitting protocol non-orthogonal multiple access (NOMA) in 5G systems: Outage performance. In Proceedings of the 10th International Symposium on Information and Communication Technology, Hanoi Ha Long Bay, Vietnam, 4–6 December 2019; pp. 224–228. [Google Scholar] [CrossRef]
- Hoc, L.T.T.; Nguyen, H.S.; Ma, Q.P.; Huynh, V.V.; Nguyen, T.L.; Phuoc, H.T.; Voznak, M. Outage and Bit Error Probability Analysis in Energy Harvesting Wireless Cooperative Networks. Elektron. Ir Elektrotechnika 2019, 25, 69–74. [Google Scholar] [CrossRef]
- Van, H.T.; Nguyen, H.S.; Nguyen, T.S.; Huynh, V.V.; Nguyen, T.L.; Sevcik, L.; Voznak, M. Outage Performance Analysis of Non-Orthogonal Multiple Access with Time-Switching Energy Harvesting. Elektron. Ir Elektrotechnika 2019, 25, 85–91. [Google Scholar] [CrossRef]
- Phan, V.D.; Nguyen, B.C.; Hoang, T.M.; Nguyen, T.N.; Tran, P.T.; Minh, B.V.; Voznak, M. Performance of Cooperative Communication System With Multiple Reconfigurable Intelligent Surfaces Over Nakagami-m Fading Channels. IEEE Access 2022, 10, 9806–9816. [Google Scholar] [CrossRef]
- Quang, P.; Kien, N.; Duy, T.; An, N.; Tung, N.; Le, A.V. Performance evaluation of reconfigurable intelligent surface aided multi-hop relaying schemes with short packet communication. Adv. Electr. Electron. Eng. 2024, 22, 97–106. [Google Scholar] [CrossRef]
- Lin, Z.; Niu, H.; An, K.; Wang, Y.; Zheng, G.; Chatzinotas, S.; Hu, Y. Refracting RIS-Aided Hybrid Satellite-Terrestrial Relay Networks: Joint Beamforming Design and Optimization. IEEE Trans. Aerosp. Electron. Syst. 2022, 58, 3717–3724. [Google Scholar] [CrossRef]
- Niu, H.; Chu, Z.; Zhou, F.; Zhu, Z.; Zhen, L.; Wong, K.K. Robust Design for Intelligent Reflecting Surface-Assisted Secrecy SWIPT Network. IEEE Trans. Wirel. Commun. 2022, 21, 4133–4149. [Google Scholar] [CrossRef]
- Zhu, Z.; Li, Z.; Chu, Z.; Sun, G.; Hao, W.; Liu, P.; Lee, I. Resource Allocation for Intelligent Reflecting Surface Assisted Wireless Powered IoT Systems With Power Splitting. IEEE Trans. Wirel. Commun. 2022, 21, 2987–2998. [Google Scholar] [CrossRef]
- Yang, G.; Xu, X.; Liang, Y.C. Intelligent Reflecting Surface Assisted Non-Orthogonal Multiple Access. In Proceedings of the 2020 IEEE Wireless Communications and Networking Conference (WCNC), Seoul, Republic of Korea, 25–28 May 2020; pp. 1–6. [Google Scholar] [CrossRef]
- Le, A.T.; Hieu, T.D.; Nguyen, T.N.; Le, T.L.; Nguyen, S.Q.; Voznak, M. Physical layer security analysis for RIS-aided NOMA systems with non-colluding eavesdroppers. Comput. Commun. 2024, 219, 194–203. [Google Scholar] [CrossRef]
- Ding, Z.; Schober, R.; Poor, H.V. On the Impact of Phase Shifting Designs on IRS-NOMA. IEEE Wirel. Commun. Lett. 2020, 9, 1596–1600. [Google Scholar] [CrossRef]
- Mu, X.; Liu, Y.; Guo, L.; Lin, J.; Al-Dhahir, N. Exploiting Intelligent Reflecting Surfaces in NOMA Networks: Joint Beamforming Optimization. IEEE Trans. Wirel. Commun. 2020, 19, 6884–6898. [Google Scholar] [CrossRef]
- Elhattab, M.; Arfaoui, M.A.; Assi, C.; Ghrayeb, A. Reconfigurable Intelligent Surface Assisted Coordinated Multipoint in Downlink NOMA Networks. IEEE Commun. Lett. 2021, 25, 632–636. [Google Scholar] [CrossRef]
- Hou, T.; Liu, Y.; Song, Z.; Sun, X.; Chen, Y.; Hanzo, L. Reconfigurable Intelligent Surface Aided NOMA Networks. IEEE J. Sel. Areas Commun. 2020, 38, 2575–2588. [Google Scholar] [CrossRef]
- Zhang, C.; Yi, W.; Liu, Y.; Wang, Q. Multi-cell NOMA: Coherent Reconfigurable Intelligent Surfaces Model With Stochastic Geometry. In Proceedings of the ICC 2021—IEEE International Conference on Communications, Montreal, QC, Canada, 14–23 June 2021; pp. 1–6. [Google Scholar] [CrossRef]
- Ding, Z.; Vincent Poor, H. A Simple Design of IRS-NOMA Transmission. IEEE Commun. Lett. 2020, 24, 1119–1123. [Google Scholar] [CrossRef]
- Yue, X.; Liu, Y. Performance Analysis of Intelligent Reflecting Surface Assisted NOMA Networks. IEEE Trans. Wirel. Commun. 2022, 21, 2623–2636. [Google Scholar] [CrossRef]
- Xu, J.; Liu, Y.; Mu, X.; Dobre, O.A. STAR-RISs: Simultaneous Transmitting and Reflecting Reconfigurable Intelligent Surfaces. IEEE Commun. Lett. 2021, 25, 3134–3138. [Google Scholar] [CrossRef]
- Liu, Y.; Mu, X.; Xu, J.; Schober, R.; Hao, Y.; Poor, H.V.; Hanzo, L. STAR: Simultaneous Transmission and Reflection for 360° Coverage by Intelligent Surfaces. IEEE Wirel. Commun. 2021, 28, 102–109. [Google Scholar] [CrossRef]
- Wu, C.; Liu, Y.; Mu, X.; Gu, X.; Dobre, O.A. Coverage Characterization of STAR-RIS Networks: NOMA and OMA. IEEE Commun. Lett. 2021, 25, 3036–3040. [Google Scholar] [CrossRef]
- Mu, X.; Liu, Y.; Guo, L.; Lin, J.; Schober, R. Simultaneously Transmitting and Reflecting (STAR) RIS Aided Wireless Communications. IEEE Trans. Wirel. Commun. 2022, 21, 3083–3098. [Google Scholar] [CrossRef]
- Ni, W.; Liu, Y.; Eldar, Y.C.; Yang, Z.; Tian, H. STAR-RIS Integrated Nonorthogonal Multiple Access and Over-the-Air Federated Learning: Framework, Analysis, and Optimization. IEEE Internet Things J. 2022, 9, 17136–17156. [Google Scholar] [CrossRef]
- Hou, T.; Wang, J.; Liu, Y.; Sun, X.; Li, A.; Ai, B. A Joint Design for STAR-RIS Enhanced NOMA-CoMP Networks: A Simultaneous-Signal-Enhancement-and-Cancellation-Based (SSECB) Design. IEEE Trans. Veh. Technol. 2022, 71, 1043–1048. [Google Scholar] [CrossRef]
- Niu, H.; Chu, Z.; Zhou, F.; Xiao, P.; Al-Dhahir, N. Weighted Sum Rate Optimization for STAR-RIS-Assisted MIMO System. IEEE Trans. Veh. Technol. 2022, 71, 2122–2127. [Google Scholar] [CrossRef]
- Niu, H.; Chu, Z.; Zhou, F.; Zhu, Z. Simultaneous Transmission and Reflection Reconfigurable Intelligent Surface Assisted Secrecy MISO Networks. IEEE Commun. Lett. 2021, 25, 3498–3502. [Google Scholar] [CrossRef]
- Zuo, J.; Liu, Y.; Ding, Z.; Song, L.; Poor, H.V. Joint Design for Simultaneously Transmitting and Reflecting (STAR) RIS Assisted NOMA Systems. IEEE Trans. Wirel. Commun. 2023, 22, 611–626. [Google Scholar] [CrossRef]
- Zhang, C.; Yi, W.; Liu, Y.; Ding, Z.; Song, L. STAR-IOS Aided NOMA Networks: Channel Model Approximation and Performance Analysis. IEEE Trans. Wirel. Commun. 2022, 21, 6861–6876. [Google Scholar] [CrossRef]
- Xie, Z.; Yi, W.; Wu, X.; Liu, Y.; Nallanathan, A. STAR-RIS Aided NOMA in Multicell Networks: A General Analytical Framework With Gamma Distributed Channel Modeling. IEEE Trans. Commun. 2022, 70, 5629–5644. [Google Scholar] [CrossRef]
- Liu, Y.; Mu, X.; Schober, R.; Poor, H.V. Simultaneously Transmitting and Reflecting (STAR)-RISs: A Coupled Phase-Shift Model. In Proceedings of the ICC 2022—IEEE International Conference on Communications, Seoul, Republic of Korea, 16–20 May 2022; pp. 2840–2845. [Google Scholar] [CrossRef]
- Aldababsa, M.; Khaleel, A.; Basar, E. Simultaneous transmitting and ReflectingIntelligent surfaces-empowered NOMA networks. arXiv 2021, arXiv:2110.05311. [Google Scholar] [CrossRef]
- Zuo, J.; Liu, Y.; Ding, Z.; Wang, X. Uplink noma for star-ris networks. arXiv 2021, arXiv:2110.05686. [Google Scholar] [CrossRef]
- Zhang, Z.; Chen, J.; Liu, Y.; Wu, Q.; He, B.; Yang, L. On the Secrecy Design of STAR-RIS Assisted Uplink NOMA Networks. IEEE Trans. Wirel. Commun. 2022, 21, 11207–11221. [Google Scholar] [CrossRef]
- Wu, C.; Mu, X.; Liu, Y.; Gu, X.; Wang, X. Resource Allocation in STAR-RIS-Aided Networks: OMA and NOMA. IEEE Trans. Wirel. Commun. 2022, 21, 7653–7667. [Google Scholar] [CrossRef]
- Zhao, B.; Zhang, C.; Yi, W.; Liu, Y. Ergodic Rate Analysis of STAR-RIS Aided NOMA Systems. IEEE Commun. Lett. 2022, 26, 2297–2301. [Google Scholar] [CrossRef]
- Do, D.T. Optimal Energy Har vesting Scheme for Power Beacon-Assisted Wireless-Powered Networks. Indones. J. Electr. Eng. Comput. Sci. 2017, 7, 802–808. [Google Scholar]
- Tin, P.T.; Dinh, B.H.; Nguyen, T.N.; Ha, D.H.; Trang, T.T. Power Beacon-Assisted Energy Harvesting Wireless Physical Layer Cooperative Relaying Networks: Performance Analysis. Symmetry 2020, 12, 106. [Google Scholar] [CrossRef]
- Nguyen, T.N.; Tu, L.T.; Fazio, P.; Van Chien, T.; Le, C.V.; Binh, H.T.T.; Voznak, M. On the Dilemma of Reliability or Security in Unmanned Aerial Vehicle Communications Assisted by Energy Harvesting Relaying. IEEE J. Sel. Areas Commun. 2024, 42, 52–67. [Google Scholar] [CrossRef]
- Minh, B.; Tran, M.; Phan, V.; Hieu, N. D2D Communication Network with the Assistance of Power Beacon under the Impact of Co-channel Interferences and Eavesdropper: Performance Analysis. Adv. Electr. Electron. Eng. 2024, 21, 351–359. [Google Scholar] [CrossRef]
- Vu, T.H.; Kim, S. Performance Evaluation of Power-Beacon-Assisted Wireless-Powered NOMA IoT-Based Systems. IEEE Internet Things J. 2021, 8, 11655–11665. [Google Scholar] [CrossRef]
- Do, D.T.; Nguyen, M.S.V.; Nguyen, T.N.; Li, X.; Choi, K. Enabling Multiple Power Beacons for Uplink of NOMA-Enabled Mobile Edge Computing in Wirelessly Powered IoT. IEEE Access 2020, 8, 148892–148905. [Google Scholar] [CrossRef]
- Zhang, Y.; Feng, S.; Tang, W. Performance Analysis and Optimization for Power Beacon-Assisted Wireless Powered Cooperative NOMA Systems. IEEE Access 2020, 8, 198436–198450. [Google Scholar] [CrossRef]
- Lei, J.; Zhang, T.; Mu, X.; Liu, Y. NOMA for STAR-RIS Assisted UAV Networks. IEEE Trans. Commun. 2024, 72, 1732–1745. [Google Scholar] [CrossRef]
- Alanazi, F. Intelligent reflecting surfaces with energy harvesting for Nakagami fading channels. Telecommun. Syst. 2021, 78, 351–361. [Google Scholar] [CrossRef]
- Zhang, B.; Yang, K.; Wang, K.; Zhang, G. Performance Analysis of RIS-Assisted Wireless Communications With Energy Harvesting. IEEE Trans. Veh. Technol. 2023, 72, 1325–1330. [Google Scholar] [CrossRef]
- Alanazi, F. Non orthogonal multiple access with energy harvesting using reconfigurable intelligent surfaces for Rayleigh channels. Wirel. Pers. Commun. 2022, 12, 2161–2181. [Google Scholar] [CrossRef]
- Alakoca, H.; Babaei, M.; Durak-Ata, L.; Basar, E. RIS-Empowered Non-Linear Energy Harvesting Communications Over Nakagami-m Channels. IEEE Commun. Lett. 2022, 26, 2215–2219. [Google Scholar] [CrossRef]
- Badarneh, O.S. Statistics of the Product of Two α-F Variates With Applications. IEEE Commun. Lett. 2021, 25, 1761–1765. [Google Scholar] [CrossRef]
- Tegos, S.A.; Tyrovolas, D.; Diamantoulakis, P.D.; Liaskos, C.K.; Karagiannidis, G.K. On the Distribution of the Sum of Double-Nakagami-m Random Vectors and Application in Randomly Reconfigurable Surfaces. IEEE Trans. Veh. Technol. 2022, 71, 7297–7307. [Google Scholar] [CrossRef]
- Silva, H.S.; Lourenço, G.B.L.C.; Queiroz, W.J.L.; Oliveira, A.S.R.; Madeiro, F.; Badarneh, O.S.; Dias, U.S.; de Souza, R.A.A. On the Sum of α-F and Double α-F VariatesWith Application to MRC and RIS. IEEE Commun. Lett. 2022, 26, 2894–2898. [Google Scholar] [CrossRef]
- Do, T.N.; Kaddoum, G.; Nguyen, T.L.; da Costa, D.B.; Haas, Z.J. Multi-RIS-Aided Wireless Systems: Statistical Characterization and Performance Analysis. IEEE Trans. Commun. 2021, 69, 8641–8658. [Google Scholar] [CrossRef]
- Gradshteyn, I.S.; Ryzhik, I.M. Table of Integrals, Series, and Products; Academic Press: Cambridge, MA, USA, 2014. [Google Scholar]
- Yacoub, M.D. The κ-μ distribution and the η-μ distribution. IEEE Antennas Propag. Mag. 2007, 49, 68–81. [Google Scholar] [CrossRef]
- Li, X.; Zheng, Y.; Zeng, M.; Liu, Y.; Dobre, O.A. Enhancing Secrecy Performance for STAR-RIS NOMA Networks. IEEE Trans. Veh. Technol. 2023, 72, 2684–2688. [Google Scholar] [CrossRef]
- Goldsmith, A. Wireless Communications; Cambridge University Press: Cambridge, UK, 2005. [Google Scholar]
- Abramowitz, M.; Stegun, I.A. Handbook of Mathematical Functions with Formulas, Graphs, and Mathematical Tables; US Government Printing Office: Washington, DC, USA, 1948; Volume 55.
- An, K.; Lin, M.; Ouyang, J.; Zhu, W.P. Secure Transmission in Cognitive Satellite Terrestrial Networks. IEEE J. Sel. Areas Commun. 2016, 34, 3025–3037. [Google Scholar] [CrossRef]
- Nguyen, T.N.; Tran, D.H.; Chien, T.V.; Phan, V.D.; Voznak, M.; Tin, P.T.; Chatzinotas, S.; Ng, D.W.K.; Poor, H.V. Security–Reliability Tradeoff Analysis for SWIPT- and AF-Based IoT Networks With Friendly Jammers. IEEE Internet Things J. 2022, 9, 21662–21675. [Google Scholar] [CrossRef]
- Nguyen, T.N.; Tu, L.T.; Tran, D.H.; Phan, V.D.; Voznak, M.; Chatzinotas, S.; Ding, Z. Outage Performance of Satellite Terrestrial Full-Duplex Relaying Networks With co-Channel Interference. IEEE Wirel. Commun. Lett. 2022, 11, 1478–1482. [Google Scholar] [CrossRef]
- Nguyen, T.N.; Duy, T.T.; Tran, P.T.; Voznak, M.; Li, X.; Poor, H.V. Partial and Full Relay Selection Algorithms for AF Multi-Relay Full-Duplex Networks With Self-Energy Recycling in Non-Identically Distributed Fading Channels. IEEE Trans. Veh. Technol. 2022, 71, 6173–6188. [Google Scholar] [CrossRef]
- Huynh, V.V.; Tan-Loc, N.; Quoc-Phu, M.; Sevcik, L.; Nguyen, H.S.; Voznak, M. Energy Efficiency Maximization of Two-Time-Slot and Three-Time-Slot Two-Way Relay-Assisted Device-to-Device Underlaying Cellular Networks. Energies 2020, 13, 3422. [Google Scholar] [CrossRef]
- Al-qudah, Z.; Darabkh, K. A simple Encoding Scheme to Achieve the Capacity of Half-Duplex Relay Channel. Adv. Electr. Electron. Eng. 2022, 20, 33–42. [Google Scholar] [CrossRef]
- Paris, J.F. Statistical Characterization of κ − μ Shadowed Fading. IEEE Trans. Veh. Technol. 2014, 63, 518–526. [Google Scholar] [CrossRef]











| Parameter | Notation | Values |
|---|---|---|
| Total reflecting elements | Q | 32 |
| Power allocation factors | ||
| Target rates used to decode and | BPCU | |
| The fading parameter | m | 2 |
| The energy conversion efficiency | 1 | |
| The fraction of the block time | ||
| The efficiency of SIC for | ℓ |
| Channel | Parameters of the Distribution |
|---|---|
| One-sided Gaussian | |
| Rayleigh | |
| Nakagami-m | |
| Rician with parameter K | |
Disclaimer/Publisher’s Note: The statements, opinions and data contained in all publications are solely those of the individual author(s) and contributor(s) and not of MDPI and/or the editor(s). MDPI and/or the editor(s) disclaim responsibility for any injury to people or property resulting from any ideas, methods, instructions or products referred to in the content. |
© 2024 by the authors. Licensee MDPI, Basel, Switzerland. This article is an open access article distributed under the terms and conditions of the Creative Commons Attribution (CC BY) license (https://creativecommons.org/licenses/by/4.0/).
Share and Cite
Minh, B.V.; Tran, P.T.; Pham, T.-H.T.; Le, A.-T.; Le, S.-P.; Partila, P. Statistics of the Sum of Double Random Variables and Their Applications in Performance Analysis and Optimization of Simultaneously Transmitting and Reflecting Reconfigurable Intelligent Surface-Assisted Non-Orthogonal Multi-Access Systems. Sensors 2024, 24, 6148. https://doi.org/10.3390/s24186148
Minh BV, Tran PT, Pham T-HT, Le A-T, Le S-P, Partila P. Statistics of the Sum of Double Random Variables and Their Applications in Performance Analysis and Optimization of Simultaneously Transmitting and Reflecting Reconfigurable Intelligent Surface-Assisted Non-Orthogonal Multi-Access Systems. Sensors. 2024; 24(18):6148. https://doi.org/10.3390/s24186148
Chicago/Turabian StyleMinh, Bui Vu, Phuong T. Tran, Thu-Ha Thi Pham, Anh-Tu Le, Si-Phu Le, and Pavol Partila. 2024. "Statistics of the Sum of Double Random Variables and Their Applications in Performance Analysis and Optimization of Simultaneously Transmitting and Reflecting Reconfigurable Intelligent Surface-Assisted Non-Orthogonal Multi-Access Systems" Sensors 24, no. 18: 6148. https://doi.org/10.3390/s24186148
APA StyleMinh, B. V., Tran, P. T., Pham, T.-H. T., Le, A.-T., Le, S.-P., & Partila, P. (2024). Statistics of the Sum of Double Random Variables and Their Applications in Performance Analysis and Optimization of Simultaneously Transmitting and Reflecting Reconfigurable Intelligent Surface-Assisted Non-Orthogonal Multi-Access Systems. Sensors, 24(18), 6148. https://doi.org/10.3390/s24186148


