Terahertz Refractive Index and Temperature Dual-Parameter Sensor Based on Surface Plasmon Resonance in Two-Channel Photonic Crystal Fiber
Abstract
1. Introduction
2. Fiber Structure Design and Numerical Method
3. Results and Discussion
3.1. Dispersion Relation and Mode Coupling Characteristics
3.2. Dynamic Tunable Characteristics
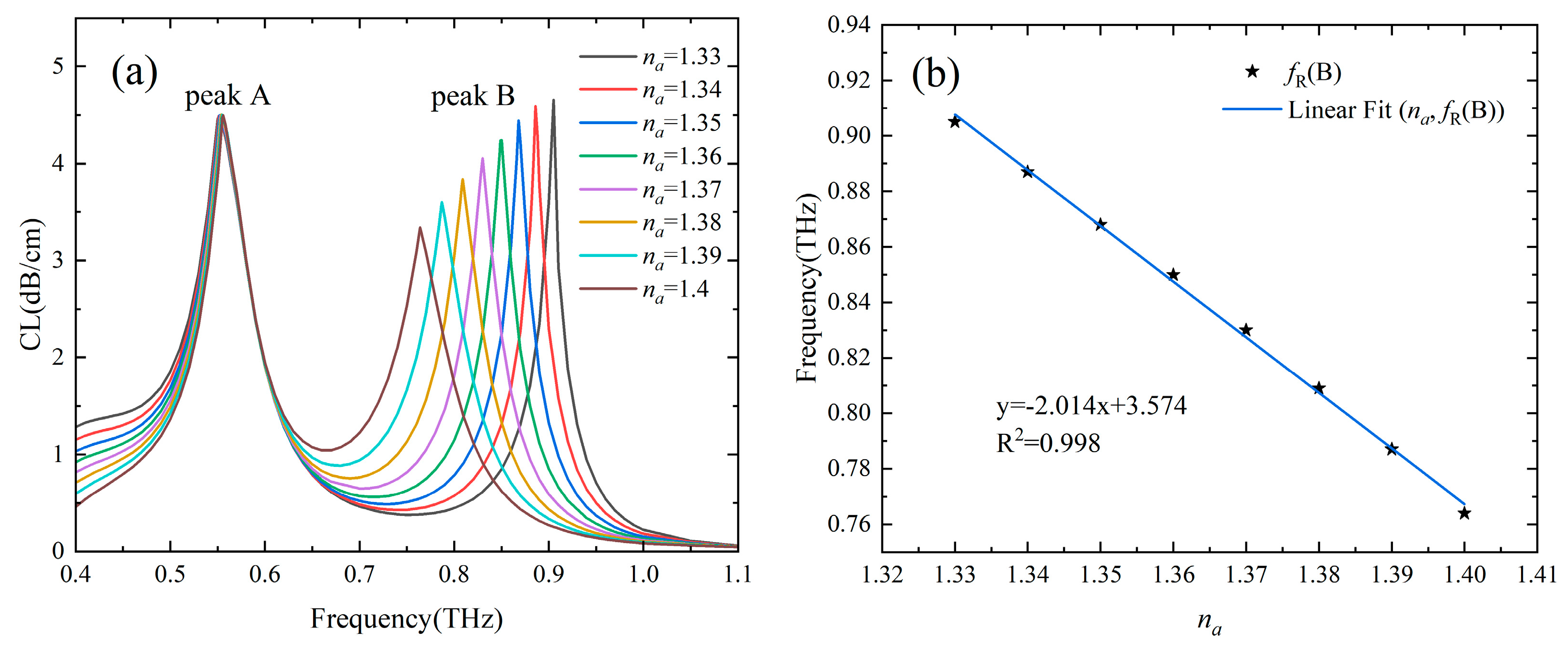
3.3. Two-Channel Sensing Characteristics
3.4. Preparation Method Discussion
4. Conclusions
Author Contributions
Funding
Institutional Review Board Statement
Informed Consent Statement
Data Availability Statement
Conflicts of Interest
References
- Homola, J. Present and future of surface plasmon resonance biosensors. Anal. Bioanal. Chem. 2003, 377, 528–539. [Google Scholar] [CrossRef]
- Zhao, R.; Feng, Y.; Ling, H.; Zou, X.; Wang, M.; Lu, G. Enhanced terahertz fingerprint sensing mechanism study of tiny molecules based on tunable spoof surface plasmon polaritons on composite periodic groove structures. Sensors 2023, 23, 2496. [Google Scholar] [CrossRef] [PubMed]
- Tian, H.; Huang, F.; Xie, F.; Fu, W.; Yang, X. THz biosensing applications for clinical laboratories: Bottlenecks and strategies. TrAC Trends Anal. Chem. 2023, 163, 117057. [Google Scholar] [CrossRef]
- Hassani, A.; Skorobogatiy, M. Design criteria for microstructured-optical-fiber-based surface plasmon resonance sensors. J. Opt. Soc. Am. B 2007, 24, 1423–1429. [Google Scholar] [CrossRef]
- Wang, H.; Wang, T.; Yuan, X.; Wang, Y.; Yue, X.; Wang, L.; Zhang, J.; Wang, J. Plasmonic Nanostructure Biosensors: A Review. Sensors 2023, 23, 8156. [Google Scholar] [CrossRef] [PubMed]
- Rifat, A.; Ahmed, R.; Yetisen, A.; Butt, H.; Sabouri, A.; Mahdiraji, G.; Yun, S.; Adikan, F. Photonic crystal fiber based plasmonic sensors. Sens. Actuat. B-Chem. 2017, 243, 311–325. [Google Scholar] [CrossRef]
- Liu, C.; Lü, J.; Wang, F.; Chu, P. Overview of refractive index sensors comprising photonic crystal fibers based on the surface plasmon resonance effect. Chin. Opt. Lett. 2021, 19, 102202. [Google Scholar] [CrossRef]
- Haque, E.; Mahmuda, S.; Hossain, M.; Hai, N.; Namihira, Y.; Ahmed, F. Highly sensitive dual-core PCF based plasmonic refractive index sensor for low refractive index detection. IEEE Photonics J. 2019, 11, 1–9. [Google Scholar] [CrossRef]
- Wang, G.; Lu, Y.; Duan, L.; Yao, J. A refractive index sensor based on PCF with ultra-wide detection range. IEEE J. Sel. Top. Quantum Electron. 2020, 27, 1–8. [Google Scholar] [CrossRef]
- Zhang, J.; Yuan, J.; Qu, Y.; Qiu, S.; Mei, C.; Zhou, X.; Yan, B.; Wu, Q.; Wang, K.; Sang, X.; et al. A surface plasmon resonance-based photonic crystal fiber sensor for simultaneously measuring the refractive index and temperature. Polymers 2022, 14, 3893. [Google Scholar] [CrossRef]
- Alireza, H.; Skorobogatiy, M. Surface Plasmon Resonance-like integrated sensor at terahertz frequencies for gaseous analytes. Opt. Express 2008, 16, 20206–20214. [Google Scholar]
- Liu, S.; Ma, R.; Li, Y.; Zhao, L.; Xia, Y.; Dong, X.; Pang, Y. D-shaped surface plasmon resonance biosensor based on MoS2 in terahertz band. Opt. Fiber Technol. 2021, 66, 102631. [Google Scholar] [CrossRef]
- Zhang, Y.; Yao, Y.; Guang, Z.; Xue, J.; Wang, Q.; Gong, J.; Ali, Z.; Yang, Z. A high-sensitivity fiber biosensor based on PVDF-excited surface plasmon resonance in the terahertz band. Photonics 2023, 10, 1159. [Google Scholar] [CrossRef]
- Xue, J.; Zhang, Y.; Guang, Z.; Miao, T.; Ali, Z.; Qiao, D.; Yao, Y.; Wu, K.; Zhou, L.; Meng, C.; et al. Ultra-high sensitivity terahertz microstructured fiber biosensor for diabetes mellitus and coronary heart disease marker detection. Sensors 2023, 23, 2020. [Google Scholar] [CrossRef]
- Liu, G.; Tian, F.; Lu, Y.; Han, Z.; Yao, C.; Wang, B.; Zhang, Y.; Li, L.; Zhang, Z. Zeonex-based high sensitivity dual-channel SPR optical fiber sensor for gaseous analytes in terahertz regime. Optik 2022, 255, 168656. [Google Scholar] [CrossRef]
- Liu, S.; Li, L.; Bai, Z. Highly sensitive biosensor based on partially immobilized silver nanopillars in the terahertz band. Photonics 2021, 8, 438. [Google Scholar] [CrossRef]
- Wang, D.; Zhang, Y.; Qi, Y.; Tian, J.; Yue, S.; Ma, T. Tunable surface plasmon resonance sensor based on graphene-coated photonic crystal fiber in terahertz. Appl. Opt. 2022, 61, 6664–6670. [Google Scholar] [CrossRef]
- Wang, D.; Zhang, Y.; Tian, J.; Guo, W.; Ma, T. D-Shaped photonic crystal fiber with graphene coating for terahertz polarization filtering and sensing applications. Opt. Fiber Technol. 2023, 79, 103373. [Google Scholar] [CrossRef]
- Grigorenko1, A.; Polini, M.; Novoselov, K. Graphene plasmonics. Nat. Photonics 2012, 6, 749–758. [Google Scholar] [CrossRef]
- West, P.; Ishii, S.; Naik, G.; Emani, N.; Shalaev, V.; Boltasseva, A. Searching for better plasmonic materials. Laser Photonics Rev. 2010, 4, 795–808. [Google Scholar] [CrossRef]
- Patil, P.; Pandey, G.; Patil, A.; Vivek, V.; Deshmukh, P.; Patil, D.; Tade, R.; Nangare, S.; Khan, Z.; Patil, A.; et al. Graphene-based nanocomposites for sensitivity enhancement of surface plasmon resonance sensor for biological and chemical sensing: A review. Biosens. Bioelectron 2019, 139, 111324. [Google Scholar] [CrossRef] [PubMed]
- Zhou, X.; Li, X.; Cheng, T.; Li, S.; An, G. Graphene enhanced optical fiber SPR sensor for liquid concentration measurement. Opt. Fiber Technol. 2018, 43, 62–66. [Google Scholar] [CrossRef]
- Paul, A.; Mollah, M.; Hassan, M.; Nelson, G.; Erick, R. Graphene-coated highly sensitive photonic crystal fiber surface plasmon resonance sensor for aqueous solution: Design and numerical analysis. Photonics 2021, 8, 155. [Google Scholar] [CrossRef]
- Koshiba, M.; Saitoh, K. Numerical verification of degeneracy in hexagonal photonic crystal fibers. IEEE Photonics Technol. Lett. 2001, 13, 1313–1315. [Google Scholar] [CrossRef]
- Bao, H.; Nielsen, K.; Rasmussen, H.; Jepsen, P.; Bang, O. Fabrication and characterization of porous-core honeycomb bandgap THz fibers. Opt. Express 2012, 20, 29507–29517. [Google Scholar] [CrossRef]
- Srivastava, T.; Purkayastha, A.; Jha, R. Graphene based surface plasmon resonance gas sensor for terahertz. Opt. Quantum Electron. 2016, 48, 1–11. [Google Scholar] [CrossRef]
- Gao, Z.; Jing, X.; Liu, Y.; Chen, H.; Li, S. High sensitivity plasmonic temperature sensor based on a side-polished photonic crystal fiber. Chin. Phys. B 2022, 31, 024207. [Google Scholar] [CrossRef]
- Khanarian, G.; Celanese, H. Optical properties of cyclic olefin copolymers. Opt. Eng. 2001, 40, 1024–1029. [Google Scholar] [CrossRef]
- Hautakorpi, M.; Mattinen, M.; Ludvigsen, H. Surface-plasmon-resonance sensor based on three-hole microstructured optical fiber. Opt. Express 2008, 16, 8427–8432. [Google Scholar] [CrossRef]
- He, Z.; Li, L.; Ma, H.; Pu, L.; Xu, H.; Yi, Z.; Cao, X.; Cui, W. Graphene-based metasurface sensing applications in terahertz band. Results Phys. 2021, 21, 103795. [Google Scholar] [CrossRef]
- Hou, X.; Li, Y.; Wu, X.; He, G.; Wang, M. A thermal tunable terahertz metamaterial absorber based on strontium titanate. Phys. Scr. 2022, 97, 085507. [Google Scholar] [CrossRef]
- Yin, Z.; Jing, X.; Bai, B.; Wang, C.; Liu, C.; Gao, Z.; Li, K. A broadband SPR dual-channel sensor based on a PCF coated with sodium-silver for refractive index and temperature measurement. Results Phys. 2022, 41, 105943. [Google Scholar] [CrossRef]
- Alkeskjold, T.; Lægsgaard, J.; Bjarklev, A.; Hermann, D.; Broeng, J.; Li, J. Highly tunable large core single-mode liquid crystal photonic bandgap fiber. Appl. Opt. 2006, 45, 2261–2264. [Google Scholar] [CrossRef]
- Pan, R.; Hsieh, C.; Pan, C.; Chen, C. Temperature-dependent optical constants and birefringence of nematic liquid crystal 5CB in the terahertz frequency range. J. Appl. Phys. 2008, 103, 93523–93527. [Google Scholar] [CrossRef]
- Wang, G.; Lang, T.; Hong, Z. Metallic metamaterial terahertz sensors for simultaneous measurement of temperature and refractive index. Appl. Opt. 2020, 59, 5385–5390. [Google Scholar] [CrossRef]
- Chen, F.; Cheng, Y.; Luo, H. Temperature tunable narrow-band terahertz metasurface absorber based on InSb micro-cylinder arrays for enhanced sensing application. IEEE Access 2020, 8, 82981–82988. [Google Scholar] [CrossRef]
- Zhan, Y.; Yin, H.; Wang, J.; Yao, H.; Fan, C. Tunable multiple band THz perfect absorber with InSb metamaterial for enhanced sensing application. Results Opt. 2022, 8, 100255. [Google Scholar] [CrossRef]
- Li, Z.; Cheng, Y.; Luo, H.; Chen, F.; Li, X. Dual-band tunable terahertz perfect absorber based on all-dielectric InSb resonator structure for sensing application. J. Alloys Compd. 2022, 925, 166617. [Google Scholar] [CrossRef]
- Wu, Z.; Ng, W.; Gehm, M.; Xin, H. Terahertz electromagnetic crystal waveguide fabricated by polymer jetting rapid prototy. Opt. Express 2011, 19, 3962–3972. [Google Scholar] [CrossRef]
- Bertoncini, A.; Liberale, C. 3D printed waveguides based on photonic crystal fiber designs for complex fiber-end photonic devices. Optica 2020, 7, 1487–1494. [Google Scholar] [CrossRef]
- Chen, K.; Zhou, K.; Cheng, X.; Qiao, R.; Cheng, Y.; Liu, C.; Xie, Y.; Yu, W.; Yao, F.; Sun, Z.; et al. Graphene photonic crystal fibre with strong and tunable light-matter interaction. Nat. Photonics 2019, 13, 754–759. [Google Scholar] [CrossRef]











| Ref. | Sensor Structure/Plasmonic Material | Working Band | RI Range | Spectral Sensitivity | FOM (Max) |
|---|---|---|---|---|---|
| [11] | Porous fiber/PVDF | 280–320 μm | 1.0–1.01 | 400 μm/RIU | – |
| [12] | D-shaped PCF/MoS2 | 1.0–2.0 THz | 1.33–1.4 | 715.59 μm/RIU | – |
| [13] | D-shaped PCF/PVDF | 240–280 μm | 1.32–1.45 | 335.0 μm/RIU | 39.42 |
| [15] | Dual-channel porous fiber/PVDF | 300–400 μm | 1.0–1.03 | 110 μm/RIU | – |
| [16] | PCF/silver nanopillars | 1.1–1.19 THz | 1.33–1.38 | 230.16 μm/RIU 1.749 THz/RIU | 29.15 (FWHM = 0.06 THz) |
| [17] | PCF/graphene | 1.1–1.5 THz | 1.0–1.5 | 208.14 GHz/RIU | 5.82 |
| [18] | D-shaped PCF/graphene | 0.45–0.75 THz | 1.0–1.4 | 220 GHz/RIU | 6.79 |
| This work | Dual-channel PCF/graphene | 0.4–1.0 THz | 1.33–1.4 | 873.98 μm/RIU 2.014 THz/RIU | 80.2 |
| Ref. | Working Band (THz) | RI Sensitivity (THz/RIU) | FOM | Q | Temperature Sensitivity (GHz/°C) |
|---|---|---|---|---|---|
| [35] | 0.3–1.1 | 0.14 | 5.01 | – | 0.007 |
| [36] | 0.4–1.6 | 0.276 | 0.067 | – | 3.42 |
| [37] | 0.5–3.0 | 0.287 | 2.8 | 16.3 | 22.0 |
| [38] | 1.1–1.6 | 1.3 | 24.76 | 27 | 6.4 |
| This work | 0.4–1.0 | 2.014 | 80.2 | 36.2 | 0.734 6.0 (maximum) |
Disclaimer/Publisher’s Note: The statements, opinions and data contained in all publications are solely those of the individual author(s) and contributor(s) and not of MDPI and/or the editor(s). MDPI and/or the editor(s) disclaim responsibility for any injury to people or property resulting from any ideas, methods, instructions or products referred to in the content. |
© 2024 by the authors. Licensee MDPI, Basel, Switzerland. This article is an open access article distributed under the terms and conditions of the Creative Commons Attribution (CC BY) license (https://creativecommons.org/licenses/by/4.0/).
Share and Cite
Wang, D.; Guo, W.; Zou, Y.; Ma, T.; Wang, W.; Chen, G. Terahertz Refractive Index and Temperature Dual-Parameter Sensor Based on Surface Plasmon Resonance in Two-Channel Photonic Crystal Fiber. Sensors 2024, 24, 6225. https://doi.org/10.3390/s24196225
Wang D, Guo W, Zou Y, Ma T, Wang W, Chen G. Terahertz Refractive Index and Temperature Dual-Parameter Sensor Based on Surface Plasmon Resonance in Two-Channel Photonic Crystal Fiber. Sensors. 2024; 24(19):6225. https://doi.org/10.3390/s24196225
Chicago/Turabian StyleWang, Doudou, Wenchuan Guo, Yizu Zou, Tian Ma, Weifeng Wang, and Guoxiang Chen. 2024. "Terahertz Refractive Index and Temperature Dual-Parameter Sensor Based on Surface Plasmon Resonance in Two-Channel Photonic Crystal Fiber" Sensors 24, no. 19: 6225. https://doi.org/10.3390/s24196225
APA StyleWang, D., Guo, W., Zou, Y., Ma, T., Wang, W., & Chen, G. (2024). Terahertz Refractive Index and Temperature Dual-Parameter Sensor Based on Surface Plasmon Resonance in Two-Channel Photonic Crystal Fiber. Sensors, 24(19), 6225. https://doi.org/10.3390/s24196225

