Large Dynamic Range Spectral Measurement in Terahertz Region Based on Frequency Up-Conversion Detection via OH1 Crystal
Abstract
1. Introduction
2. Materials and Methods
3. Results
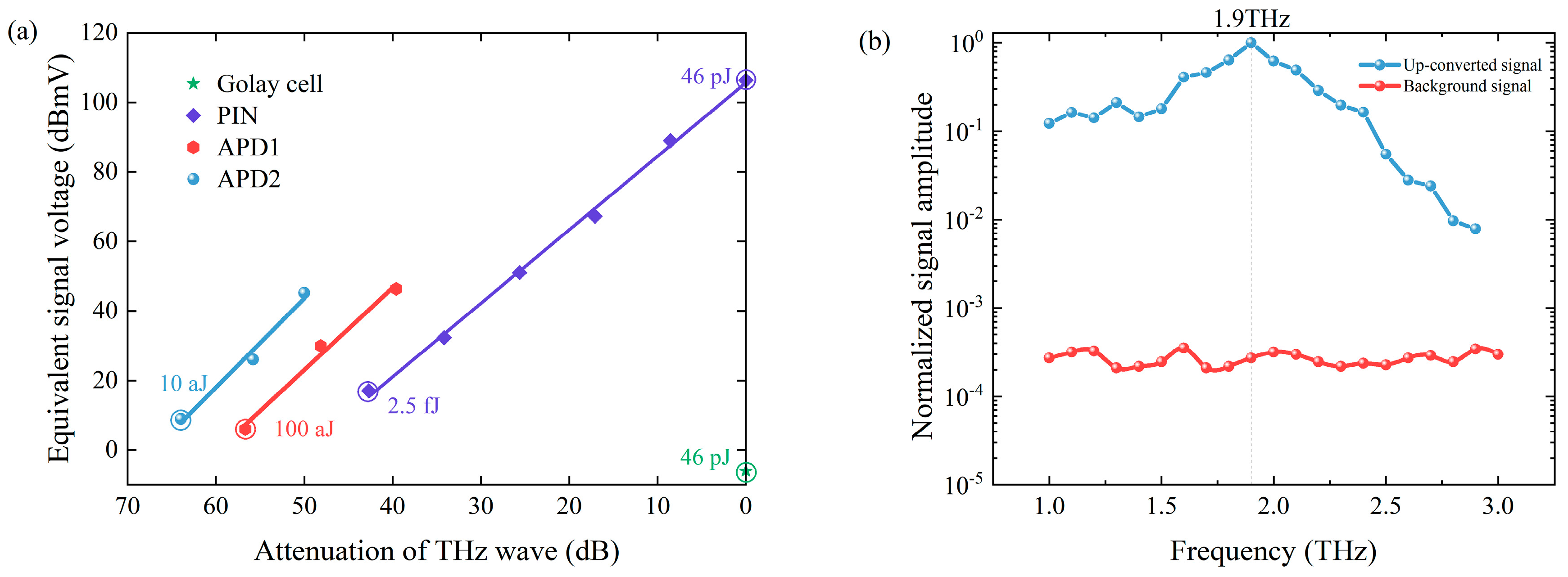
3.1. THz Up-Conversion Sensitivity
3.2. Validation of THz Spectral Measurement
3.3. THz Detection of the Sample Wrapped in Paper
3.4. THz Detection of the Sample in Waveguide
4. Discussion
5. Conclusions
Author Contributions
Funding
Institutional Review Board Statement
Informed Consent Statement
Data Availability Statement
Conflicts of Interest
References
- Hatem, O.; Cunningham, J.; Linfield, E.H.; Wood, C.D.; Davies, A.G.; Cannard, P.J.; Robertson, M.J.; Moodie, D.G. Terahertz-frequency photoconductive detectors fabricated from metal-organic chemical vapor deposition-grown Fe-doped InGaAs. Appl. Phys. Lett. 2011, 98, 121107. [Google Scholar] [CrossRef]
- Dekorsy, T.; Auer, H.; Waschke, C.; Bakker, H.J.; Roskos, H.G.; Kurz, H.; Wagner, V.; Grosse, P. Emission of submillimeter electromagnetic-waves by coherent phonons. Phys. Rev. Lett. 1995, 74, 738–741. [Google Scholar] [CrossRef] [PubMed]
- Clothier, R.H.; Bourne, N. Effects of THz exposure on human primary keratinocyte differentiation and viability. J. Biol. Phys. 2003, 29, 179–185. [Google Scholar] [CrossRef] [PubMed]
- Ashworth, P.C.; Pickwell-MacPherson, E.; Provenzano, E.; Pinder, S.E.; Purushotham, A.D.; Pepper, M.; Wallace, V.P. Terahertz pulsed spectroscopy of freshly excised human breast cancer. Opt. Express 2009, 17, 12444–12454. [Google Scholar] [CrossRef] [PubMed]
- Cantor, A.J.; Cheo, P.K.; Foster, M.C.; Newman, L.A. Application of submillimeter wave lasers to high-voltage cable inspection. IEEE J. Quantum Electron. 1981, 17, 477–489. [Google Scholar] [CrossRef]
- Jeon, T.I.; Grischkowsky, D. Characterization of optically dense, doped semiconductors by reflection THz time domain spectroscopy. Appl. Phys. Lett. 1998, 72, 3032–3034. [Google Scholar] [CrossRef]
- Markelz, A.G.; Roitberg, A.; Heilweil, E.J. Pulsed terahertz spectroscopy of DNA, bovine serum albumin and collagen between 0.1 and 2.0 THz. Chem. Phys. Lett. 2000, 320, 42–48. [Google Scholar] [CrossRef]
- Melinger, J.S.; Harsha, S.S.; Laman, N.; Grischkowsky, D. Temperature dependent characterization of terahertz vibrations of explosives and related threat materials. Opt. Express 2010, 18, 27238–27250. [Google Scholar] [CrossRef]
- Hoshina, H.; Morisawa, Y.; Sato, H.; Minamide, H.; Noda, I.; Ozaki, Y.; Otani, C. Polarization and temperature dependent spectra of poly(3-hydroxyalkanoate)s measured at terahertz frequencies. Phys. Chem. Chem. Phys. 2011, 13, 9173–9179. [Google Scholar] [CrossRef]
- Cuisset, A.; Gruet, S.; Pirali, O.; Chamaille, T.; Mouret, G. Synchrotron FT-FIR spectroscopy of nitro-derivatives vapors: New spectroscopic signatures of explosive taggants and degradation products. Spectroc. Acta Pt. A-Molec. Biomolec. Spectr. 2014, 132, 838–845. [Google Scholar] [CrossRef]
- Minamide, H.; Hayashi, S.I.; Nawata, K.; Taira, T.; Shikata, J.-i.; Kawase, K. Kilowatt-peak Terahertz-wave Generation and Sub-femtojoule Terahertz-wave Pulse Detection Based on Nonlinear Optical Wavelength-conversion at Room Temperature. J. Infrared Millim. Terahertz Waves 2014, 35, 25–37. [Google Scholar] [CrossRef]
- Qi, F.; Fan, S.; Notake, T.; Nawata, K.; Matsukawa, T.; Takida, Y.; Minamide, H. An ultra-broadband frequency-domain terahertz measurement system based on frequency conversion via DAST crystal with an optimized phase-matching condition. Laser Phys. Lett. 2014, 11, 085403. [Google Scholar] [CrossRef]
- Wang, Y.; Nie, G.; Hu, C.; Chen, K.; Yan, C.; Wu, B.; Zhu, J.; Xu, D.; Yao, J. High-sensitive terahertz detection by parametric up-conversion using nanosecond pulsed laser. Chin. Phys. B 2022, 31, 024204. [Google Scholar] [CrossRef]
- Li, W.; Liu, P.; Fu, Q.; Qi, F.; Guo, X.; Li, W.; Wang, Y.; Liu, Z. Broadband terahertz frequency-domain emission spectroscopy of DAST with a widely tunable quasi-monochromatic source and sensitive up-conversion detection. Opt. Laser Technol. 2025, 180, 111443. [Google Scholar] [CrossRef]
- Kato, M.; Tripathi, S.R.; Murate, K.; Imayama, K.; Kawase, K. Non-destructive drug inspection in covering materials using a terahertz spectral imaging system with injection-seeded terahertz parametric generation and detection. Opt. Express 2016, 24, 6425–6432. [Google Scholar] [CrossRef]
- Murate, K.; Mine, S.; Kawase, K. Terahertz Parametric Generators and Detectors for Nondestructive Testing Through High-Attenuation Packaging Materials. IEEE J. Sel. Top. Quantum Electron. 2023, 29, 8500813. [Google Scholar] [CrossRef]
- Shibuya, T.; Akiba, T.; Suizu, K.; Uchida, H.; Otani, C.; Kawase, K. Terahertz-wave generation using a 4-dimethylamino-N-methyl-4-stilbazolium tosylate crystal under intra-cavity conditions. Appl. Phys. Express 2008, 1, 042002. [Google Scholar] [CrossRef]
- Guo, Q.; Fan, S.; Yin, X.; Jiao, B.; Mu, J.; Ming, N.; Guo, L.; Yuan, J.; Wang, K.; Zhang, X. Highly sensitive frequency upconversion detection from 1 to 3 THz with OH1 crystal. Opt. Express 2023, 31, 38970–38976. [Google Scholar] [CrossRef] [PubMed]
- Zheng, Z.-P.; Fan, W.-H.; Li, H.; Tang, J. Terahertz spectral investigation of anhydrous and monohydrated glucose using terahertz spectroscopy and solid-state theory. J. Mol. Spectrosc. 2014, 296, 9–13. [Google Scholar] [CrossRef]
- Takahashi, M.; Ishikawaca, Y. Terahertz vibrations of crystalline α-D-glucose and the spectral change in mutual transitions between the anhydride and monohydrate. Chem. Phys. Lett. 2015, 642, 29–34. [Google Scholar] [CrossRef]







Disclaimer/Publisher’s Note: The statements, opinions and data contained in all publications are solely those of the individual author(s) and contributor(s) and not of MDPI and/or the editor(s). MDPI and/or the editor(s) disclaim responsibility for any injury to people or property resulting from any ideas, methods, instructions or products referred to in the content. |
© 2024 by the authors. Licensee MDPI, Basel, Switzerland. This article is an open access article distributed under the terms and conditions of the Creative Commons Attribution (CC BY) license (https://creativecommons.org/licenses/by/4.0/).
Share and Cite
Yuan, J.; Guo, Q.; Zhang, X.; Liu, N.; Yin, X.; Ming, N.; Guo, L.; Jiao, B.; Wang, K.; Fan, S. Large Dynamic Range Spectral Measurement in Terahertz Region Based on Frequency Up-Conversion Detection via OH1 Crystal. Sensors 2024, 24, 6245. https://doi.org/10.3390/s24196245
Yuan J, Guo Q, Zhang X, Liu N, Yin X, Ming N, Guo L, Jiao B, Wang K, Fan S. Large Dynamic Range Spectral Measurement in Terahertz Region Based on Frequency Up-Conversion Detection via OH1 Crystal. Sensors. 2024; 24(19):6245. https://doi.org/10.3390/s24196245
Chicago/Turabian StyleYuan, Jiasheng, Quanxin Guo, Xingyu Zhang, Naichang Liu, Xiaoqin Yin, Na Ming, Liyuan Guo, Binzhe Jiao, Kaiyu Wang, and Shuzhen Fan. 2024. "Large Dynamic Range Spectral Measurement in Terahertz Region Based on Frequency Up-Conversion Detection via OH1 Crystal" Sensors 24, no. 19: 6245. https://doi.org/10.3390/s24196245
APA StyleYuan, J., Guo, Q., Zhang, X., Liu, N., Yin, X., Ming, N., Guo, L., Jiao, B., Wang, K., & Fan, S. (2024). Large Dynamic Range Spectral Measurement in Terahertz Region Based on Frequency Up-Conversion Detection via OH1 Crystal. Sensors, 24(19), 6245. https://doi.org/10.3390/s24196245

