A Spin Valve-Based Rhombus-Shaped Micro-Object Implementing a Full Wheatstone Bridge
Abstract
1. Introduction
2. Materials and Methods
3. Results
3.1. Microstructural Studies
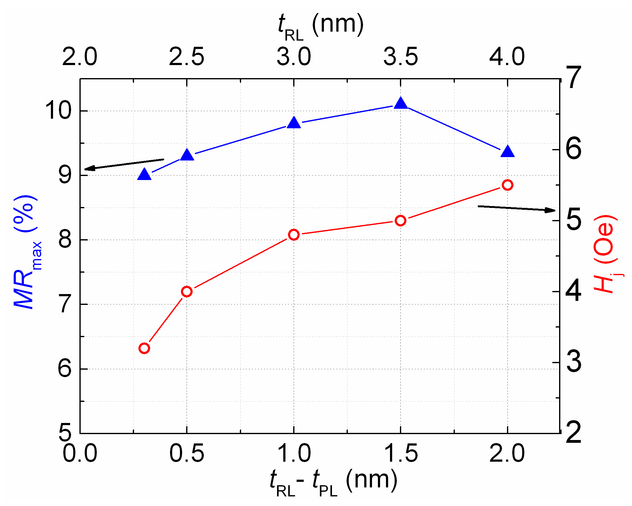
3.2. Exchange Coupling of Free and Reference Layers
3.3. Change in the Pinning Direction in Spin Valve Films and Micro-Objects during Thermomagnetic Treatment
3.4. Full Wheatstone Bridge Based on Rhombus-Shaped Spin Valve Micro-Object
3.5. Formation of Opposite Pinning Directions in Rhombus-Shaped Micro-Objects Based on Spin Valves with Different Thicknesses of the Reference Layer
4. Discussion
5. Conclusions
Author Contributions
Funding
Institutional Review Board Statement
Informed Consent Statement
Data Availability Statement
Conflicts of Interest
References
- Freitas, P.P.; Ferreira, R.; Cardoso, S. Spintronic sensors. Proc. IEEE 2016, 104, 1894–1918. [Google Scholar] [CrossRef]
- Mabarroh, N.; Alfansuri, T.; Wibowo, N.A.; Istiqomah, N.I.; Tumbelaka, R.M.; Suharyadi, E. Detection of green-synthesized magnetite nanoparticles using spin-valve GMR-based sensor and their potential as magnetic labels. J. Magn. Magn. Mater. 2022, 560, 169645. [Google Scholar] [CrossRef]
- Sánchez, J.; Ramírez, D.; Amaral, J.; Cardoso, S.; Freitas, P.P. Electrical ammeter based on spin-valve sensor. Rev. Sci. Instrum. 2012, 83, 105113. [Google Scholar] [CrossRef] [PubMed]
- Prieto, J.L.; Evetts, J.E.; Blamire, M.G.; Rouse, N. Development of an integrated magnetic sensor with linear output based on spin valves. J. Appl. Phys. 2002, 91, 8578–8580. [Google Scholar] [CrossRef]
- Carvalho, M.; Ribeiro, P.; Romão, V.; Cardoso, S. Smart fingertip sensor for food quality control: Fruit maturity assessment with a magnetic device. J. Magn. Magn. Mater. 2021, 536, 168116. [Google Scholar] [CrossRef]
- Yan, S.; Cao, Z.; Guo, Z.; Zheng, Z.; Cao, A.; Qi, Y.; Leng, Q.; Zhao, W. Design and Fabrication of Full Wheatstone-Bridge-Based Angular GMR Sensors. Sensors 2018, 18, 1832. [Google Scholar] [CrossRef]
- Suharyadi, E.; Alfansuri, T.; Handriani, L.S.; Wibowo, N.A.; Sabarman, H. Detection of Fe3O4/PEG nanoparticles using one and two spin-valve GMR sensing elements in Wheatstone bridge circuit. J. Mater. Sci. Mater. Electron. 2021, 32, 23958–23967. [Google Scholar] [CrossRef]
- Dieny, B.; Speriosu, V.S.; Parkin, S.S.P.; Gurney, B.A.; Wilhout, D.R.; Maui, D. Giant magnetoresistance in soft ferromagnetic multilayers. Phys. Rev. B 1991, 43, 1297–1300. [Google Scholar] [CrossRef]
- Kools, J.C.S. Exchange-Biased Spin-Valves for Magnetic Storage. IEEE Trans. Magn. 1996, 32, 3165–3184. [Google Scholar] [CrossRef]
- Svalov, A.V.; Sorokin, A.N.; Savin, P.A.; García-Arribas, A.; Fernández, A.; Vas’kovskiy, V.O.; Kurlyandskaya, G.V. Co/Cu/Co Pseudo Spin-Valve System Prepared by Magnetron Sputtering with Different Argon Pressure. Key Eng. Mater. 2015, 644, 211–214. [Google Scholar] [CrossRef]
- Öksüzoglu, R.M.; Sarac, U.; Yıldırım, M.; Çınar, H. Characterization of Microstructural and Morphological Properties in As-deposited Ta/NiFe/IrMn/CoFe/Ta Multilayer System. J. Mater. Sci. Technol. 2014, 30, 359–364. [Google Scholar] [CrossRef]
- Naumova, L.I.; Milyaev, M.A.; Zavornitsin, R.S.; Pavlova, A.Y.; Maksimova, I.K.; Krinitsina, T.P.; Chernyshova, T.A.; Proglyado, V.V.; Ustinov, V.V. High-Sensitive Sensing Elements Based on Spin Valves with Antiferromagnetic Interlayer. Coupling. Phys. Met. Metallogr. 2019, 120, 653–659. [Google Scholar] [CrossRef]
- Meguro, K.; Hoshiya, H.; Watanabe, K.; Hamakawa, Y.; Fuyama, M. Spin-Valve Films Using Synthetic Ferrimagnets for Pinned Layer. IEEE Trans. Magn. 1999, 35, 2925–2927. [Google Scholar] [CrossRef]
- Leala, J.L.; Kryder, M.H. Spin valves exchange biased by Co/Ru/Co synthetic antiferromagnets. J. Appl. Phys. 1998, 83, 3720–3723. [Google Scholar] [CrossRef]
- Negulescu, B.; Lacour, D.; Hehn, M.; Gerken, A.; Paul, J.; Duret, C. On the control of spin flop in synthetic antiferromagnetic films. J. Appl. Phys. 2011, 109, 103911. [Google Scholar] [CrossRef]
- Huai, Y.; Zhang, J.; Anderson, G.W.; Rana, P.; Funada, S.; Hung, C.Y.; Zhao, M.; Tran, S. Spin-valve heads with synthetic antiferromagnet CoFe/Ru/CoFe/IrMn. J. Appl. Phys. 1999, 85, 5528–5530. [Google Scholar] [CrossRef]
- Milyaev, M.A.; Naumova, L.I.; Zavornitsyn, R.S.; Maksimova, I.K.; Pavlova, A.Y.; Proglyado, V.V.; Ustinov, V.V. Use of a Spin-Flop State for the Creation of Spin-Valve Elements for a Full Wheatstone Bridge. Phys. Met. Metallogr. 2020, 121, 721–728. [Google Scholar] [CrossRef]
- Ferreira, R.; Paz, E.; Freitas, P.; Ribeiro, J.; Germano, J.; Sousa, L. 2-Axis Magnetometers Based on Full Wheatstone Bridges Incorporating. Magnetic Tunnel Junctions Connected in Series. IEEE Trans. Magn. 2012, 48, 4107–4110. [Google Scholar] [CrossRef]
- Luong, V.S.; Nguyen, A.T.; Tran, T.H.D. Antiparallel-Pinned Spin Valves with Modified Artificial Antiferromagnetic Layer for Full-Bridge Magnetic Sensors. IEEE Trans. Magn. 2018, 54, 4001705. [Google Scholar] [CrossRef]
- Borole, U.P.; Khan, J.; Barshilia, H.C.; Chowdhury, P. Design, fabrication, and characterization of giant magnetoresistance (GMR) based open-loop current sensor with U-shaped current carrying conductor. Sens. Actuators A 2021, 332, 112103. [Google Scholar] [CrossRef]
- Fukuzawa, H.; Iwasaki, H.; Koi, K.; Sahashi, M. Soft magnetic characteristics of an ultrathin CoFeNi free layer in spin-valve films. J. Magn. Magn. Mater 2006, 298, 65–71. [Google Scholar] [CrossRef]
- Sugita, Y.; Kawawake, Y.; Satomi, M.; Sakakima, H. Thermal stability of PtMn based synthetic spin valves using thin oxide layer. J. Appl. Phys. 2001, 89, 6919–6921. [Google Scholar] [CrossRef]
- Bannikova, N.S.; Milyaev, M.A.; Naumova, L.I.; Patrakov, E.I.; Proglyado, V.V.; Kamenskii, I.Y.; Ryabukhina, M.V.; Ustinov, V.V. Giant Magnetoresistance and Hysteresis Phenomena in CoFe/Cu Superlattices with Highly Perfect Crystallographic Texture. Phys. Met. Metallogr. 2018, 119, 1073–1078. [Google Scholar] [CrossRef]
- Bannikova, N.S.; Milyaev, M.A.; Naumova, L.I.; Krinitsina, T.P.; Patrakov, E.I.; Proglyado, V.V.; Chernyshova, T.A.; Ustinov, V.V. NiFeCo/Cu superlattices with high magnetoresistive sensitivity and weak hysteresis. Phys. Solid State 2016, 58, 2011–2017. [Google Scholar] [CrossRef]
- Diken, S.; Ozkaya, O.; Cakmaktepe, S. Deposition of (Ni80Fe20)100−xCrx Alloy Thin Films for Potential Applications in Magnetic Recording Media. IEEE Trans. Magn. 2016, 52, 2003404. [Google Scholar] [CrossRef]
- Berkowitz, A.E.; Takano, K. Exchange anisotropy—A review. J. Magn. Magn. Mat. 1999, 200, 552–570. [Google Scholar] [CrossRef]
- Iveronova, V.I.; Revkevich, G.P. Teoriya Rasseyaniya Rentgenovskikh Luchei [X-ray Scattering Theory], 2nd ed.; Revised and Expanded; Izdatel’stvo Moskovskogo Universiteta: Moscow, Russian, 1978; 278p. [Google Scholar]
- Michaelsen, C. On the structure and homogeneity of solid solutions the limits of conventional X-ray diffraction. Philos. Mag. A 1995, 7, 813–828. [Google Scholar] [CrossRef]
- Labrune, M.; Kools, J.C.S.; Thiaville, A. Magnetization rotation in spin-valve multilayers. J. Magn. Magn. Mater. 1997, 171, 1–15. [Google Scholar] [CrossRef]
- Chernyshova, T.A.; Milyaev, M.A.; Naumova, L.I.; Proglyado, V.V.; Maksimova, I.K.; Pavlova, A.Y.; Blagodatkov, D.V.; Ustinov, V.V. Control of Low-Field Hysteresis Loop Shift of Spin Valves. Phys. Met. Metallogr. 2017, 118, 1209–1214. [Google Scholar] [CrossRef]
- Tong, H.C.; Qian, C.; Miloslavsky, L.; Funada, S.; Shi, X.; Liu, F.; Dey, S. The spin flop of synthetic antiferromagnetic films. J. Appl. Phys. 2000, 87, 5055–5067. [Google Scholar] [CrossRef]
- Beach, R.S.; McCord, J.; Webb, P.; Mauri, D. Orthogonal pinning of two ferromagnetic layers in a synthetic spin valve. Appl. Phys. Lett. 2002, 80, 4576–4578. [Google Scholar] [CrossRef]
- Reig, C.; Cubells-Beltran, M.-D.; Munoz, D.R. Magnetic Field Sensors Based on Giant Magnetoresistance (GMR) Technology: Applications in Electrical Current Sensing. Sensors 2009, 9, 7919–7942. [Google Scholar] [CrossRef] [PubMed]
- Osborn, J.A. Demagnetizing Factors of the General Ellipsoid. Phys. Rev. 1945, 67, 351–357. [Google Scholar] [CrossRef]
- Stobiecki, F.; Stobiecki, T. Multilayer Structures with Giant Magnetoresistance. Acta Phys. Pol. A 2002, 102, 95–108. [Google Scholar]














| Disclaimer/Publisher’s Note: The statements, opinions and data contained in all publications are solely those of the individual author(s) and contributor(s) and not of MDPI and/or the editor(s). MDPI and/or the editor(s) disclaim responsibility for any injury to people or property resulting from any ideas, methods, instructions or products referred to in the content. | 
© 2024 by the authors. Licensee MDPI, Basel, Switzerland. This article is an open access article distributed under the terms and conditions of the Creative Commons Attribution (CC BY) license (https://creativecommons.org/licenses/by/4.0/).
Share and Cite
Milyaev, M.; Naumova, L.; Germizina, A.; Chernyshova, T.; Pavlova, A.; Krinitsina, T.; Proglyado, V.; Ustinov, V. A Spin Valve-Based Rhombus-Shaped Micro-Object Implementing a Full Wheatstone Bridge. Sensors 2024, 24, 625. https://doi.org/10.3390/s24020625
Milyaev M, Naumova L, Germizina A, Chernyshova T, Pavlova A, Krinitsina T, Proglyado V, Ustinov V. A Spin Valve-Based Rhombus-Shaped Micro-Object Implementing a Full Wheatstone Bridge. Sensors. 2024; 24(2):625. https://doi.org/10.3390/s24020625
Chicago/Turabian StyleMilyaev, Mikhail, Larisa Naumova, Anastasiya Germizina, Tatyana Chernyshova, Anastasia Pavlova, Tatiana Krinitsina, Vyacheslav Proglyado, and Vladimir Ustinov. 2024. "A Spin Valve-Based Rhombus-Shaped Micro-Object Implementing a Full Wheatstone Bridge" Sensors 24, no. 2: 625. https://doi.org/10.3390/s24020625
APA StyleMilyaev, M., Naumova, L., Germizina, A., Chernyshova, T., Pavlova, A., Krinitsina, T., Proglyado, V., & Ustinov, V. (2024). A Spin Valve-Based Rhombus-Shaped Micro-Object Implementing a Full Wheatstone Bridge. Sensors, 24(2), 625. https://doi.org/10.3390/s24020625
 
        


