Effect of Alkali Source on Crystal Regulation and Ethanol Gas Sensing Properties of Nano-ZnO
Abstract
1. Introduction
2. Experimental Section
2.1. Materials and Reagents
2.2. Synthesis of Zno by Hydrothermal Method
2.2.1. Na2CO3 as a Alkaline Source for the Synthesis of ZnO Nanowires
2.2.2. HMTA as a Alkaline Source for the Synthesis of ZnO Nanosheets
2.2.3. Ammonia as a Alkaline Source for Synthesizing ZnO Nanoblocks
2.2.4. NaOH as a Alkaline Source for the Synthesis of ZnO
2.3. Material Characterization
2.4. Ethanol Gas Sensing Test
2.5. Computational Details
3. Results and Discussion
3.1. Crystal Structure and Morphology Analysis of ZnO
3.2. Gas Sensing Characteristics
3.2.1. Gas-Sensing Characteristics at Different Operating Temperatures
3.2.2. Variation of Response in Response to 500 ppm Ethanol Gas at Different Operating Temperatures
3.2.3. Material Stability (Reproducibility) Tests
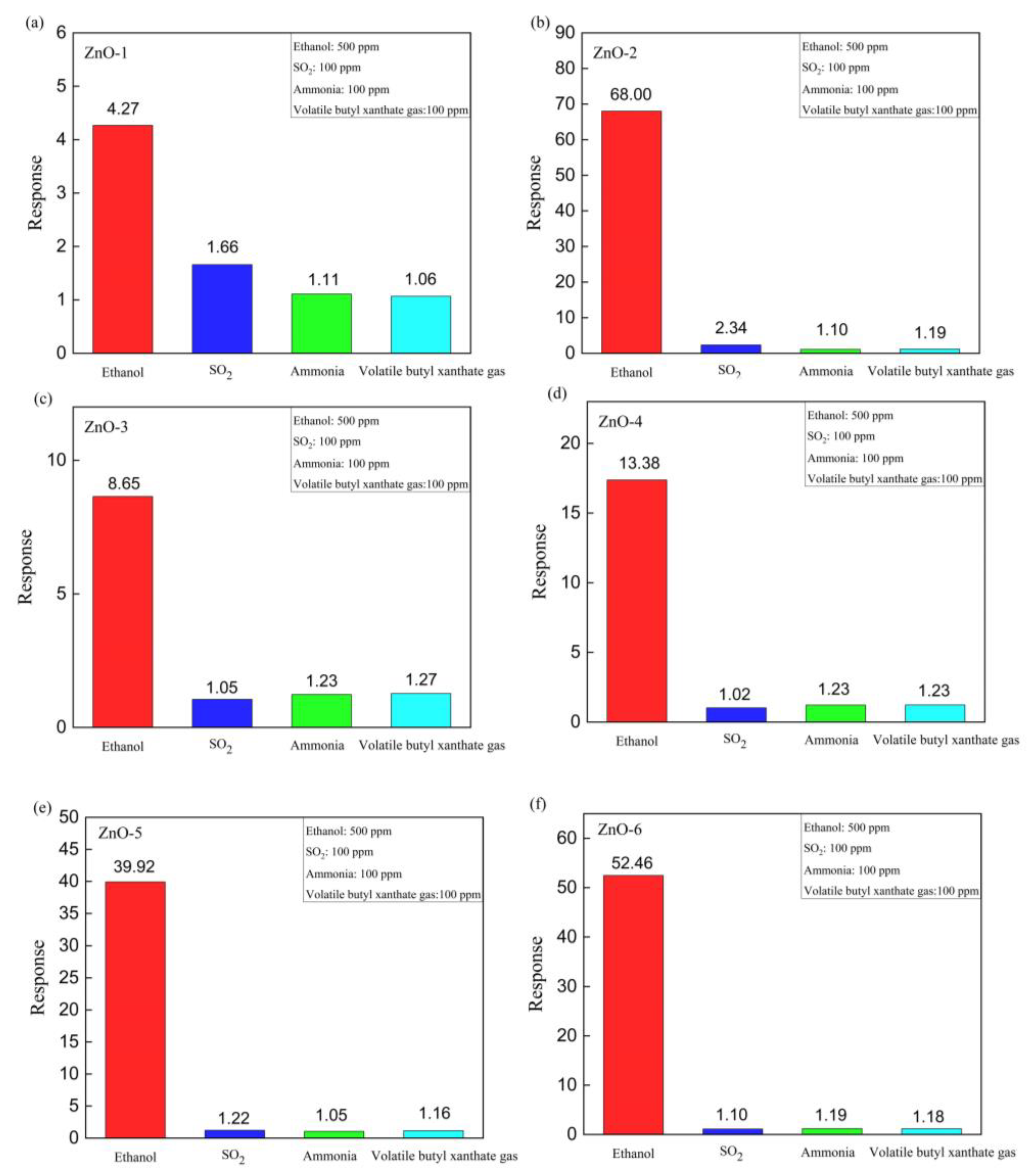
3.2.4. Selectivity
3.3. Gas Sensing Mechanisms
3.3.1. X-Ray Photoelectron Spectroscopy (XPS)
3.3.2. DFT Calculation Results
4. Conclusions
Supplementary Materials
Author Contributions
Funding
Institutional Review Board Statement
Informed Consent Statement
Data Availability Statement
Conflicts of Interest
References
- Li, J.; Liu, X.; Chu, X.; He, L.; Liang, S. Preparation and ethanol sensing properties of WS2-ZnFe2O4 composites. Mater. Lett. 2024, 375, 137173. [Google Scholar] [CrossRef]
- Zhang, S.; Ding, Y.; Wang, Q.; Song, P. MOFs-derived In2O3/ZnO/Ti3C2TX MXene ternary nanocomposites for ethanol gas sensing at room temperature. Sens. Actuat. B-Chem. 2023, 393, 134122. [Google Scholar] [CrossRef]
- Gao, L.; Tian, Y.; Hussain, A.; Guan, Y.; Xu, G. Recent developments and challenges in resistance-based hydrogen gas sensors based on metal oxide semiconductors. Anal. Bioanal. Chem. 2024, 416, 3697–3715. [Google Scholar] [CrossRef] [PubMed]
- Guan, W.; Tang, N.; He, K.; Hu, X.; Li, M.; Li, K. Gas-Sensing Performances of Metal Oxide Nanostructures for Detecting Dissolved Gases: A Mini Review. Front. Chem. 2020, 8, 76. [Google Scholar] [CrossRef] [PubMed]
- Rajesh, V.; Prabhu, N.N.; Shivamurthy, B. Acetone vapor sensing characteristics of Cr-doped ZnO nanofibers. Cogent Eng. 2024, 11, 2311090. [Google Scholar] [CrossRef]
- He, J.; Meng, H.; Wang, X.; Xu, Y.; Feng, L. S-doped SnO2 nanoparticles with a smaller grain size for highly efficient detection of greenhouse gas hexafluoroethane. Sens. Actuat. B-Chem. 2024, 418, 136335. [Google Scholar] [CrossRef]
- Deng, Z.; Wu, Z.; Liu, X.; Chen, Z.; Sun, Y.; Dai, N.; Ge, M. Humidity-tolerant and highly sensitive gas sensor for hydrogen sulfide based on WO3 nanocubes modified with CeO2. RSC Adv. 2024, 14, 15039–15047. [Google Scholar] [CrossRef]
- Hussain, A.; Suleiman, M.Y.; Liu, H.; Xia, S.; Eticha, T.; Guan, Y.; Chen, W.; Xu, G. Highly Sensitive Diethylamine Detection at Room Temperature Using g-C3N4 Nanosheets Decorated with CuO Hollow Polyhedral Structures. Anal. Chem. 2024, 96, 8965–8972. [Google Scholar] [CrossRef] [PubMed]
- Fan, X.; Wang, J.; Yang, S.; Ma, C. Ce enhanced humidity-independent acetone-sensing properties of Co3O4 at a low operating temperature. Mater. Sci. Eng. B-Adv. Funct. Solid-State Mater. 2023, 298, 116924. [Google Scholar] [CrossRef]
- Wang, O.; Kong, J.; Xue, Z.; An, B.; Xu, J.; Wang, X. Tailoring the Ni-O Microenvironment in Amorphous-Dominated Highly Active and Stable Zn/NiO for Hydrogen Sulfide Detection. ACS Sens. 2024, 9, 3233–3243. [Google Scholar] [CrossRef]
- Tang, L.; Wang, H.; Du, Z.; Zhu, C.; Ma, C.; Zeng, D. 3D Porous MXene Nanosheet/SnO2 Nanoparticle Composites for H2S Gas Sensing. ACS Appl. Nano Mater. 2024, 7, 5442–5453. [Google Scholar] [CrossRef]
- Wang, C.; Xie, J.; Chang, X.; Zheng, W.; Zhang, J.; Liu, X. ZnO single nanowire gas sensor: A platform to investigate the sensitization of Pt. Chem. Eng. J. 2023, 473, 145481. [Google Scholar] [CrossRef]
- Zhang, Y.; Jiang, Y.; Duan, Z.; Wu, Y.; Zhao, Q.; Liu, B.; Huang, Q.; Yuan, Z.; Li, X.; Tai, H. Edge-enriched MoS2 nanosheets modified porous nanosheet-assembled hierarchical In2O3 microflowers for room temperature detection of NO2 with ultrahigh sensitivity and selectivity. J. Hazard. Mater. 2022, 434, 128836. [Google Scholar] [CrossRef]
- Shen, Y.; Liu, Y.; Fan, C.; Wang, Q.; Li, M.; Yang, Z.; Gao, L. Enhanced Acetone Sensing Properties Based on Au-Pd Decorated ZnO Nanorod Gas Sensor. Sensors 2024, 24, 2110. [Google Scholar] [CrossRef] [PubMed]
- Chao, J.; Meng, D.; Zhang, K.; Wang, J.; Guo, L.; Yang, X. Development of an innovative ethanol sensing sensor platform based on the construction of Au modified 3D porous ZnO hollow microspheres. Mater. Res. Bull. 2024, 170, 112569. [Google Scholar] [CrossRef]
- Kumar, S.; Lawaniya, S.D.; Nelamarri, S.R.; Kumar, M.; Dwivedi, P.K.; Mishra, Y.K.; Awasthi, K. ZnO Nanosheets Decorated with Ag-Pt Nanoparticles for Selective Detection of Ethanol. ACS Appl. Nano Mater. 2023, 6, 15479–15489. [Google Scholar] [CrossRef]
- Yang, X.Y.; Zhang, W.J.; Yue, L.J.; Xie, K.F.; Jin, G.X.; Fang, S.M.; Zhang, Y.H. Coupling Cu+ species and Au nanoparticles on ZnO nanosheets for robust ethanol sensing. Sens. Actuat. B-Chem. 2024, 418, 136289. [Google Scholar] [CrossRef]
- Jiang, B.; Zhou, T.; Zhang, L.; Han, W.; Yang, J.; Wang, C.; Sun, Y.; Liu, F.; Sun, P.; Lu, G. Construction of mesoporous In2O3-ZnO hierarchical structure gas sensor for ethanol detection. Sens. Actuat. B-Chem. 2023, 393, 134203. [Google Scholar] [CrossRef]
- Jiang, B.; Zhou, T.; Zhang, L.; Yang, J.; Han, W.; Sun, Y.; Liu, F.; Sun, P.; Zhang, H.; Lu, G. Separated detection of ethanol and acetone based on SnO2-ZnO gas sensor with improved humidity tolerance. Sens. Actuat. B-Chem. 2023, 393, 134257. [Google Scholar] [CrossRef]
- Yu, X.; Chen, X.; Ding, X.; Tang, K.; Zhao, X.; Liu, F. Room temperature ethanol sensor based on ZnO nanoparticles modified by WSe2 nanosheets. Sens. Actuat. B-Chem. 2023, 382, 133530. [Google Scholar] [CrossRef]
- Uma, S.; Shobana, M.K. Band structure and mechanism of semiconductor metal oxide heterojunction gas sensor. Inorg. Chem. Commun. 2024, 160, 111941. [Google Scholar] [CrossRef]
- Yu, Y.; Tan, Y.; Niu, W.; Zhao, S.; Hao, J.; Shi, Y.; Dong, Y.; Liu, H.; Huang, C.; Gao, C.; et al. Advances in Synthesis and Applications of Single-Atom Catalysts for Metal Oxide-Based Gas Sensors. Materials 2024, 17, 1970. [Google Scholar] [CrossRef] [PubMed]
- Bu, W.; Zhou, Y.; Liu, N.; Zhang, Y.; Han, W.; Chuai, X.; Zhou, Z.; Hu, C.; Lu, G. ZnO nanowires decorated with Pt nanoclusters for selective detection of ppb-level nitrogen dioxide. Sens. Actuat. B-Chem. 2024, 419, 136391. [Google Scholar] [CrossRef]
- Parr, R.G.; Weitao, Y. Density-Functional Theory of Atoms and Molecules; Oxford University Press: Oxford, UK, 1995; pp. 5–15. [Google Scholar]
- Kresse, G.; Hafner, J. Ab initio molecular dynamics for liquid metals. Phys. Rev. B 1993, 47, 558–561. [Google Scholar] [CrossRef] [PubMed]
- Wang, V.; Xu, N.; Liu, J.C.; Tang, G.; Geng, W.T. VASPKIT: A user-friendly interface facilitating high-throughput computing and analysis using VASP code. Comput. Phys. Commun. 2021, 267, 108033. [Google Scholar] [CrossRef]
- Grimme, S. Semiempirical GGA-type density functional constructed with a long-range dispersion correction. J. Comput. Chem. 2006, 27, 1787–1799. [Google Scholar] [CrossRef]
- Grimme, S.; Antony, J.; Ehrlich, S.; Krieg, H. A consistent and accurate ab initio parametrization of density functional dispersion correction (DFT-D) for the 94 elements H-Pu. J. Chem. Phys. 2010, 132, 154104. [Google Scholar] [CrossRef]
- Grimme, S.; Ehrlich, S.; Goerigk, L. Effect of the Damping Function in Dispersion Corrected Density Functional Theory. J. Comput. Chem. 2011, 32, 1456–1465. [Google Scholar] [CrossRef]
- Kim, K.; Choi, P.G.; Itoh, T.; Masuda, Y. Effect of oxygen vacancy sites in exposed crystal facet on the gas sensing performance of ZnO nanomaterial. J. Am. Ceram. Soc. 2022, 105, 2150–2160. [Google Scholar] [CrossRef]
- Bi, H.; Ma, Q.; Liu, X.; Xiong, L.; Yi, J.; Ao, S.; Zhang, Z.; Lin, H.; Lin, Z. Nickel-doped indium oxide ultrafine nanoparticles for ppb-level nitrogen dioxide detection. Appl. Surf. Sci. 2025, 679, 160981. [Google Scholar] [CrossRef]
- Frankcombe, T.J.; Liu, Y. Interpretation of Oxygen 1s X-ray Photoelectron Spectroscopy of ZnO. Chem. Mater. 2023, 35, 5468–5474. [Google Scholar] [CrossRef]
- Ponzoni, A.; Baratto, C.; Cattabiani, N.; Falasconi, M.; Galstyan, V.; Nunez-Carmona, E.; Rigoni, F.; Sberveglieri, V.; Zambotti, G.; Zappa, D. Metal Oxide Gas Sensors, a Survey of Selectivity Issues Addressed at the SENSOR Lab, Brescia (Italy). Sensors 2017, 17, 714. [Google Scholar] [CrossRef]










| Name | Total Charge Transfer | Response | Alkaline Source | 
|---|---|---|---|
| ZnO-3 | 4.28% | 8.6 | Ammonia | 
| ZnO-1 | 3.67% | 8.9 | Na2CO3 | 
| ZnO-5 | 6.21% | 39.9 | NaOH | 
| ZnO-2 | 5.61% | 68.0 | HMTA | 
| Disclaimer/Publisher’s Note: The statements, opinions and data contained in all publications are solely those of the individual author(s) and contributor(s) and not of MDPI and/or the editor(s). MDPI and/or the editor(s) disclaim responsibility for any injury to people or property resulting from any ideas, methods, instructions or products referred to in the content. | 
© 2024 by the authors. Licensee MDPI, Basel, Switzerland. This article is an open access article distributed under the terms and conditions of the Creative Commons Attribution (CC BY) license (https://creativecommons.org/licenses/by/4.0/).
Share and Cite
Liao, Y.; Qiu, L.; Ouyang, Y.; Feng, D.; Huang, S.; Zhang, Z.; Xie, X.; Ke, J.; Liu, T.; Chen, X.; et al. Effect of Alkali Source on Crystal Regulation and Ethanol Gas Sensing Properties of Nano-ZnO. Sensors 2024, 24, 7623. https://doi.org/10.3390/s24237623
Liao Y, Qiu L, Ouyang Y, Feng D, Huang S, Zhang Z, Xie X, Ke J, Liu T, Chen X, et al. Effect of Alkali Source on Crystal Regulation and Ethanol Gas Sensing Properties of Nano-ZnO. Sensors. 2024; 24(23):7623. https://doi.org/10.3390/s24237623
Chicago/Turabian StyleLiao, Yinying, Lu Qiu, Yunfei Ouyang, Dayang Feng, Shiyi Huang, Zhaoyang Zhang, Xinyao Xie, Junwei Ke, Tianhao Liu, Xiangxiang Chen, and et al. 2024. "Effect of Alkali Source on Crystal Regulation and Ethanol Gas Sensing Properties of Nano-ZnO" Sensors 24, no. 23: 7623. https://doi.org/10.3390/s24237623
APA StyleLiao, Y., Qiu, L., Ouyang, Y., Feng, D., Huang, S., Zhang, Z., Xie, X., Ke, J., Liu, T., Chen, X., Bi, H., & Zuo, W. (2024). Effect of Alkali Source on Crystal Regulation and Ethanol Gas Sensing Properties of Nano-ZnO. Sensors, 24(23), 7623. https://doi.org/10.3390/s24237623
 
        

 
       