Coded Excitation for Ultrasonic Testing: A Review
Abstract
1. Introduction
2. Principles and Optimization of Coded Excitation Ultrasonic Testing
2.1. Basic Principles of Ultrasonic Testing
- Emitting ultrasonic waves. UT utilizes a transducer to generate ultrasound waves, which are then propagated into the tested object. Generally, the frequency range of ultrasound used in industrial UT is between 0.5 and 10 MHz, and the frequency range used in medical UT is between 2 and 15 MHz. There are also different types of transducers, such as single-element transducers, phased array transducers, etc.
- Propagating ultrasonic waves. Ultrasonic waves propagate in the tested object and interact with the interface or defects in the material, resulting in reflection and scattering, and the wave after the interaction is the useful signal to be captured.
- Receiving and recording data. A probe is used to receive reflected or scattered ultrasonic waves and convert them into electrical signals. These electrical signals are recorded for further analysis.
- Signal processing and analyzing. The received signals are processed and analyzed, including the amplification and filtering of the electrical signals, as well as the analysis of the amplitude, time delay, frequency, and other characteristics of the ultrasonic signals. By analyzing the extracted useful information, it is possible to determine the dimensions of the material, the characteristics of defects, or human tissue.
- Evaluating the results. Based on the results of the analysis, the integrity and reliability of the tested material and whether the body tissue is diseased are assessed. Based on the results of the assessment, further measures can be taken, such as repairing and replacing the material and developing a treatment plan for the patient.
2.2. Basic Principles and Classification of Coded Excitation
2.2.1. Using Matched Filters to Achieve the Highest Signal-to-Noise Ratio
2.2.2. Frequency Modulation Coded Waveform
2.2.3. Typical Binary Phase Coding (Barker Code, Golay Code)
- Barker code
- Golay code
2.2.4. Diverse Alternative Forms of Coding (P3, P4 Code, M-Sequence)
- P3, P4 code
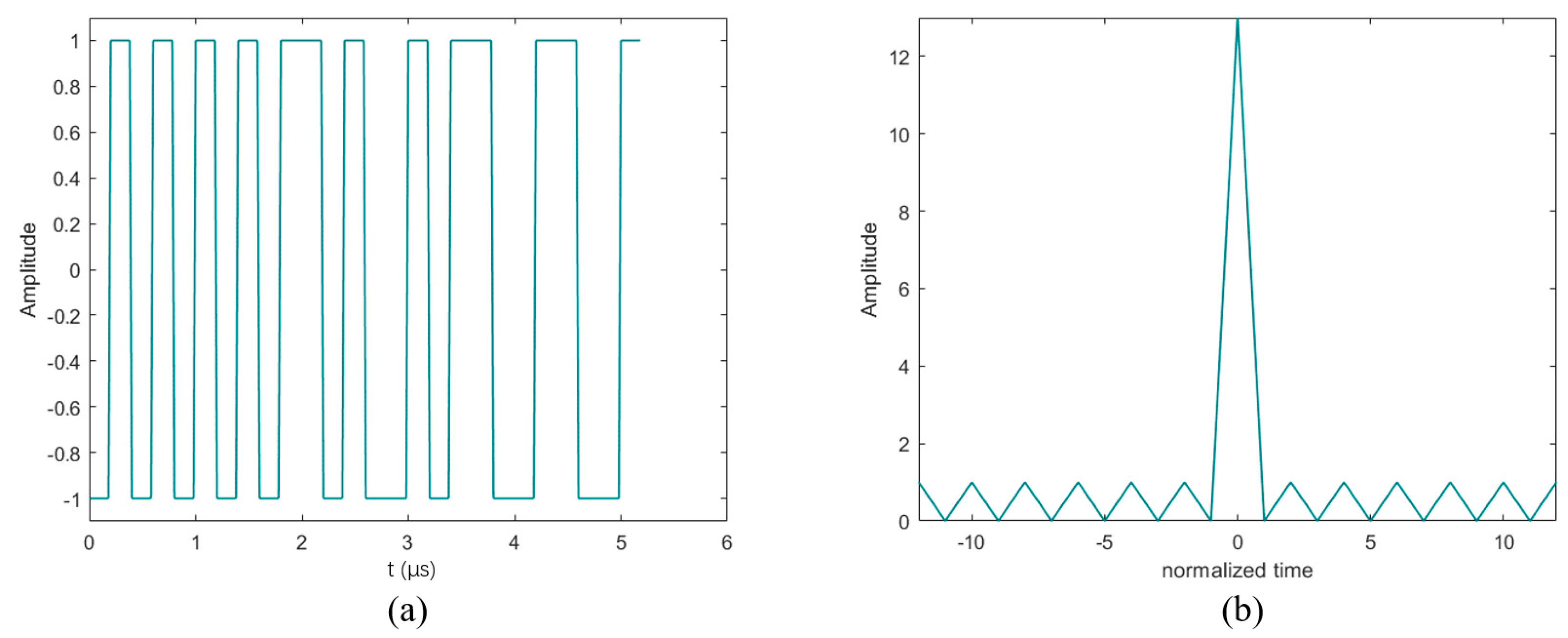
- M-sequence
- (1)
- Shiftability: the M-sequence obtained by cyclic shift including left shift or right shift is still an M-sequence.
- (2)
- Equilibrium: the number of 1s and 0s in the M-series is basically the same, among which 1 is more than 0.
- (3)
- Autocorrelation: The M-sequence is known for its excellent autocorrelation properties. As a pseudo-random code, when the M-sequence is shifted by an integer multiple of its period, the autocorrelation reaches its maximum value of 1. For all other shift values, the autocorrelation value is −1/p, where p represents the period of the M-sequence.
- (4)
- Strong anti-interference: in communication, an M-sequence can be used for spread spectrum communication.
- (5)
- Good steganography: the M-sequence is a pseudo-random sequence, similar to white noise.
2.3. Optimizations of Coded Excitation
2.3.1. Optimizations of Post-Processing
- Mismatched filtering
- Inverse filter
- Wiener filter
2.3.2. Optimizations of Waveform Design
- Optimize emission waveform based on transducer response
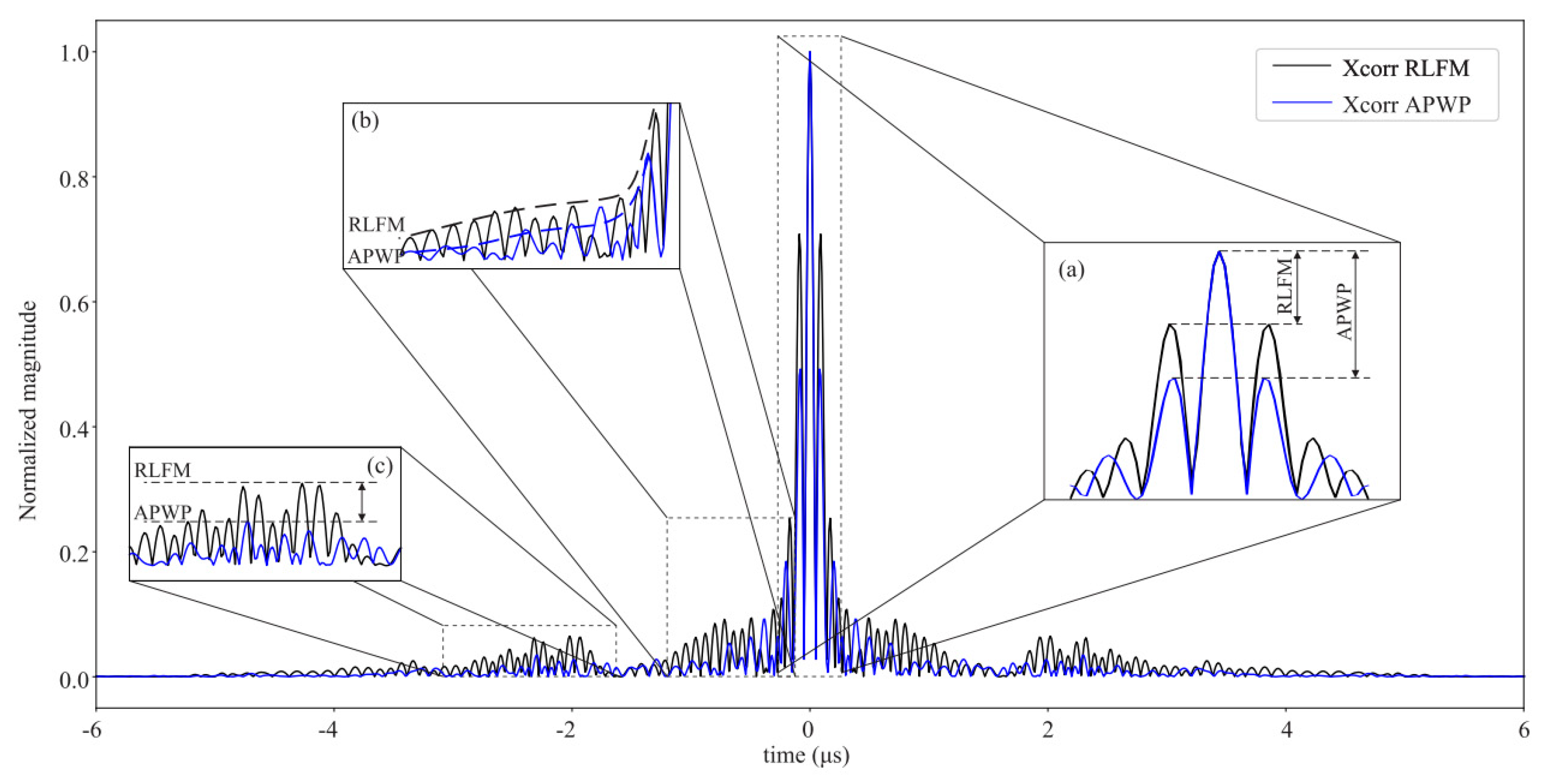
- RLFM and its spectrum optimization
- The combination of different encoding methods
3. Coded Excitation for Improving Detection Efficiency and Spatial Encoding
3.1. Coded Excitation for Improving Detection Efficiency
- Mismatched LFM signal
- Orthogonal Golay pairs
- Gold sequence
3.2. Hadamard Spatial Encoding
3.3. The Combination of Time Coding and Spatial Coding
4. The Application of Coded Excitation in Various Fields of Ultrasonic Testing
4.1. The Application of Coded Excitation in Industrial Ultrasonic Testing
4.1.1. Guided Wave Ultrasonic Testing
4.1.2. Air-Coupled Ultrasonic Testing
4.1.3. Single-Probe Bulk Wave Testing
4.1.4. Phased Array Bulk Wave Testing
4.2. The Application of Coded Excitation in Medical Ultrasonic Testing
4.2.1. Guided Wave Ultrasonic Testing
4.2.2. Phased Array Ultrasound Imaging Detection
4.2.3. Multi-Beam Parallel Transmission High Frame Rate Imaging Detection
5. Conclusions
Author Contributions
Funding
Conflicts of Interest
References
- Dwivedi, S.K.; Vishwakarma, M.; Soni, A. Advances and Researches on Non Destructive Testing: A Review. Mater. Today Proc. 2018, 5, 3690–3698. [Google Scholar] [CrossRef]
- Bhattacharya, P. Statement of Intent for Journal of Physics D: Applied Physics. J. Phys. D Appl. Phys. 2008, 42, 010201. [Google Scholar] [CrossRef]
- Shaloo, M.; Schnall, M.; Klein, T.; Huber, N.; Reitinger, B. A Review of Non-Destructive Testing (NDT) Techniques for Defect Detection: Application to Fusion Welding and Future Wire Arc Additive Manufacturing Processes. Materials 2022, 15, 3697. [Google Scholar] [CrossRef]
- Carvalho, A.A.; Rebello, J.M.A.; Souza, M.P.V.; Sagrilo, L.V.S.; Soares, S.D. Reliability of Non-Destructive Test Techniques in the Inspection of Pipelines Used in the Oil Industry. Int. J. Press. Vessel. Pip. 2008, 85, 745–751. [Google Scholar] [CrossRef]
- Stavridis, J.; Papacharalampopoulos, A.; Stavropoulos, P. Quality Assessment in Laser Welding: A Critical Review. Int. J. Adv. Manuf. Technol. 2017, 94, 1825–1847. [Google Scholar] [CrossRef]
- Chen, Y.-X.; Wang, Z.-Y.; Peng, J.-P.; Li, J.-I.; Chen, L.; Guo, J.-Q. Research on Ultrasonic Imaging of Oblique Cracks with Angle Probe. In Proceedings of the 2017 Far East NDT New Technology & Application Forum (FENDT), Xi’an, China, 22–24 June 2017. [Google Scholar]
- Tanaka, T.; Izawa, Y. Nondestructive Detection of Small Internal Defects in Carbon Steel by Laser Ultrasonics. Jpn. J. Appl. Phys. 2001, 40, 1477. [Google Scholar] [CrossRef]
- Zhang, J.; Wedge, S.; Rogerson, A.; Drinkwater, B. Comparison of Ultrasonic Image Features with Echodynamic Curves for Defect Classification and Characterization. AIP Conf. Proc. 2015, 1650, 970–977. [Google Scholar]
- Felice, M.V.; Fan, Z. Sizing of Flaws Using Ultrasonic Bulk Wave Testing: A Review. Ultrasonics 2018, 88, 26–42. [Google Scholar] [CrossRef]
- Zang, X.; Xu, Z.-D.; Lu, H.; Zhu, C.; Zhang, Z. Ultrasonic Guided Wave Techniques and Applications in Pipeline Defect Detection: A Review. Int. J. Press. Vessel. Pip. 2023, 206, 105033. [Google Scholar] [CrossRef]
- Drinkwater, B.W.; Wilcox, P.D. Ultrasonic Arrays for Non-Destructive Evaluation: A Review. NDT E Int. 2006, 39, 525–541. [Google Scholar] [CrossRef]
- Takuso Sato, T.S. Generalized Ultrasonic Percussion: Imaging of Ultrasonic Nonlinear Parameters and Its Medical and Industrial Applications. Jpn. J. Appl. Phys. 1994, 33, 2833. [Google Scholar] [CrossRef]
- Payne, P.A. Medical and Industrial Applications of High Resolution Ultrasound. J. Phys. E Sci. Instrum. 1985, 18, 465–473. [Google Scholar] [CrossRef]
- Mozaffari, M.H.; Lee, W.-S. Freehand 3-D Ultrasound Imaging: A Systematic Review. Ultrasound Med. Biol. 2017, 43, 2099–2124. [Google Scholar] [CrossRef] [PubMed]
- Harris, G.R. Progress in Medical Ultrasound Exposimetry. IEEE Trans. Ultrason. Ferroelect. Freq. Control 2005, 52, 717–736. [Google Scholar] [CrossRef] [PubMed]
- Bishop, P.J. The Evolution of the British Journal of Radiology. BJR 1973, 46, 833–836. [Google Scholar] [CrossRef]
- Hoskins, P.R. Haemodynamics and Blood Flow Measured Using Ultrasound Imaging. Proc. Inst. Mech. Eng. Part H J. Eng. Med. 2009, 224, 255–271. [Google Scholar] [CrossRef] [PubMed]
- Mikic, I.; Krucinski, S.; Thomas, J.D. Segmentation and Tracking in Echocardiographic Sequences: Active Contours Guided by Optical Flow Estimates. IEEE Trans. Med. Imaging 1998, 17, 274–284. [Google Scholar] [CrossRef] [PubMed]
- Baranger, J.; Mertens, L.; Villemain, O. Blood Flow Imaging with Ultrafast Doppler. JoVE 2020, 164, e61838. [Google Scholar]
- Vos, H.J.; Voorneveld, J.D.; Groot Jebbink, E.; Leow, C.H.; Nie, L.; van den Bosch, A.E.; Tang, M.-X.; Freear, S.; Bosch, J.G. Contrast-Enhanced High-Frame-Rate Ultrasound Imaging of Flow Patterns in Cardiac Chambers and Deep Vessels. Ultrasound Med. Biol. 2020, 46, 2875–2890. [Google Scholar] [CrossRef]
- Wells, P.N.T. Ultrasonic Colour Flow Imaging. Phys. Med. Biol. 1994, 39, 2113–2145. [Google Scholar] [CrossRef]
- Maruyama, H.; Ebara, M. Recent Applications of Ultrasound: Diagnosis and Treatment of Hepatocellular Carcinoma. Int. J. Clin. Oncol. 2006, 11, 258–267. [Google Scholar] [CrossRef] [PubMed]
- Hashimoto, H.; Takeuchi, Y. Adaptive Scan Sequence for Real-Time Ultrasound 3-D Imaging. Ultrason. Imaging 2003, 25, 215–225. [Google Scholar] [CrossRef]
- Li, P.-C. Pulse Compression for Finite Amplitude Distortion Based Harmonic Imaging Using Coded Waveforms. Ultrason. Imaging 1999, 21, 1–16. [Google Scholar] [CrossRef]
- Shin, E.-J.; Park, S.; Kang, S.; Kim, J.; Chang, J.H. Improving the Quality of Ultrasound Images Acquired Using a Therapeutic Transducer. Ultrasonics 2023, 134, 107063. [Google Scholar] [CrossRef] [PubMed]
- Chiao, R.Y.; Hao, X. Coded Excitation for Diagnostic Ultrasound: A System Developer’s Perspective. IEEE Trans. Ultrason. Ferroelect. Freq. Control 2005, 52, 160–170. [Google Scholar] [CrossRef]
- Misaridis, T.; Jensen, J.A. Use of Modulated Excitation Signals in Medical Ultrasound. Part I: Basic Concepts and Expected Benefits. IEEE Trans. Ultrason. Ferroelect. Freq. Control 2005, 52, 177–191. [Google Scholar] [CrossRef] [PubMed]
- Takeuchi, Y. An Investigation of a Spread Energy Method for Medical Ultrasound Systems. Ultrasonics 1979, 17, 175–182. [Google Scholar] [CrossRef] [PubMed]
- Takeuchi, Y. Coded Excitation for Harmonics Imaging. In Proceedings of the 1996 IEEE Ultrasonics Symposium, San Antonio, TX, USA, 3–6 November 1996. [Google Scholar]
- Qiu, W.; Wang, X.; Chen, Y.; Fu, Q.; Su, M.; Zhang, L.; Xia, J.; Dai, J.; Zhang, Y.; Zheng, H. Modulated Excitation Imaging System for Intravascular Ultrasound. IEEE Trans. Biomed. Eng. 2017, 64, 1935–1942. [Google Scholar] [CrossRef]
- Misaridis, T.X.; Jensen, J.A. An Effective Coded Excitation Scheme Based on a Predistorted FM Signal and an Optimized Digital Filter. In Proceedings of the 1999 IEEE Ultrasonics Symposium, International Symposium (Cat. No. 99CH37027), Tahoe, NV, USA, 17–20 October 1999. [Google Scholar]
- Hamilton, F.; Hoskins, P.; Corner, G.; Huang, Z. Nonlinear Harmonic Distortion of Complementary Golay Codes. Ultrason. Imaging 2023, 45, 22–29. [Google Scholar] [CrossRef]
- Wang, N.; Yang, C.; Xu, J.; Shi, W.; Huang, W.; Cui, Y.; Jian, X. An Improved Chirp Coded Excitation Based on Compression Pulse Weighting Method in Endoscopic Ultrasound Imaging. IEEE Trans. Ultrason. Ferroelect. Freq. Control 2021, 68, 446–452. [Google Scholar] [CrossRef]
- Vienneau, E.P.; Byram, B.C. A Coded Excitation Framework for High SNR Transcranial Ultrasound Imaging. IEEE Trans. Med. Imaging 2023, 42, 2886–2898. [Google Scholar] [CrossRef] [PubMed]
- Hofmann, A.G.; Mlekusch, I.; Wickenhauser, G.; Assadian, A.; Taher, F. Clinical Applications of B-Flow Ultrasound: A Scoping Review of the Literature. Diagnostics 2023, 13, 397. [Google Scholar] [CrossRef] [PubMed]
- Vienneau, E.; Weeks, A.; Byram, B. Coded Excitation for Increased Sensitivity in Transcranial Power Doppler Imaging. In Proceedings of the 2022 IEEE International Ultrasonics Symposium (IUS), Venice, Italy, 10–13 October 2022. [Google Scholar]
- Ramalli, A.; Boni, E.; Giangrossi, C.; Mattesini, P.; Dallai, A.; Liebgott, H.; Tortoli, P. Real-Time 3-D Spectral Doppler Analysis With a Sparse Spiral Array. IEEE Trans. Ultrason. Ferroelect. Freq. Control 2021, 68, 1742–1751. [Google Scholar] [CrossRef] [PubMed]
- Chen, Q.; Song, H.; Yu, J.; Kim, K. Current Development and Applications of Super-Resolution Ultrasound Imaging. Sensors 2021, 21, 2417. [Google Scholar] [CrossRef] [PubMed]
- Vienneau, E.; Byram, B. Compound Barker-Coded Excitation for Increased Signal-to-Noise Ratio and Penetration Depth in Transcranial Ultrasound Imaging. In Proceedings of the 2020 IEEE International Ultrasonics Symposium (IUS), Las Vegas, NV, USA, 7–11 September 2020. [Google Scholar]
- Fan, Z.; Niu, X.; Miao, B.; Meng, H. Hybrid Coded Excitation of the Torsional Guided Wave Mode T(0,1) for Oil and Gas Pipeline Inspection. Appl. Sci. 2022, 12, 777. [Google Scholar] [CrossRef]
- Dunlap, M.D.; Stafford, T.; Kay, S.M. Generalized Matched Filter for Clutter Suppression in Cast Austenitic Stainless Steel Welds. In Proceedings of the 2020 IEEE International Ultrasonics Symposium (IUS), Las Vegas, NV, USA, 7–11 September 2020. [Google Scholar]
- Gao, F.; Zeng, L.; Lin, J.; Shao, Y. Damage Assessment in Composite Laminates via Broadband Lamb Wave. Ultrasonics 2018, 86, 49–58. [Google Scholar] [CrossRef] [PubMed]
- Tabatabaeipour, M.; Hettler, J.; Sewell, N.T.; Wright, J.R.; Wright, J.C.S.; Delrue, S.; Van Den Abeele, K. Pulse-Inversion Chirp-Coded Weld Harmonic Imaging (PI-CWHI) of Friction Stir Welded Butt-Joint. J. Nondestruct. Eval. 2017, 36, 75. [Google Scholar] [CrossRef]
- da Costa-Felix, R.P.B.; Machado, J.C.; Barros, A.L.P. P2D-9 A Frequency-Compensated Coded-Excitation Pulse to Improve Axial Resolution of Ultrasonic System. In Proceedings of the 2006 IEEE Ultrasonics Symposium, Vancouver, BC, Canada, 3–6 October 2006. [Google Scholar]
- Lopez Villaverde, E.; Robert, S.; Prada, C. Ultrasonic Imaging of Defects in Coarse-Grained Steels with the Decomposition of the Time Reversal Operator. J. Acoust. Soc. Am. 2016, 140, 541–550. [Google Scholar] [CrossRef] [PubMed]
- Islam, M.S.; Chong, U. Noise Reduction of Continuous Wave Radar and Pulse Radar Using Matched Filter and Wavelets. J. Image Video Proc. 2014, 2014, 43. [Google Scholar] [CrossRef]
- Gan, T.H.; Hutchins, D.A.; Billson, D.R.; Schindel, D.W. The Use of Broadband Acoustic Transducers and Pulse-Compression Techniques for Air-Coupled Ultrasonic Imaging. Ultrasonics 2001, 39, 181–194. [Google Scholar] [CrossRef]
- Hutchins, D.; Burrascano, P.; Davis, L.; Laureti, S.; Ricci, M. Coded Waveforms for Optimised Air-Coupled Ultrasonic Nondestructive Evaluation. Ultrasonics 2014, 54, 1745–1759. [Google Scholar] [CrossRef] [PubMed]
- Misaridis, T.; Jensen, J.A. Use of Modulated Excitation Signals in Medical Ultrasound. Part II: Design and Performance for Medical Imaging Applications. IEEE Trans. Ultrason. Ferroelect. Freq. Control 2005, 52, 192–207. [Google Scholar] [CrossRef] [PubMed]
- Shen, C.-C.; Lin, C.-H. Chirp-Encoded Excitation for Dual-Frequency Ultrasound Tissue Harmonic Imaging. IEEE Trans. Ultrason. Ferroelect. Freq. Control 2012, 59, 2420–2430. [Google Scholar]
- Tang, J.; Zhu, W.; Qiu, X.; Song, A.; Xiang, Y.; Xuan, F.-Z. Non-Contact Phase Coded Excitation of Ultrasonic Lamb Wave for Blind Hole Inspection. Ultrasonics 2022, 119, 106606. [Google Scholar] [CrossRef] [PubMed]
- Leavens, C.; Willams, R.; Burns, P.; Sherar, M. The Use of Phase Codes in Ultrasound Imaging: SNR Gain and Bandwidth Requirements. Appl. Acoust. 2009, 70, 1340–1351. [Google Scholar] [CrossRef]
- Garcia-Rodriguez, M.; Yañez, Y.; Garcia-Hernandez, M.J.; Salazar, J.; Turo, A.; Chavez, J.A. Application of Golay Codes to Improve the Dynamic Range in Ultrasonic Lamb Waves Air-Coupled Systems. NDT E Int. 2010, 43, 677–686. [Google Scholar] [CrossRef]
- Benane, Y.M.; Bujoreanu, D.; Cachard, C.; Nicolas, B.; Basset, O. An Enhanced Chirp Modulated Golay Code for Ultrasound Diverging Wave Compounding. In Proceedings of the 2018 26th European Signal Processing Conference (EUSIPCO), Rome, Italy, 3–7 September 2018. [Google Scholar]
- Yang, Y.; Wang, P.; Jia, Y.; Jing, L.; Shi, Y.; Sheng, H.; Jiang, Y.; Liu, R.; Xu, Y.; Li, X. Rail Fracture Monitoring Based on Ultrasonic-Guided Wave Technology with Multivariate Coded Excitation. Ultrasonics 2024, 136, 107164. [Google Scholar] [CrossRef] [PubMed]
- Fan, Z.; Rudlin, J.; Asfis, G.; Meng, H. Convolution of Barker and Golay Codes for Low Voltage Ultrasonic Testing. Technologies 2019, 7, 72. [Google Scholar] [CrossRef]
- Lashkari, B.; Manbachi, A.; Mandelis, A.; Cobbold, R.S.C. Slow and Fast Ultrasonic Wave Detection Improvement in Human Trabecular Bones Using Golay Code Modulation. J. Acoust. Soc. Am. 2012, 132, EL222–EL228. [Google Scholar] [CrossRef]
- Trots, I.; Tasinkevych, Y.; Nowicki, A. Orthogonal Golay Codes with Local Beam Pattern Correction in Ultrasonic Imaging. IEEE Signal Process. Lett. 2015, 22, 1681–1684. [Google Scholar] [CrossRef]
- Choi, T.; Chang, S.; Kim, T.-H.; Park, J. Golay-Coded Excitations for Rotational Intravascular Ultrasound Imaging. IEEE Access 2019, 7, 119718–119728. [Google Scholar] [CrossRef]
- Dahis, D.; Farti, N.; Romano, T.; Artzi, N.; Azhari, H. Ultrasonic Thermal Monitoring of the Brain Using Golay-Coded Excitations—Feasibility Study. IEEE Trans. Ultrason. Ferroelect. Freq. Control 2022, 69, 672–680. [Google Scholar] [CrossRef] [PubMed]
- Li, H.; Zhou, Z. Application of P4 Polyphase Codes Pulse Compression Method to Air-Coupled Ultrasonic Testing Systems. Ultrasonics 2017, 78, 57–69. [Google Scholar] [CrossRef] [PubMed]
- Alighale, S.; Zakeri, B. An Excellent Reduction in Sidelobe Level for P4 Code by Using of a New Pulse Compression Scheme. Int. J. Electron. 2013, 101, 1458–1466. [Google Scholar] [CrossRef]
- Sato, R.; Shinriki, M. Simple Mismatched Filter for Binary Pulse Compression Code with Small PSL and Small S/N Loss. IEEE Trans. Aerosp. Electron. Syst. 2003, 39, 711–718. [Google Scholar] [CrossRef]
- Zhang, S.; Ma, R.; Yin, T.; Liu, Z. M-Sequence-Coded Excitation for Magneto-Acoustic Imaging. Med. Biol. Eng. Comput. 2018, 57, 1059–1067. [Google Scholar] [CrossRef] [PubMed]
- Ness, G.J.; Helleseth, T. Cross Correlation of M-Sequences of Different Lengths. IEEE Trans. Inform. Theory 2006, 52, 1637–1648. [Google Scholar] [CrossRef]
- Kir’yanov, B.F.; Kuznetsov, V.M.; Pesoshin, V.A. A Refined Formula for the Autocorrelation Function of an M-Sequence. Autom. Remote Control 2015, 76, 1221–1228. [Google Scholar] [CrossRef]
- Levanon, N.; Scharf, A. Range Sidelobes Blanking by Comparing Outputs of Contrasting Mismatched Filters. IET Radar Sonar Navig. 2009, 3, 265. [Google Scholar] [CrossRef]
- Levanon, N.; Scharf, A. Range Sidelobes Blanking Using Contrasting Mismatched Filters. In Proceedings of the 2009 16th International Conference on Digital Signal Processing, Santorini, Greece, 5–7 July 2009. [Google Scholar]
- Choi, B.W.; Bae, E.H.; Kim, J.S.; Lee, K.K. Improved Prewhitening Method for Linear Frequency Modulation Reverberation Using Dechirping Transformation. J. Acoust. Soc. Am. 2008, 123, EL21–EL25. [Google Scholar] [CrossRef]
- Kiefer, D.A.; Fink, M.; Rupitsch, S.J. Simultaneous Ultrasonic Measurement of Thickness and Speed of Sound in Elastic Plates Using Coded Excitation Signals. IEEE Trans. Ultrason. Ferroelect. Freq. Control 2017, 64, 1744–1757. [Google Scholar] [CrossRef] [PubMed]
- Sim, K.S.; Teh, V.; Nia, M.E. Adaptive Noise Wiener Filter for Scanning Electron Microscope Imaging System. Scanning 2015, 38, 148–163. [Google Scholar] [CrossRef] [PubMed]
- Rudko, M.; Weiner, D.D. Optimum Non-Linear Wiener Filters. J. Frankl. Inst. 1979, 308, 57–68. [Google Scholar] [CrossRef]
- da Costa, R.P.B.; Machado, F.J.C. Broadband Ultrasonic Attenuation Measurements Using Coded Sweep Excitations. In Proceedings of the IEEE Ultrasonics Symposium, Montreal, QC, Canada, 23–27 August 2004. [Google Scholar]
- Rodriguez-Martinez, A.; Svilainis, L.; Casa-Lillo, M.A.D.L.; Alvarez-Arenas, T.G.; Aleksandrovas, A.; Chaziachmetovas, A.; Salazar, A. On the Optimization of Spread Spectrum Chirps into Arbitrary Position and Width Pulse Signals. Application to Ultrasonic Sensors and Systems. IEEE Access 2022, 10, 2013–2027. [Google Scholar] [CrossRef]
- Honarvar, F.; Sheikhzadeh, H.; Moles, M.; Sinclair, A.N. Improving the Time-Resolution and Signal-to-Noise Ratio of Ultrasonic NDE Signals. Ultrasonics 2004, 41, 755–763. [Google Scholar] [CrossRef]
- Chimura, D.; Toh, R.; Motooka, S. Target Ranging in Water by Using an FM-Sensitivity-Compensated Signal and Pulse Compression. J. Mar. Acoust. Soc. Jpn. 2011, 38, 61–71. [Google Scholar] [CrossRef]
- Svilainis, L.; Dumbrava, V.; Kitov, S.; Aleksandrovas, A.; Chaziachmetovas, A.; Eidukynas, V.; Kybartas, D.; Lukoseviciute, K. Acquisition System for the Arbitrary Pulse Width and Position Signals Application in Ultrasound. Sen. Lett. 2014, 12, 1399–1407. [Google Scholar] [CrossRef]
- Zhang, J.; Gang, T.; Ye, C.; Cong, S. Low Sidelobe Level and High Time Resolution for Metallic Ultrasonic Testing with Linear-Chirp-Golay Coded Excitation. Nondestruct. Test. Eval. 2017, 33, 213–228. [Google Scholar] [CrossRef]
- Fu, J.; Wei, G.; Huang, Q.; Ji, F.; Feng, Y. Barker Coded Excitation with Linear Frequency Modulated Carrier for Ultrasonic Imaging. Biomed. Signal. Process. Control 2014, 13, 306–312. [Google Scholar] [CrossRef]
- SriDevi, K.; Rani, D.E. Mainlobe Width Reduction Using Linear and Nonlinear Frequency Modulation. In Proceedings of the 2009 International Conference on Advances in Recent Technologies in Communication and Computing, Kottayam, India, 27–28 October 2009. [Google Scholar]
- Lashkari, B.; Zhang, K.; Mandelis, A. High-Frame-Rate Synthetic Aperture Ultrasound Imaging Using Mismatched Coded Excitation Waveform Engineering: A Feasibility Study. IEEE Trans. Ultrason. Ferroelect. Freq. Control 2016, 63, 828–841. [Google Scholar] [CrossRef]
- Kim, B.-H.; Song, T.-K. Multibeam Simultaneous Transmit Multizone (MB-STMZ) Focusing Method Using Modulated Orthogonal Codes for Ultrasound Imaging. In Proceedings of the Medical Imaging 2004: Ultrasonic Imaging and Signal Processing, San Diego, CA, USA, 18–20 February 2004. [Google Scholar]
- Hwang, J.S.; Song, T.K. Ultrasound Imaging Apparatus and Method Using Golay Codes with Orthogonal Property. J. Acoust. Soc. Am. 2003, 114, 1725. [Google Scholar] [CrossRef]
- Zhao, F.; Luo, J. Diverging Wave Compounding with Spatio-Temporal Encoding Using Orthogonal Golay Pairs for High Frame Rate Imaging. Ultrasonics 2018, 89, 155–165. [Google Scholar] [CrossRef]
- Nicolet, F.; Carcreff, E.; Liebgott, H.; Nicolas, B. Synthetic Transmit Aperture Imaging Using Orthogonal Coded Sequences with Separate Transmitters-Receivers. In Proceedings of the 2022 IEEE International Ultrasonics Symposium (IUS), Venice, Italy, 10–13 October 2022. [Google Scholar]
- Misaridis, T.; Jensen, J.A. Use of Modulated Excitation Signals in Medical Ultrasound. Part III: High Frame Rate Imaging. IEEE Trans. Ultrason. Ferroelect. Freq. Control 2005, 52, 208–219. [Google Scholar] [CrossRef] [PubMed]
- Kiymik, M.K.; Güler, I.; Hasekioglu, O.; Karaman, M. Ultrasound Imaging Based on Multiple Beamforming with Coded Excitation. Signal Process. 1997, 58, 107–113. [Google Scholar] [CrossRef]
- Lopez Villaverde, E.; Robert, S.; Prada, C. Ultrasonic Imaging in Highly Attenuating Materials with Hadamard Codes and the Decomposition of the Time Reversal Operator. IEEE Trans. Ultrason. Ferroelect. Freq. Control 2017, 64, 1336–1344. [Google Scholar] [CrossRef] [PubMed]
- Silverstein, S.D. Application of Orthogonal Codes to the Calibration of Active Phased Array Antennas for Communication Satellites. IEEE Trans. Signal Process 1997, 45, 206–218. [Google Scholar] [CrossRef]
- Saini, A.; Felice, M.V.; Fan, Z.; Lane, C.J.L. Optimisation of the Half-Skip Total Focusing Method (HSTFM) Parameters for Sizing Surface-Breaking Cracks. NDT E Int. 2020, 116, 102365. [Google Scholar] [CrossRef]
- Zhu, W.; Xiang, Y.; Zhang, H.; Cheng, Y.; Fan, G.; Zhang, H. Research on Ultrasonic Sparse DC-TFM Imaging Method of Rail Defects. Measurement 2022, 200, 111690. [Google Scholar] [CrossRef]
- Yang, J.; Luo, L.; Yang, K.; Zhang, Y. Ultrasonic Phased Array Sparse TFM Imaging Based on Virtual Source and Phase Coherent Weighting. IEEE Access 2020, 8, 185609–185618. [Google Scholar] [CrossRef]
- Chiao, R.Y.; Thomas, L.J.; Silverstein, S.D. Sparse Array Imaging with Spatially-Encoded Transmits. In Proceedings of the 1997 IEEE Ultrasonics Symposium Proceedings. An International Symposium (Cat. No.97CH36118), Toronto, ON, Canada, 5–8 October 1997. [Google Scholar]
- Rose, J.L.; Lissenden, C.J. Guided Wave Mode and Frequency Selection Tips. AIP Conf. Proc. 2014, 1581, 358–364. [Google Scholar]
- Li, W.-B.; Deng, M.-X.; Xiang, Y.-X. Review on Second-Harmonic Generation of Ultrasonic Guided Waves in Solid Media (I): Theoretical Analyses. Chin. Phys. B 2017, 26, 114302. [Google Scholar] [CrossRef]
- Yucel, M.K.; Fateri, S.; Legg, M.; Wilkinson, A.; Kappatos, V.; Selcuk, C.; Gan, T.-H. Coded Waveform Excitation for High-Resolution Ultrasonic Guided Wave Response. IEEE Trans. Ind. Inf. 2016, 12, 257–266. [Google Scholar] [CrossRef]
- Dupont-Marillia, F.; Jahazi, M.; Lafreniere, S.; Belanger, P. Design and Optimisation of a Phased Array Transducer for Ultrasonic Inspection of Large Forged Steel Ingots. NDT E Int. 2019, 103, 119–129. [Google Scholar] [CrossRef]
- Chimenti, D.E. Review of Air-Coupled Ultrasonic Materials Characterization. Ultrasonics 2014, 54, 1804–1816. [Google Scholar] [CrossRef] [PubMed]
- Zhang, H.; Wu, S.; Ta, D.; Xu, K.; Wang, W. Coded Excitation of Ultrasonic Guided Waves in Long Bone Fracture Assessment. Ultrasonics 2014, 54, 1203–1209. [Google Scholar] [CrossRef] [PubMed]
- Nowicki, A.; Tasinkiewicz, J.; Trots, I. Flow Imaging Using Differential Golay Encoded Ultrasound. Ultrasonics 2022, 126, 106825. [Google Scholar] [CrossRef] [PubMed]
- Harrison, T.; Sampaleanu, A.; Zemp, R.J. S-Sequence Spatially-Encoded Synthetic Aperture Ultrasound Imaging [Correspondence]. IEEE Trans. Ultrason. Ferroelect. Freq. Control 2014, 61, 886–890. [Google Scholar] [CrossRef]
- Wang, N.; Li, X.; Xu, J.; Jiao, Y.; Cui, Y.; Jian, X. A High Frequency Endoscopic Ultrasound Imaging Method Combining Chirp Coded Excitation and Compressed Sensing. Ultrasonics 2022, 121, 106669. [Google Scholar] [CrossRef]
- Zhou, Z.; Ma, B.; Jiang, J.; Yu, G.; Liu, K.; Zhang, D.; Liu, W. Application of Wavelet Filtering and Barker-Coded Pulse Compression Hybrid Method to Air-Coupled Ultrasonic Testing. Nondestruct. Test. Eval. 2014, 29, 297–314. [Google Scholar] [CrossRef]
- Isla, J.; Cegla, F. Coded Excitation for Low SNR Pulse-Echo Systems: Enabling Quasi-Real-Time Low-Power EMATs. In Proceedings of the 2016 IEEE International Ultrasonics Symposium (IUS), Tours, France, 18–21 September 2016. [Google Scholar]
- Bhatti, M.T.; Tomov, B.G.; Diederichsen, S.E.; Stuart, M.B.; Thomsen, E.V.; Jensen, J.A. Thermal Analysis and SNR Comparison of CMUT and PZT Transducers Using Coded Excitation. Ultrasonics 2024, 136, 107148. [Google Scholar] [CrossRef]
- Tamraoui, M.; Liebgott, H.; Roux, E. Complete Complementary Coded Excitation Scheme for SNR Improvement of 2D Sparse Array Ultrasound Imaging. IEEE Trans. Biomed. Eng. 2024, 71, 1043–1055. [Google Scholar] [CrossRef] [PubMed]

























| Code Length | +/− Format | Peak Sidelobe (dB) |
|---|---|---|
| 2 | +1 −1 | −6.0 |
| 2 | +1 +1 | −6.0 |
| 3 | +1 +1 −1 | −9.5 |
| 4 | +1 +1 −1 +1 | −12.0 |
| 4 | +1 +1 +1 −1 | −12.0 |
| 5 | +1 +1 +1 −1 +1 | −14.0 |
| 7 | +1 +1 +1 −1 −1 +1 −1 | −16.9 |
| 11 | +1 +1 +1 −1 −1 −1 +1 −1 −1 +1 −1 | −20.8 |
| 13 | +1 +1 +1 +1 +1 −1 −1 +1 +1 −1 +1 −1 +1 | −22.3 |
| Signal | Mode | Raw (dB) | Result (dB) | Increase (dB) |
|---|---|---|---|---|
| LFM | Longitudinal Flexural | 19.0 13.3 | 26.6 24.4 | 7.6 11.1 |
| MLS | Longitudinal Flexural | 22.5 18.6 | 28.0 23.4 | 5.5 4.8 |
| Coded Excitation Name | Type | Advantage | Disadvantage |
|---|---|---|---|
| Without coding (simple pulse) | / |
| SNR coupled with resolution |
| Linear frequency modulation (LFM) | Time coding |
| Limited by device performance |
| Barker code | Time coding |
| The maximum code length is 13 bits, so the upper limit of the SNR gain is relatively low |
| Golay code | Time coding |
| The same position needs to be emitted twice, so the detection efficiency is relatively low |
| P3, P4 code | Time coding | With lower sidelobe level and greater Doppler tolerance | The existence of sidelobes implies the presence of artifacts |
| M-sequence | Time coding |
| The sidelobe suppression is not as good as the Barker code and Golay code |
| Gold sequence | Time coding |
| The autocorrelation is not as good as the M-sequence |
| Hadamard encoding | Spatial coding |
| Must be achieved by using phased array ultrasound probes |
| Combination of time coding and spatial coding | Time coding and spatial coding |
| Severely limited by the device |
Disclaimer/Publisher’s Note: The statements, opinions and data contained in all publications are solely those of the individual author(s) and contributor(s) and not of MDPI and/or the editor(s). MDPI and/or the editor(s) disclaim responsibility for any injury to people or property resulting from any ideas, methods, instructions or products referred to in the content. |
© 2024 by the authors. Licensee MDPI, Basel, Switzerland. This article is an open access article distributed under the terms and conditions of the Creative Commons Attribution (CC BY) license (https://creativecommons.org/licenses/by/4.0/).
Share and Cite
Weng, C.; Gu, X.; Jin, H. Coded Excitation for Ultrasonic Testing: A Review. Sensors 2024, 24, 2167. https://doi.org/10.3390/s24072167
Weng C, Gu X, Jin H. Coded Excitation for Ultrasonic Testing: A Review. Sensors. 2024; 24(7):2167. https://doi.org/10.3390/s24072167
Chicago/Turabian StyleWeng, Chenxin, Xu Gu, and Haoran Jin. 2024. "Coded Excitation for Ultrasonic Testing: A Review" Sensors 24, no. 7: 2167. https://doi.org/10.3390/s24072167
APA StyleWeng, C., Gu, X., & Jin, H. (2024). Coded Excitation for Ultrasonic Testing: A Review. Sensors, 24(7), 2167. https://doi.org/10.3390/s24072167

