Modeling of Electric Field and Dielectrophoretic Force in a Parallel-Plate Cell Separation Device with an Electrode Lid and Analytical Formulation Using Fourier Series
Abstract
1. Introduction
2. Theory
2.1. Basic Principle of DEP
2.2. Electric Field Analysis
2.3. Analytical Solution Using the Fourier Series Method
2.4. Analytical Form of DEP Force
3. Experimental Method
3.1. Cell Sample Preparation
3.2. Preparation of Cell Sample Solution
3.3. Fabrication of Cell Separation Device
3.4. Experimental Apparatus and Method
4. Results and Discussion
4.1. Accuracy Verification of the Analytical Solution
4.2. Distribution of DEP Force
4.3. Experimental Results
4.4. Relationship Between DEP Force and Electrode Width and Spacing
5. Conclusions
Author Contributions
Funding
Institutional Review Board Statement
Informed Consent Statement
Data Availability Statement
Conflicts of Interest
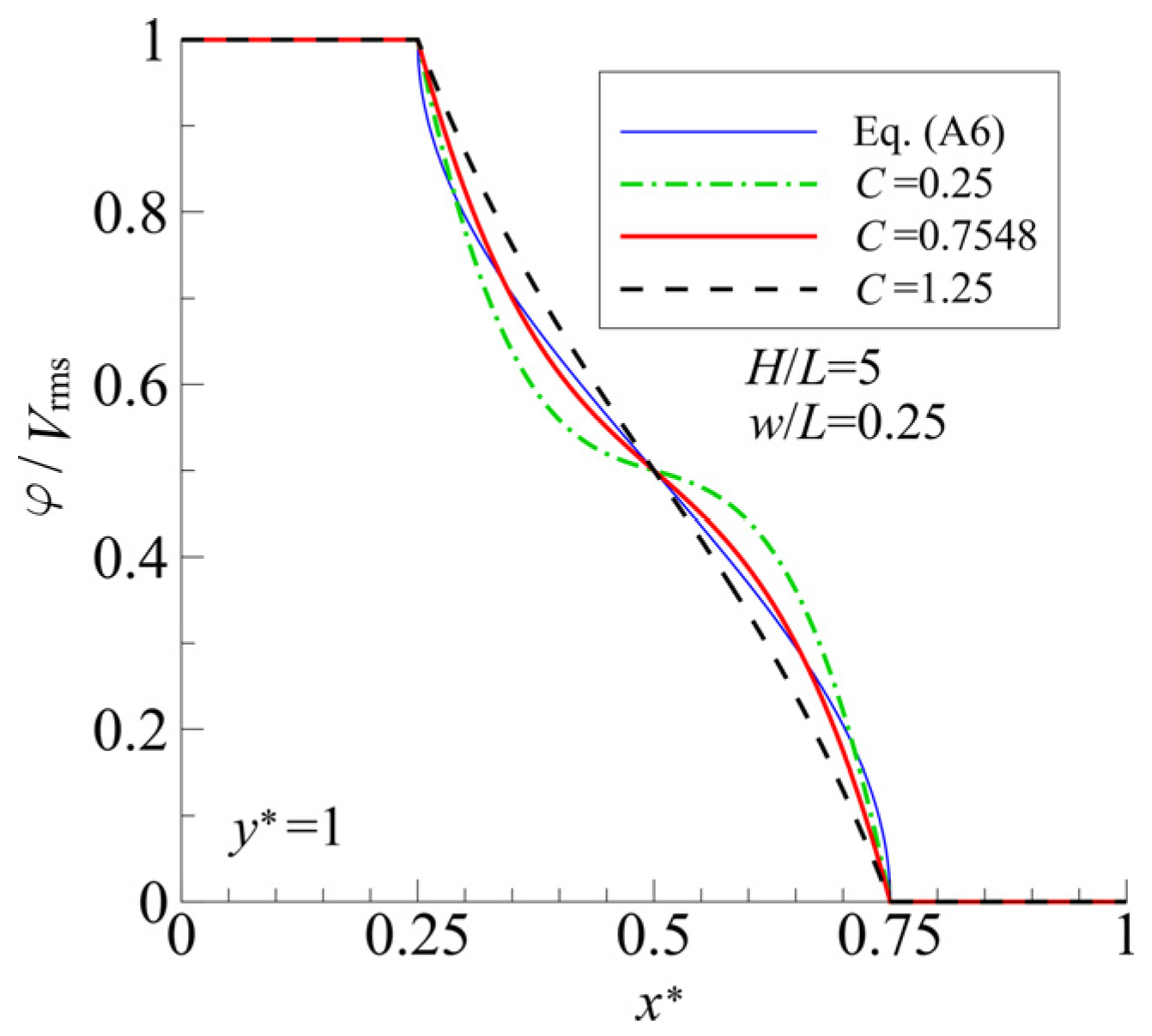
Appendix A


Appendix B
References
- Farasat, M.; Chavoshi, S.M.; Bakhshi, A.; Valipour, A.; Badieirostami, M. A dielectrophoresis-based microfluidic chip for trapping circulating tumor cells using a porous membrane. J. Micromech. Microeng. 2021, 32, 015008. [Google Scholar] [CrossRef]
- Lv, B.; Cai, J. Simulation and analysis of geometric parameters based on Taguchi method in YY microfluidic device for circulating tumor cell separation by alternating current dielectrophoresis. J. Chromatogr. A 2023, 1693, 463894. [Google Scholar] [CrossRef] [PubMed]
- Valijam, S.; Salehi, A.; Andersson, M. Design of a low-voltage dielectrophoresis lab-on-the chip to separate tumor and blood cells. Microfluid. Nanofluid. 2023, 27, 22. [Google Scholar] [CrossRef]
- Varmazyari, V.; Habibiyan, H.; Ghafoorifard, H.; Ebrahimi, M.; Ghafouri-Fard, S. A dielectrophoresis-based microfluidic system having double-sided optimized 3D electrodes for label-free cancer cell separation with preserving cell viability. Sci. Rep. 2022, 12, 12100. [Google Scholar] [CrossRef] [PubMed]
- Giduthuri, A.T.; Theodossiou, S.K.; Schiele, N.R.; Srivastava, S.K. Dielectrophoresis as a tool for electrophysiological characterization of stem cells. Biophys. Rev. 2020, 1, 011304. [Google Scholar] [CrossRef] [PubMed]
- Sarno, B.; Heineck, D.; Heller, M.J.; Ibsen, S.D. Dielectrophoresis: Developments and applications from 2010 to 2020. Electrophoresis 2021, 42, 539–564. [Google Scholar] [CrossRef] [PubMed]
- Boran, Z.; Fan, Y.; Wenshuai, W.; Wuyi, W.; Wenhan, Z.; Qianbin, Z. Investigation of particle manipulation mechanism and size sorting strategy in a double-layered microchannel. Lab. Chip 2022, 22, 4556–4573. [Google Scholar] [CrossRef]
- Ni, C.; Wu, D.; Chen, Y.; Wang, S.; Xiang, N. Cascaded elasto-inertial separation of malignant tumor cells from untreated malignant pleural and peritoneal effusions. Lab. Chip 2024, 24, 697–706. [Google Scholar] [CrossRef] [PubMed]
- Abidin, Z.Z.; Downes, L.; Markx, G.H. Novel electrode structures for large scale dielectrophoretic separations based on textile technology. J. Biotechnol. 2007, 130, 183–187. [Google Scholar] [CrossRef] [PubMed]
- Huang, Y.; Wang, X.B.; Becker, F.F.; Gascoyne, P.R.C. Introducing dielectrophoresis as a new force field for field-flow fractionation. Biophys. J. 1997, 73, 1118–1129. [Google Scholar] [CrossRef]
- Fiedler, S.; Shirley, S.G.; Schnelle, T.; Fuhr, G. Dielectrophoretic sorting of particles and cells in a microsystem. Anal. Chem. 1998, 70, 1909–1915. [Google Scholar] [CrossRef] [PubMed]
- Morgan, H.; Izquierdo, A.G.; Bakewell, D.; Green, N.G.; Ramos, A. The dielectrophoretic and travelling wave forces generated by interdigitated electrode arrays: Analytical solution using Fourier series. J. Phys. D Appl. Phys. 2001, 34, 1553. [Google Scholar] [CrossRef]
- Choi, S.; Park, J.K. Microfluidic system for dielectrophoretic separation based on a trapezoidal electrode array. Lab. Chip 2005, 5, 1161–1167. [Google Scholar] [CrossRef] [PubMed]
- Song, H.; Bennett, D.J. A semi-analytical approach using artificial neural network for dielectrophoresis generated by parallel electrodes. J. Electrost. 2010, 68, 49–56. [Google Scholar] [CrossRef]
- Lewpiriyawong, N.; Yang, C.; Lam, Y.C. Continuous sorting and separation of microparticles by size using AC dielectrophoresis in a PDMS microfluidic device with 3-D conducting PDMS composite electrodes. Electrophoresis 2010, 31, 2622–2631. [Google Scholar] [CrossRef] [PubMed]
- So, J.H.; Dickey, M.D. Inherently aligned microfluidic electrodes composed of liquid metal. Lab. Chip 2011, 11, 905–911. [Google Scholar] [CrossRef] [PubMed]
- Fathy, J.; Pourmand, A.; Ghavifekr, H.B. Design and simulation of a MEMS based cell separator utilizing 3D travelling-wave dielectrophoresis. Microsyst. Technol. 2017, 23, 1351–1360. [Google Scholar] [CrossRef]
- Jiang, T.; Ren, Y.; Liu, W.; Tang, D.; Tao, Y.; Xue, R.; Jiang, H. Dielectrophoretic separation with a floating-electrode array embedded in microfabricated fluidic networks. Phys. Fluids 2018, 30, 112003. [Google Scholar] [CrossRef]
- Beech, J.P.; Keim, K.; Ho, B.D.; Guiducci, C.; Tegenfeldt, J.O. Active posts in deterministic lateral displacement devices. Adv. Mater. Technol. 2019, 4, 1900339. [Google Scholar] [CrossRef]
- Alnaimat, F.; Mathew, B.; Hilal-Alnaqbi, A. Modeling a dielectrophoretic microfluidic device with vertical interdigitated transducer electrodes for separation of microparticles based on size. Micromachines 2020, 11, 563. [Google Scholar] [CrossRef] [PubMed]
- Huang, X.; Torres-Castro, K.; Varhue, W.; Salahi, A.; Rasin, A.; Honrado, C.; Brown, A.; Guler, J.; Swami, N.S. Self-aligned sequential lateral field non-uniformities over channel depth for high throughput dielectrophoretic cell deflection. Lab. Chip 2021, 21, 835–843. [Google Scholar] [CrossRef] [PubMed]
- Tada, S.; Seki, Y. Analysis of temperature field in the dielectrophoresis-based microfluidic cell separation device. Fluids 2022, 7, 263. [Google Scholar] [CrossRef]
- Zhang, J.; Song, Z.; Liu, Q.; Song, Y. Recent advances in dielectrophoresis-based cell viability assessment. Electrophoresis 2020, 41, 917–932. [Google Scholar] [CrossRef] [PubMed]
- Nerguizian, V.; Alazzam, A.; Roman, D.; Stiharu, I.; Burnier, M., Jr. Analytical solutions and validation of electric field and dielectrophoretic force in a bio-microfluidic channel. Electrophoresis 2012, 33, 426–435. [Google Scholar] [CrossRef]
- Alazzam, A.; Roman, D.; Nerguizian, V.; Stiharu, I.; Bhat, R. Analytical formulation of electric field and dielectrophoretic force for moving dielectrophoresis using Fourier series. Microfluid. Nanofluid 2010, 9, 1115–1124. [Google Scholar] [CrossRef]
- Chen, R.; Liu, R.; Shen, H. Modeling and analysis of electric field and electrostatic adhesion force generated by interdigital electrodes for wall climbing robots. In Proceedings of the IEEE/RSJ International Conference on Intelligent Robots and Systems, Tokyo, Japan, 3–7 November 2013. [Google Scholar]
- Alhammadi, F.; Waheed, W.; El-Khasawneh, B.; Alazzam, A. Mathematical model and verification of electric field and dielectrophoresis in a microfluidic device. In Proceedings of the 2018 Advances in Science and Engineering Technology International Conferences (ASET), Dubai, United Arab Emirates, 6 February–5 April 2020. [Google Scholar]
- Clague, D.; Wheeler, E. Dielectrophoretic manipulation of macromolecules: The electric field. Phys. Rev. E 2001, 64, 026605. [Google Scholar] [CrossRef] [PubMed]
- Gurtner, M.; Hengster-Movric, K.; Hurák, Z. Green’s function-based control-oriented modeling of electric field for dielectrophoresis. J. Appl. Phys. 2017, 122, 054903. [Google Scholar] [CrossRef]
- Garcia, M.; Clague, D. The 2D electric field above a planar sequence of independent strip electrodes. J. Phys. D Appl. Phys. 2000, 33, 1747. [Google Scholar] [CrossRef]
- Wang, X.; Wang, X.B.; Becker, F.; Gascoyne, P.R.C. A theoretical method of electrical field analysis for dielectrophoretic electrode arrays using Green’s theorem. J. Phys. D Appl. Phys. 1996, 29, 1649–1660. [Google Scholar] [CrossRef]
- Bai, S.; Tang, Y.; Ruan, L.; Song, R.; Chen, H.; Du, Y.; Lin, H.; Tang, Y.; Shan, Y. Investigation into the influence of interdigital parameters on electrochemical performance for in-plane supercapacitors via mathematical modeling and conformal mapping techniques. J. Energy Storage 2023, 65, 107287. [Google Scholar] [CrossRef]
- Blume, S.O.; Ben-Mrad, R.; Sullivan, P.E. Modelling the capacitance of multi-layer conductor-facing interdigitated electrode structures. Sens. Actuators B Chem. 2015, 213, 423–433. [Google Scholar] [CrossRef]
- Pampin, R.S.; Raskin, J.; Huynen, I.; Flandre, D. Electrodes-oxide-semiconductor device for biosensing: Renewed conformal analysis and multilayer algorithm. J. Electroanal. Chem. 2020, 856, 113651. [Google Scholar] [CrossRef]
- Sun, T.; Green, N.G.; Gawad, S.; Morgan, H. Analytical electric field and sensitivity analysis for two microfluidic impedance cytometer designs. IET Nanobiotechnol. 2007, 1, 69–79. [Google Scholar] [CrossRef] [PubMed]
- Sun, T.; Morgan, H.; Green, N.G. Analytical solutions of ac electrokinetics in interdigitated electrode arrays: Electric field, dielectrophoretic and traveling-wave dielectrophoretic forces. Phys. Rev. E 2007, 76, 046610. [Google Scholar] [CrossRef] [PubMed]
- Sharbati, P.; Elitas, M. Numerical analysis of microfluidic gold electrode array for dielectrophoretic characterization of U87 glioma cells. In Proceedings of the 2022 Medical Technologies Congress, Antalya, Turkey, 31 October–2 November 2022. [Google Scholar] [CrossRef]
- Ghomian, T.; Hihath, J. Review of dielectrophoretic manipulation of micro and nanomaterials: Fundamentals, recent developments, and challenges. IEEE Trans. Biomed. Eng. 2022, 70, 27–41. [Google Scholar] [CrossRef] [PubMed]
- Miura, T.; Uno, S. Computer simulation for electrochemical impedance of a living cell adhered on the inter-digitated electrode sensors. Jpn. J. Appl. Phys. 2019, 58, SBBG15. [Google Scholar]
- Santos-Neto, I.S.d.; Carvalho, C.D.; Filho, G.B.A.; Andrade, C.D.S.S.; Santos, G.C.d.O.; Barros, A.K.; Neto, J.V.d.F.; Casas, V.L.P.; Alencar, L.M.R.; Lopes, A.J.O. Interdigitated electrode for electrical characterization of commercial pseudo-binary biodiesel–diesel blends. Sensors 2021, 21, 7288. [Google Scholar] [CrossRef]
- Zaman, M.A.; Padhy, P.; Ren, W.; Wu, M.; Hesselink, L. Microparticle transport along a planar electrode array using moving dielectrophoresis. J. Appl. Phys. 2021, 130, 034902. [Google Scholar] [CrossRef]
- Tada, S.; Hayashi, M.; Eguchi, M.; Tsukamoto, A. High-hroughput separation of cells by dielectrophoresis enhanced with 3D gradient AC electric field. Biomicrofluidics 2017, 11, 064110. [Google Scholar] [CrossRef] [PubMed]
- Duffy, D.G. Mixed Boundary Value Problems, 1st ed.; Chapman and Hall/CRC: New York, NY, USA, 2008; pp. 1–14. [Google Scholar]
- Feng, J.J.; Krishnamoorthy, S.; Chen, Z.J.; Makhijani, V.B. Numerical and analytical studies of AC electric field in dielectrophoretic electrode arrays. In Proceedings of the Technical Proceedings of the 2002 International Conference on Modeling and Simulation of Microsystems, San Juan, Puerto Rico, 21–25 April 2002. [Google Scholar]
- Jones, T.B. Electromechanics of Particles, 2nd ed.; Cambridge University Press: Cambridge, UK, 1995; pp. 34–48. [Google Scholar]
- Henslee, E.A.; Sano, M.B.; Rojas, A.D.; Schmelz, E.M.; Davalos, R.V. Selective concentration of human cancer cells using contactless dielectrophoresis. Electrophoresis 2011, 32, 2523–2529. [Google Scholar] [CrossRef]
- Gauthier, V.; Bolopion, A.; Gauthier, M. Analytical formulation of the electric field induced by electrode arrays: Towards automated dielectrophoretic cell sorting. Micromachines 2017, 8, 253. [Google Scholar] [CrossRef] [PubMed]
- Afshin, S.; Morteza, B.; Afshin, A.N. Electrode-based dielectrophoretic separation of live and dead yeast cells. Iran. J. Chem. Chem. Eng. 2023, 42, 1796–1810. [Google Scholar] [CrossRef]
- Bisceglia, E.; Cubizolles, M.; Mallard, F.; Pineda, F.; Francais, O.; Le Pioufle, B. Optimization of dielectrophoretic separation and concentration of pathogens in complex biological samples. In Proceedings of the SPIE 8765, Bio-MEMS and Medical Microdevices, Grenoble, France, 28 May 2013. [Google Scholar] [CrossRef]
- Yin, W.; Hu, K.; Yu, B.; Zhang, T.; Mei, H.; Zhang, B.; Zou, Z.; Xia, L.; Gui, Y.; Yin, J.; et al. Fast and sensitive detection of viable Escherichia coli O157:H7 using a microwell-confined and propidium monoazide-assisted digital CRISPR microfluidic platform. Lab. Chip 2024, 24, 4659–4668. [Google Scholar] [CrossRef] [PubMed]
- Hsieh, K.; Zec, H.C.; Chen, L.; Kaushik, A.M.; Mach, K.E.; Liao, J.C.; Wang, T. Simple and precise counting of viable bacteria by resazurin-amplified picoarray detection. Anal. Chem. 2018, 90, 9449–9456. [Google Scholar] [CrossRef]










| Symbol | Values | |
|---|---|---|
| RMS voltage | V | |
| electric permittivity of the solution | F/m | |
| electric conductivity of the solution | S/m | |
| cell diameter | 15 μm | |
| height of the microchannel | 500 μm | |
| real part of the CM factor | 0.98 | |
| number of terms of the series expansion | 100,000 | |
| electrode width and spacing (:d) | Type A | (50 μm:50 μm) |
| Type B | (50 μm:75 μm) | |
| Type C | (75 μm:50 μm) | |
Disclaimer/Publisher’s Note: The statements, opinions and data contained in all publications are solely those of the individual author(s) and contributor(s) and not of MDPI and/or the editor(s). MDPI and/or the editor(s) disclaim responsibility for any injury to people or property resulting from any ideas, methods, instructions or products referred to in the content. |
© 2024 by the authors. Licensee MDPI, Basel, Switzerland. This article is an open access article distributed under the terms and conditions of the Creative Commons Attribution (CC BY) license (https://creativecommons.org/licenses/by/4.0/).
Share and Cite
Nishikawa, D.; Seki, Y.; Tada, S. Modeling of Electric Field and Dielectrophoretic Force in a Parallel-Plate Cell Separation Device with an Electrode Lid and Analytical Formulation Using Fourier Series. Sensors 2025, 25, 185. https://doi.org/10.3390/s25010185
Nishikawa D, Seki Y, Tada S. Modeling of Electric Field and Dielectrophoretic Force in a Parallel-Plate Cell Separation Device with an Electrode Lid and Analytical Formulation Using Fourier Series. Sensors. 2025; 25(1):185. https://doi.org/10.3390/s25010185
Chicago/Turabian StyleNishikawa, Daiki, Yoshinori Seki, and Shigeru Tada. 2025. "Modeling of Electric Field and Dielectrophoretic Force in a Parallel-Plate Cell Separation Device with an Electrode Lid and Analytical Formulation Using Fourier Series" Sensors 25, no. 1: 185. https://doi.org/10.3390/s25010185
APA StyleNishikawa, D., Seki, Y., & Tada, S. (2025). Modeling of Electric Field and Dielectrophoretic Force in a Parallel-Plate Cell Separation Device with an Electrode Lid and Analytical Formulation Using Fourier Series. Sensors, 25(1), 185. https://doi.org/10.3390/s25010185

