Preliminary Analysis of Atmospheric Front-Related VHF Propagation Enhancements for Navigation Aids
Abstract
1. Introduction
2. Theoretical Approach to Front’s Influence
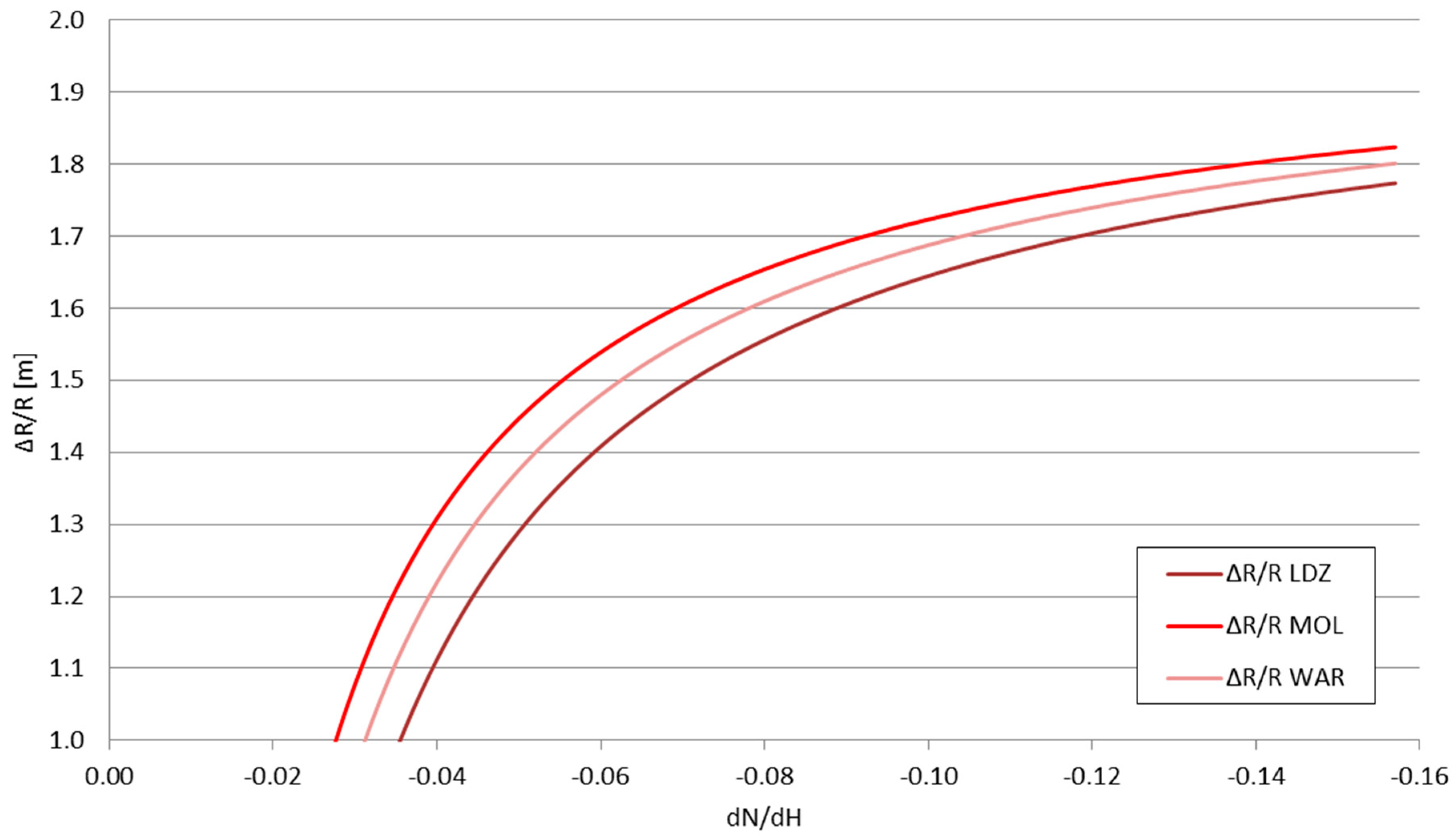
3. Experimental Application
4. Discussion
5. Conclusions
Author Contributions
Funding
Institutional Review Board Statement
Informed Consent Statement
Data Availability Statement
Conflicts of Interest
References
- Winick, A.B. VOR/DME System Improvements. Proc. IEEE 1970, 58, 430–437. [Google Scholar] [CrossRef]
- Ostroumov, I.V. Availability estimation of navigation aids. Visnyk NTUU KPI Seriia-Radiotekhnika Radioaparatobuduvannia 2017, 69, 35–40. [Google Scholar] [CrossRef]
- Ostroumov, I.; Kharchenko, V.; Kuzmenko, N. An airspace analysis according to area navigation requirements. Aviation 2019, 23, 36–42. [Google Scholar] [CrossRef]
- Bem, D.J. Telecommunication Systems. Part II. Radionavigation and Radiolocation; OFPW: Wrocław, Poland, 1991. [Google Scholar]
- Marzioli, P.; Frezza, L.; Curianò, F.; Pellegrino, A.; Gianfermo, A.; Angeletti, F.; Arena, L.; Cardona, T.; Valdatta, T.; Santoni, F.; et al. Experimental validation of VOR (VHF Omni Range) navigation system for stratospheric flight. Acta Astronaut. 2021, 178, 423–431. [Google Scholar] [CrossRef]
- Frezza, L.; Marzioli, P.; Santoni, F.; Piergentili, F. VHF Omnidirectional Range (VOR) Experimental Positioning for Stratospheric Vehicles. Aerospace 2021, 8, 263. [Google Scholar] [CrossRef]
- Rauniyar, S.; Orten, P.; Petersen, S. Mobile Connectivity Beyond the Coast-Line: A Case Study for Next Generation Shipping. In Proceedings of the 2023 IEEE 98th Vehicular Technology Conference (VTC2023-Fall), Hong Kong, 10–13 October 2023. [Google Scholar] [CrossRef]
- Lim, J.; Nakura, K.; Mori, S.; Harada, H. Software-Defined Radio-Based IEEE 802.15.4 SUN FSK Evaluation Platform for Highly Mobile Environments. IEEE Open J. Veh. Technol. 2024, 5, 1637–1649. [Google Scholar] [CrossRef]
- Gharibi, M.; Boutaba, R.; Waslander, S.L. Internet of Drones. IEEE Access 2016, 4, 1148–1162. [Google Scholar] [CrossRef]
- Kunertova, D. The war in Ukraine shows the game-changing effect of drones depends on the game. Bull. At. Sci. 2023, 79, 95–102. [Google Scholar] [CrossRef]
- Kunertova, D. Drones have boots: Learning from Russia’s war in Ukraine. Contemp. Secur. Policy 2023, 44, 576–591. [Google Scholar] [CrossRef]
- Starship Technologies Achieves Industry-First Autonomy Milestone. 4 May 2023. Available online: https://www.starship.xyz/press/starship-technologies-achieves-industry-first-autonomy-milestone/ (accessed on 3 June 2025).
- Longley, A.G.; Rice, P.L. Prediction of Tropospheric Radio Transmission Loss Over Irregular Terrain. A Computer Method-1968; ESSA Technical Report ERL 79-ITS 67; Institute for Telecommunication Sciences: Boulder, CO, USA, 1968. [Google Scholar]
- Hata, M. Empirical Formula for Propagation Loss in Land Mobile Radio Services. IEEE Trans. Veh. Technol. 1980, VT-29, 317–325. [Google Scholar] [CrossRef]
- Lee, C.-H.; Kwak, Y.-W.; Kim, S.-C.; Bae, S.-H. Evaluation of ITU-R Recommendation P.1546 and Consideration for New Correction Factor. 2007. Available online: https://s-space.snu.ac.kr/ (accessed on 3 April 2025).
- Östlin, E.; Suzuki, H.; Zepernick, H.-J. Evaluation of the Propagation Model Recommendation ITU-R P.1546 for Mobile Services in Rural Australia. IEEE Trans. Veh. Technol. 2008, 57, 38–51. [Google Scholar] [CrossRef]
- Więcek, D.; Wypiór, D. New SEAMCAT Propagation Models: Irregular Terrain Model and ITU-R P. 1546-4. J. Telecommun. Inf. Technol. 2011, 3, 131–140. [Google Scholar] [CrossRef]
- Bem, D.J. Antennas and Propagation of Radio Waves; WNT: Warsaw, Poland, 1973. [Google Scholar]
- Hosokawa, K.; Saito, S.; Sakai, J.; Tomizawa, I.; Nakata, H.; Takahashi, T.; Nishioka, M.; Tsugawa, T.; Ishii, M.; Saito, A.; et al. Observations of Sporadic E Using Aeronautical Navigation Radio Waves. In Proceedings of the URSI GASS 2023, Sapporo, Japan, 19–26 August 2023. [Google Scholar]
- Hosokawa, K.; Sakai, J.; Tomizawa, I.; Saito, S.; Tsugawa, T.; Nishioka, M.; Ishii, M. A monitoring network for anomalous propagation of aeronautical VHF radio waves due to sporadic E in Japan. Earth Planets Space 2020, 72, 88. [Google Scholar] [CrossRef]
- Sakai, J.; Hosokawa, K.; Tomizawa, I.; Saito, S. A Statistical Study of Anomalous VHF Propagation Due to the Sporadic-E Layer in the Air-Navigation Band. Radio Sci. 2019, 54, 426–439. [Google Scholar] [CrossRef]
- Hosokawa, K.; Kimura, K.; Sakai, J.; Saito, S.; Tomizawa, I.; Nishioka, M.; Tsugawa, T.; Ishii, M. Visualizing sporadic E using aeronautical navigation signals at VHF frequencies. J. Space Weather Space Clim. 2021, 11, 6. [Google Scholar] [CrossRef]
- Schmidt, M. Meteorology; WKiŁ: Warsaw, Poland, 1975. [Google Scholar]
- Bogdanov, A.F.; Vasin, V.V.; Dulin, V.N.; Ilin, V.A.; Krivitskiy, B.H.; Kuznetsov, V.A.; Labutin, V.K.; Molochkov, Y.B.; Piertsov, S.V.; Stiepanov, B.M.; et al. Compendium on Radioelectronics; Kulikovskiy, A.A., Ed.; WKiŁ: Warsaw, Poland, 1971. [Google Scholar]
- Bieńkowski, Z. VHF Operator Guide; WKiŁ: Warsaw, Poland, 1988. [Google Scholar]
- Nikandrov, V.Y. Artificial Influence on Clouds and Fogs; Hydrometeorology Publishing House: Leningrad, Russia, 1959. [Google Scholar]
- Ralston, A. Introduction to Numerical Calculus; PWN: Warsaw, Poland, 1983. [Google Scholar]
- Ezadi, S.; Allahviranloo, T.; Mohammadi, S. Two new methods for ranking of Z-numbers based on sigmoid function and sign method. Int. J. Intell. Syst. 2018, 33, 1476–1487. [Google Scholar] [CrossRef]
- Earth Atmosphere Model-NASA Glenn. Available online: www.grc.nasa.gov/www/k-12/airplane/atmosmet.html (accessed on 20 March 2025).
- Ghanghas, A.; Sharma, A.; Merwade, V. Unveiling the Evolution of Extreme Rainfall Storm Structure Across Space and Time in a Warming Climate. Earth’s Future 2024, 12, e2024EF004675. [Google Scholar] [CrossRef]
- Visser, J.B.; Wasko, C.; Sharma, A.; Nathan, R. Changing Storm Temporal Patterns with Increasing Temperatures Across Australia. J. Clim. 2023, 36, 6247–6259. [Google Scholar] [CrossRef]
- Cato, J.L.; Nicholls, N.; Jakob, C.; Shelton, K.L. Atmospheric fronts in current and future climates. Geophys. Res. Lett. 2014, 7642–7650. [Google Scholar] [CrossRef]
- Thomas, C.M.; Schultz, D.M. Global Climatologies of Fronts, Airmass Boundaries, and Airstream Boundaries: Why the Definition of “Front” Matters. Mon. Weather Rev. 2019, 147, 691–717. [Google Scholar] [CrossRef]















| Refraction Type | dN/dH | Trajectory Type |
|---|---|---|
| Negative | >0 | Upward-directed |
| None | 0 | Ground-parallel |
| Positive weak | (0; −0.04) | Approximately ground-parallel |
| Positive normal | −0.04 | Approximately ground-parallel |
| Positive strong | (−0.04; −0.157) | Approximately ground-parallel |
| Critical | −0.157 | Following the curvature of the ground |
| Supercritical | <−0.157 | Off-ground reflections appearing |
| Station Callsign (Name) | WGS−84 Coordinates | Transmitting Frequency |
|---|---|---|
| OKC (Okęcie) | 52.1697° N 20.9600° E | 113.45 MHz |
| MOL (Modlin) | 52.4525° N 20.6778° E | 116.6 MHz |
| WAR (Zaborówek) | 52.2592° N 20.6572° E | 114.9 MHz |
| GRU (Grudziądz) | 53.5211° N 18.7814° E | 114.6 MHz |
| LDZ (Łódź) | 51°46′34″ N 9°37′29″ E | 112.4 MHz |
| Station Callsign | Signal Strength—No Storm Front | Signal Strength—with Storm Front |
|---|---|---|
| LDZ | −89.51 dBm | −89.34 dBm |
| MOL | −67.79 dBm | −65.45 dBm |
| WAR | −49.27 dBm | −47.98 dBm |
Disclaimer/Publisher’s Note: The statements, opinions and data contained in all publications are solely those of the individual author(s) and contributor(s) and not of MDPI and/or the editor(s). MDPI and/or the editor(s) disclaim responsibility for any injury to people or property resulting from any ideas, methods, instructions or products referred to in the content. |
© 2025 by the authors. Licensee MDPI, Basel, Switzerland. This article is an open access article distributed under the terms and conditions of the Creative Commons Attribution (CC BY) license (https://creativecommons.org/licenses/by/4.0/).
Share and Cite
Miś, T.A.; Kazubski, W.; Zieliński, M. Preliminary Analysis of Atmospheric Front-Related VHF Propagation Enhancements for Navigation Aids. Sensors 2025, 25, 4455. https://doi.org/10.3390/s25144455
Miś TA, Kazubski W, Zieliński M. Preliminary Analysis of Atmospheric Front-Related VHF Propagation Enhancements for Navigation Aids. Sensors. 2025; 25(14):4455. https://doi.org/10.3390/s25144455
Chicago/Turabian StyleMiś, Tomasz Aleksander, Wojciech Kazubski, and Mikołaj Zieliński. 2025. "Preliminary Analysis of Atmospheric Front-Related VHF Propagation Enhancements for Navigation Aids" Sensors 25, no. 14: 4455. https://doi.org/10.3390/s25144455
APA StyleMiś, T. A., Kazubski, W., & Zieliński, M. (2025). Preliminary Analysis of Atmospheric Front-Related VHF Propagation Enhancements for Navigation Aids. Sensors, 25(14), 4455. https://doi.org/10.3390/s25144455

