Investigation of the Ultrasonic Treatment-Assisted Soaking Process of Different Red Kidney Beans and Compositional Analysis of the Soaking Water by NIR Spectroscopy
Abstract
1. Introduction
- -
- To evaluate the impact of ultrasound-assisted soaking on the soaking time and leaching behavior of red kidney beans of varying sizes and origin;
- -
- To assess the feasibility of using near-infrared spectroscopy (NIRS) to monitor the leaching process during ultrasonic treatment;
- -
- To investigate the impact of ultrasound-assisted soaking on the leaching behavior of red kidney beans. In particular, the study will examine how ultrasonic soaking affects the amount of leached material and determine whether accelerating the lengthy soaking process in industrial processing with ultrasound will result in a significant change in the leaching process of beans.
2. Materials and Methods
2.1. Materials
2.2. Ultrasonic Treatment
2.3. The Hydration Process
2.4. Soaking Water Sample Preparation
2.5. Near-Infrared Spectroscopic Measurements
2.6. Color Measurement
2.7. Dry Matter Measurement
2.8. Data Analysis
3. Results
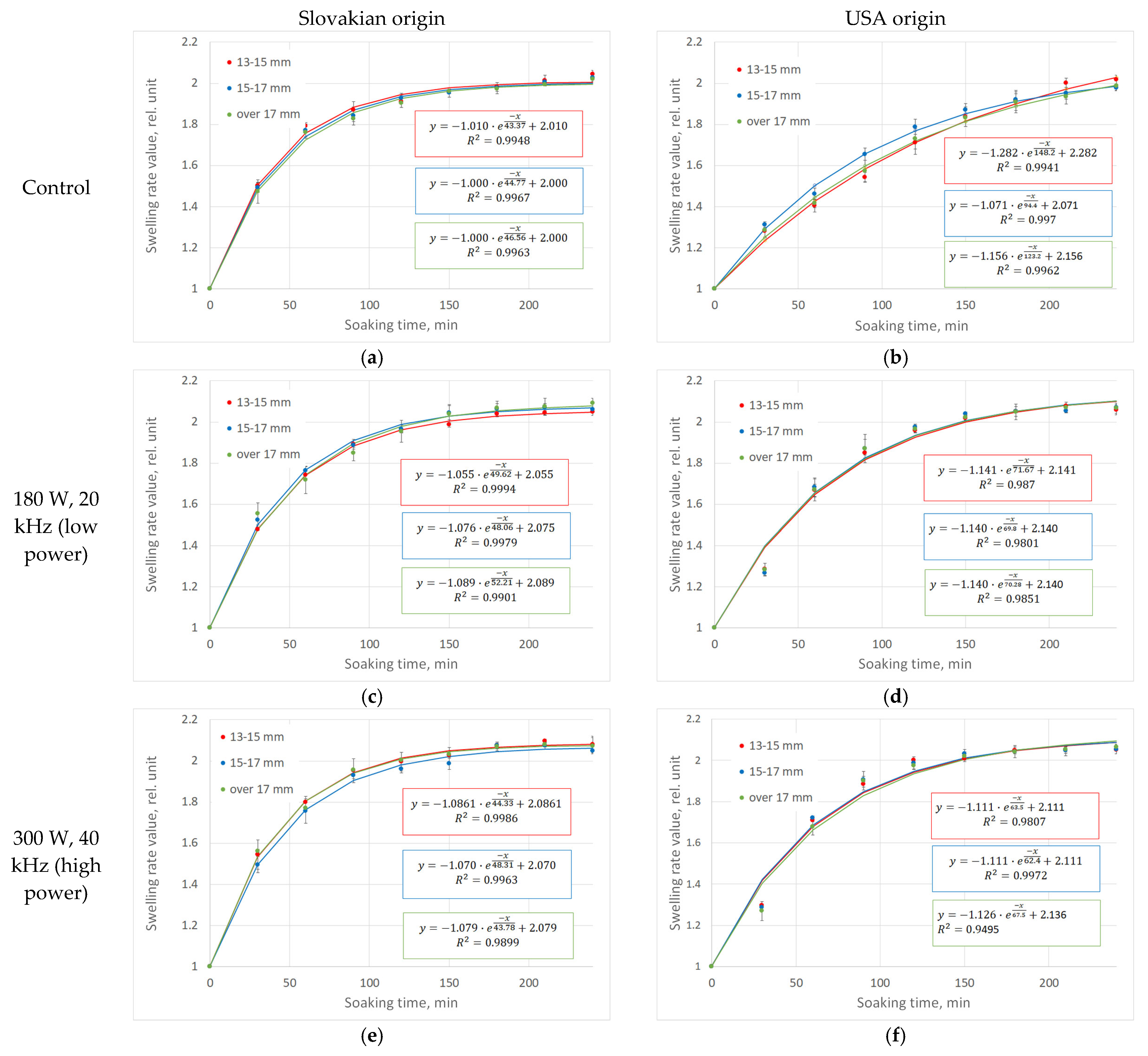
3.1. Analysis of the Soaking Process
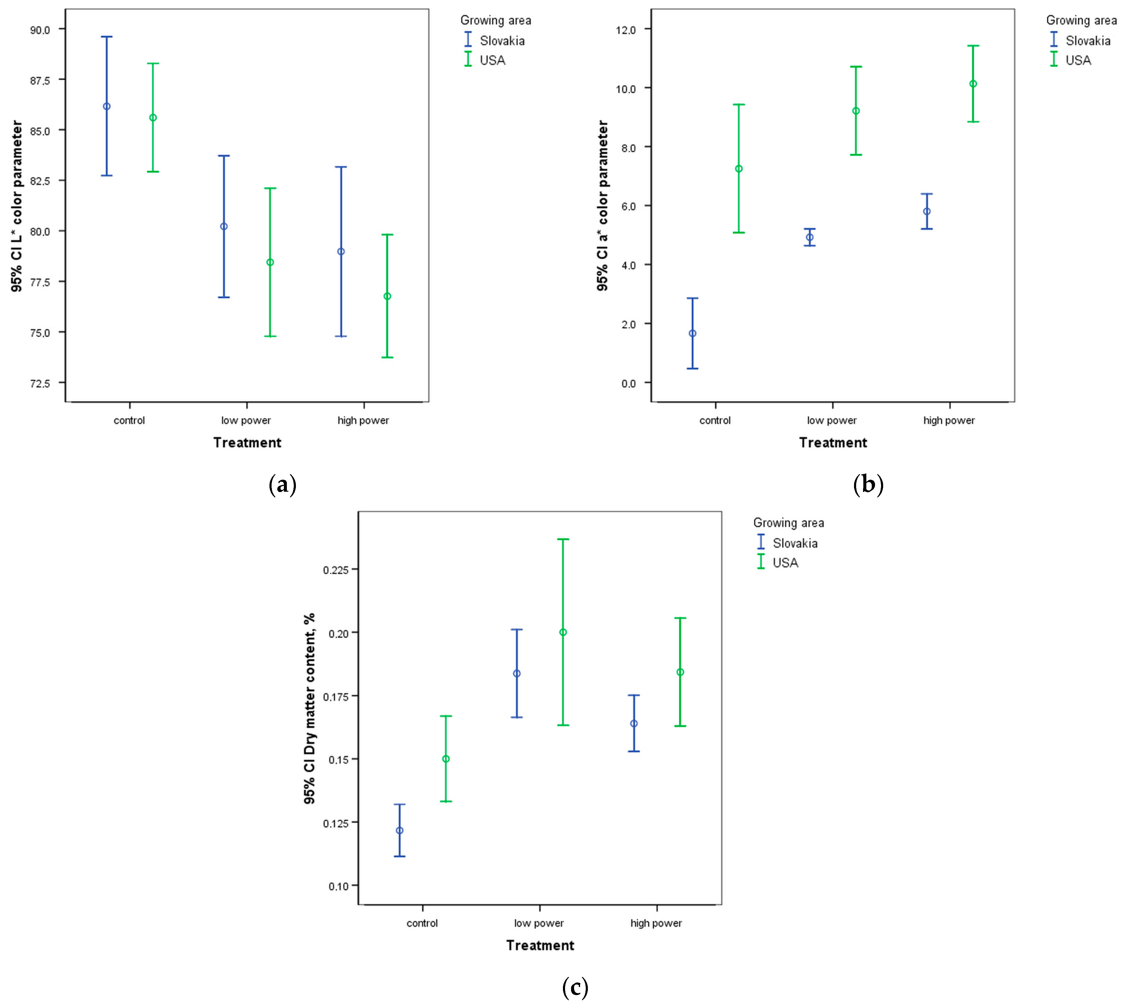
3.2. Analysis of the Effects of Treatment
3.3. Examining the Effect of Growing Area
3.4. Results of NIR Spectroscopic Measurement
3.4.1. Exploratory NIR Data Evaluation Based on PCA Results
3.4.2. Building Predictive Models Using PLSR and SVR
3.5. Testing the Effects of Treatments by Analyzing the Soaking Water
Color, Dry Matter, and Total Color Difference (ΔE*ab) Measurement of the Soaking Water
4. Discussion
5. Conclusions
Author Contributions
Funding
Institutional Review Board Statement
Informed Consent Statement
Data Availability Statement
Conflicts of Interest
References
- Deshpande, S.D.; Bal, S. Effect of Soaking Time and Temperature on Textural Properties of Soybean. J. Texture Stud. 2001, 32, 343–347. [Google Scholar] [CrossRef]
- Mecha, E.; Leitão, S.T.; Carbas, B.; Serra, A.T.; Moreira, P.M.; Veloso, M.M.; Gomes, R.; Figueira, M.E.; Brites, C.; Vaz Patto, M.C.; et al. Characterization of Soaking Process’ Impact in Common Beans Phenolic Composition: Contribute from the Unexplored Portuguese Germplasm. Foods 2019, 8, 296. [Google Scholar] [CrossRef] [PubMed]
- Fernandes, A.C.; Nishida, W.; Da Costa Proença, R.P. Influence of Soaking on the Nutritional Quality of Common Beans (Phaseolus vulgaris L.) Cooked with or without the Soaking Water: A Review. Int. J. Food Sci. Technol. 2010, 45, 2209–2218. [Google Scholar] [CrossRef]
- Ibarz, A.; Augusto, P.E.D. Describing the Food Sigmoidal Behavior During Hydration Based on a Second-Order Autocatalytic Kinetic. Dry. Technol. 2015, 33, 315–321. [Google Scholar] [CrossRef]
- Devkota, L.; He, L.; Bittencourt, C.; Midgley, J.; Haritos, V.S. Thermal and Pulsed Electric Field (PEF) Assisted Hydration of Common Beans. LWT 2022, 158, 113163. [Google Scholar] [CrossRef]
- Naviglio, D.; Formato, A.; Pucillo, G.P.; Gallo, M. A Cyclically Pressurised Soaking Process for the Hydration and Aromatisation of Cannellini Beans. J. Food Eng. 2013, 116, 765–774. [Google Scholar] [CrossRef]
- Ibarz, A.; González, C.; Barbosa-Cánovas, G.V. Kinetic Models for Water Adsorption and Cooking Time in Chickpea Soaked and Treated by High Pressure. J. Food Eng. 2004, 63, 467–472. [Google Scholar] [CrossRef]
- Ghafoor, M.; Misra, N.N.; Mahadevan, K.; Tiwari, B.K. Ultrasound Assisted Hydration of Navy Beans (Phaseolus vulgaris). Ultrason. Sonochem 2014, 21, 409–414. [Google Scholar] [CrossRef] [PubMed]
- Miano, A.C.; Sabadoti, V.D.; Augusto, P.E.D. Enhancing the Hydration Process of Common Beans by Ultrasound and High Temperatures: Impact on Cooking and Thermodynamic Properties. J. Food Eng. 2018, 225, 53–61. [Google Scholar] [CrossRef]
- Ulloa, J.A.; Enríquez López, K.V.; Contreras Morales, Y.B.; Rosas Ulloa, P.; Ramírez Ramírez, J.C.; Ulloa Rangel, B.E. Effect of Ultrasound Treatment on the Hydration Kinetics and Cooking Times of Dry Beans (Phaseolus vulgaris). CyTA-J. Food 2015, 13, 588–596. [Google Scholar] [CrossRef]
- Ojha, K.S.; Tiwari, B.K.; O’Donnell, C.P. Effect of Ultrasound Technology on Food and Nutritional Quality; Academic Press: Cambridge, MA, USA, 2018; pp. 207–240. [Google Scholar]
- Awad, T.S.; Moharram, H.A.; Shaltout, O.E.; Asker, D.; Youssef, M.M. Applications of Ultrasound in Analysis, Processing and Quality Control of Food: A Review. Food Res. Int. 2012, 48, 410–427. [Google Scholar] [CrossRef]
- Lepaus, B.M.; Valiati, B.S.; Machado, B.G.; Domingos, M.M.; Silva, M.N.; Faria-Silva, L.; Bernardes, P.C.; Oliveira, D.d.S.; de São José, J.F.B. Impact of Ultrasound Processing on the Nutritional Components of Fruit and Vegetable Juices. Trends Food Sci. Technol. 2023, 138, 752–765. [Google Scholar] [CrossRef]
- Janer, M.; Plantà, X.; Riera, D. Ultrasonic Moulding: Current State of the Technology. Ultrasonics 2020, 102, 106038. [Google Scholar] [CrossRef] [PubMed]
- Altaf, U.; Rouf, A.; Kanojia, V.; Ayaz, Q.; Zargar, I. Ultrasound Treatment: A Novel Processing Technique for Food Preservation. Pharma Innov. 2018, 7, 234–241. [Google Scholar]
- Gallo, M.; Ferrara, L.; Naviglio, D. Application of Ultrasound in Food Science and Technology: A Perspective. Foods 2018, 7, 164. [Google Scholar] [CrossRef] [PubMed]
- Alsobh, A.; Zin, M.M.; Marđokić, A.; Vatai, G.; Bánvölgyi, S. Heat, Ultrasound, and Microwave Assisted Extraction Methods for Recovering Bioactive Components from Hawthorn Fruit (Crataegus monogyna Jacq.). Prog. Agric. Eng. Sci. 2024, 20, 49–63. [Google Scholar] [CrossRef]
- Nagy, D.; Baranyai, L.; Nguyen, L.L.P.; Taczman Brückner, A.; Zsom, T.; Németh, C.; Felföldi, J.; Zsom-Muha, V. Combined Effect of Ultrasound and Low-Heat Treatments on E. Coli in Liquid Egg Products and Analysis of the Inducted Structural Alterations by NIR Spectroscopy. Sensors 2022, 22, 9941. [Google Scholar] [CrossRef]
- Bhargava, N.; Mor, R.S.; Kumar, K.; Sharanagat, V.S. Advances in Application of Ultrasound in Food Processing: A Review. Ultrason. Sonochem 2021, 70, 105293. [Google Scholar] [CrossRef] [PubMed]
- Chemat, F.; Zill-e-Huma; Khan, M.K. Applications of Ultrasound in Food Technology: Processing, Preservation and Extraction. Ultrason. Sonochem 2011, 18, 813–835. [Google Scholar] [CrossRef] [PubMed]
- Cortés, V.; Blasco, J.; Aleixos, N.; Cubero, S.; Talens, P. Monitoring Strategies for Quality Control of Agricultural Products Using Visible and Near-Infrared Spectroscopy: A Review. Trends Food Sci. Technol. 2019, 85, 138–148. [Google Scholar] [CrossRef]
- Beć, K.B.; Grabska, J.; Huck, C.W. Principles and Applications of Miniaturized Near—Infrared (NIR) Spectrometers. Chem. A Eur. J. 2021, 27, 1514–1532. [Google Scholar] [CrossRef] [PubMed]
- Porep, J.U.; Kammerer, D.R.; Carle, R. On-Line Application of near Infrared (NIR) Spectroscopy in Food Production. Trends Food Sci. Technol. 2015, 46, 211–230. [Google Scholar] [CrossRef]
- Boadu, V.G.; Teye, E.; Lamptey, F.P.; Amuah, C.L.Y.; Sam-Amoah, L.K. Novel Authentication of African Geographical Coffee Types (Bean, Roasted, Powdered) by Handheld NIR Spectroscopic Method. Heliyon 2024, 10, e35512. [Google Scholar] [CrossRef]
- Jiang, Q.; Bao, Y.; Ma, T.; Tsuchikawa, S.; Inagaki, T.; Wang, H.; Jiang, H. Intelligent Monitoring of Post-Processing Characteristics in 3D-Printed Food Products: A Focus on Fermentation Process of Starch-Gluten Mixture Using NIR and Multivariate Analysis. J. Food Eng. 2025, 388, 112357. [Google Scholar] [CrossRef]
- Qiu, L.; Zhang, M.; Mujumdar, A.S.; Chang, L. Convenient Use of Near-Infrared Spectroscopy to Indirectly Predict the Antioxidant Activitiy of Edible Rose (Rose chinensis Jacq “Crimsin Glory” H.T.) Petals during Infrared Drying. Food Chem. 2022, 369, 130951. [Google Scholar] [CrossRef] [PubMed]
- Czaja, T.P.; Engelsen, S.B. Why Nothing Beats NIRS Technology: The Green Analytical Choice for the Future Sustainable Food Production. Spectrochim. Acta A Mol Biomol. Spectrosc. 2025, 325, 125028. [Google Scholar] [CrossRef] [PubMed]
- Cozzolino, D. Advantages, Opportunities, and Challenges of Vibrational Spectroscopy as Tool to Monitor Sustainable Food Systems. Food Anal. Methods 2022, 15, 1390–1396. [Google Scholar] [CrossRef]
- Grassi, S.; Alamprese, C. Advances in NIR Spectroscopy Applied to Process Analytical Technology in Food Industries. Curr. Opin. Food Sci. 2018, 22, 17–21. [Google Scholar] [CrossRef]
- Ramo, L.B.; Nobrega, R.O.; Fernandes, D.D.S.; Lyra, W.S.; Diniz, P.H.G.D.; Araujo, M.C.U. Determination of Moisture and Total Protein and Phosphorus Contents in Powdered Chicken Egg Samples Using Digital Images, NIR Spectra, Data Fusion, and Multivariate Calibration. J. Food Compos. Anal. 2024, 127, 105940. [Google Scholar] [CrossRef]
- Zareef, M.; Chen, Q.; Hassan, M.M.; Arslan, M.; Hashim, M.M.; Ahmad, W.; Kutsanedzie, F.Y.H.; Agyekum, A.A. An Overview on the Applications of Typical Non-Linear Algorithms Coupled with NIR Spectroscopy in Food Analysis. Food Eng. Rev. 2020, 12, 173–190. [Google Scholar] [CrossRef]
- Manley, M. Near-Infrared Spectroscopy and Hyperspectral Imaging: Non-Destructive Analysis of Biological Materials. Chem. Soc. Rev. 2014, 43, 8200–8214. [Google Scholar] [CrossRef] [PubMed]
- Nicolaï, B.M.; Beullens, K.; Bobelyn, E.; Peirs, A.; Saeys, W.; Theron, K.I.; Lammertyn, J. Nondestructive Measurement of Fruit and Vegetable Quality by Means of NIR Spectroscopy: A Review. Postharvest. Biol. Technol. 2007, 46, 99–118. [Google Scholar] [CrossRef]
- Kapoor, R.; Malvandi, A.; Feng, H.; Kamruzzaman, M. Real-Time Moisture Monitoring of Edible Coated Apple Chips During Hot Air Drying Using Miniature NIR Spectroscopy and Chemometrics. LWT 2022, 154, 112602. [Google Scholar] [CrossRef]
- Wafula, E.N.; Wainaina, I.N.; Buvé, C.; Kinyanjui, P.K.; Saeys, W.; Sila, D.N.; Hendrickx, M.E.G. Prediction of Cooking Times of Freshly Harvested Common Beans and Their Susceptibility to Develop the Hard-to-Cook Defect Using near Infrared Spectroscopy. J. Food Eng. 2021, 298, 110495. [Google Scholar] [CrossRef]
- Wafula, E.N.; Wainaina, I.N.; Buvé, C.; Nguyen, N.-D.-T.; Kinyanjui, P.K.; Saeys, W.; Sila, D.N.; Hendrickx, M. Application of Near-Infrared Spectroscopy to Predict the Cooking Times of Aged Common Beans (Phaseolus vulgaris L.). J. Food Eng. 2020, 284, 110056. [Google Scholar] [CrossRef]
- Wafula, E.N.; Onduso, M.; Wainaina, I.N.; Buvé, C.; Kinyanjui, P.K.; Githiri, S.M.; Saeys, W.; Sila, D.N.; Hendrickx, M. Antinutrient to Mineral Molar Ratios of Raw Common Beans and Their Rapid Prediction Using Near-Infrared Spectroscopy. Food Chem. 2022, 368, 130773. [Google Scholar] [CrossRef]
- Johnson, N.A.N.; Adade, S.Y.-S.S.; Haruna, S.A.; Ekumah, J.-N.; Ma, Y. Quantitative Assessment of Phytochemicals in Chickpea Beverages Using NIR Spectroscopy. Spectrochim Acta A Mol. Biomol. Spectrosc. 2024, 307, 123623. [Google Scholar] [CrossRef]
- Zheng, R.; Jia, Y.; Ullagaddi, C.; Allen, C.; Rausch, K.; Singh, V.; Schnable, J.C.; Kamruzzaman, M. Optimizing Feature Selection with Gradient Boosting Machines in PLS Regression for Predicting Moisture and Protein in Multi-Country Corn Kernels via NIR Spectroscopy. Food Chem. 2024, 456, 140062. [Google Scholar] [CrossRef] [PubMed]
- Mokrzycki, W.S.; Tatol, M. Color Difference Delta E—A Survey. Mach. Graph. Vis. Int. J. 2011, 20, 383–411. [Google Scholar]
- Horwitz, W.; Latimer, G.W. Official Methods of Analysis of AOAC International, 18th ed.; AOAC International: Gaithersburg, MD, USA, 2006; ISBN 0935584773, 9780935584776. [Google Scholar]
- Kovacs, Z.; Pollner, B. R-Package Aquap2—Multivariate Data Analysis Tools for R Including Aquaphotomics Methods. 2016. Available online: https://www.aquaphotomics.com/aquap2/ (accessed on 8 November 2024).
- Næs, T.; Isaksson, T.; Fearn, T.; Davies, T. A User-Friendly Guide to Multivariate Calibration and Classification; IM Publications Open: Chichester, UK, 2017; ISBN 9781906715250. [Google Scholar]
- Zinia Zaukuu, J.-L.; Aouadi, B.; Lukács, M.; Bodor, Z.; Vitális, F.; Gillay, B.; Gillay, Z.; Friedrich, L.; Kovacs, Z. Detecting Low Concentrations of Nitrogen-Based Adulterants in Whey Protein Powder Using Benchtop and Handheld NIR Spectrometers and the Feasibility of Scanning through Plastic Bag. Molecules 2020, 25, 2522. [Google Scholar] [CrossRef] [PubMed]
- Sun, J. Statistical Analysis of NIR Data: Data Pretreatment. J. Chemom. 1997, 11, 525–532. [Google Scholar] [CrossRef]
- Fernández-Cabanás, V.M.; Garrido-Varo, A.; Pérez-Marín, D.; Dardenne, P. Evaluation of Pretreatment Strategies for Near-Infrared Spectroscopy Calibration Development of Unground and Ground Compound Feedingstuffs. Appl. Spectrosc. 2006, 60, 17–23. [Google Scholar] [CrossRef]
- Delwiche, S.R.; Reeves, J.B. The Effect of Spectral Pre-Treatments on the Partial Least Squares Modelling of Agricultural Products. J. Near Infrared. Spectrosc. 2004, 12, 177–182. [Google Scholar] [CrossRef]
- Cowe, I.A.; McNicol, J.W. The Use of Principal Components in the Analysis of Near-Infrared Spectra. Appl. Spectrosc. 1985, 39, 257–266. [Google Scholar] [CrossRef]
- Balabin, R.M.; Lomakina, E.I. Support Vector Machine Regression (SVR/LS-SVM)—An Alternative to Neural Networks (ANN) for Analytical Chemistry? Comparison of Nonlinear Methods on near Infrared (NIR) Spectroscopy Data. Analyst 2011, 136, 1703. [Google Scholar] [CrossRef] [PubMed]
- Abdi, H. Partial Least Squares Regression and Projection on Latent Structure Regression (PLS Regression). WIREs Comput. Stat. 2010, 2, 97–106. [Google Scholar] [CrossRef]
- Balabin, R.M.; Smirnov, S.V. Melamine Detection by Mid- and near-Infrared (MIR/NIR) Spectroscopy: A Quick and Sensitive Method for Dairy Products Analysis Including Liquid Milk, Infant Formula, and Milk Powder. Talanta 2011, 85, 562–568. [Google Scholar] [CrossRef]
- Thissen, U.; Pepers, M.; Üstün, B.; Melssen, W.J.; Buydens, L.M.C. Comparing Support Vector Machines to PLS for Spectral Regression Applications. Chemom. Intell. Lab. Syst. 2004, 73, 169–179. [Google Scholar] [CrossRef]
- Ye, S.; Weng, H.; Xiang, L.; Jia, L.; Xu, J. Synchronously Predicting Tea Polyphenol and Epigallocatechin Gallate in Tea Leaves Using Fourier Transform–Near-Infrared Spectroscopy and Machine Learning. Molecules 2023, 28, 5379. [Google Scholar] [CrossRef]
- Huang, Y.; Du, G.; Ma, Y.; Zhou, J. Near-Infrared Determination of Polyphenols Using Linear and Nonlinear Regression Algorithms. Opt. Int. J. Light Electron Opt. 2015, 126, 2030–2034. [Google Scholar] [CrossRef]
- Bazar, G.; Eles, V.; Kovacs, Z.; Romvari, R.; Szabo, A. Multicomponent Blood Lipid Analysis by Means of near Infrared Spectroscopy, in Geese. Talanta 2016, 155, 202–211. [Google Scholar] [CrossRef] [PubMed]
- Gowen, A.A.; Downey, G.; Esquerre, C.; O’Donnell, C.P. Preventing Over—Fitting in PLS Calibration Models of Near—Infrared (NIR) Spectroscopy Data Using Regression Coefficients. J. Chemom. 2011, 25, 375–381. [Google Scholar] [CrossRef]
- López, L.R.L.; Ulloa, P.R.; Ramírez, J.C.R.; Carrillo, Y.S. Modelling of hydration of bean (Phaseolus vulgaris L.): Effect of the low-frequency ultrasound. Ital. J. Food Sci. 2017, 29, 288–301. [Google Scholar]
- Workman, J., Jr.; Weyer, L. Practical Guide and Spectral Atlas for Interpretive Near-Infrared Spectroscopy, 2nd ed.; CRC Press: Boca Raton, FL, USA, 2012. [Google Scholar]
- Majadi, M.; Barkó, A.; Varga-Tóth, A.; Maukenovna, Z.S.; Batirkhanovna, D.Z.; Dilora, S.; Lukacs, M.; Kaszab, T.; Mednyánszky, Z.; Kovacs, Z. Quality Assessment of Reconstructed Cow, Camel and Mare Milk Powders by Near-Infrared Spectroscopy and Chemometrics. Molecules 2024, 29, 3989. [Google Scholar] [CrossRef] [PubMed]
- Miano, A.C.; Ibarz, A.; Augusto, P.E.D. Mechanisms for Improving Mass Transfer in Food with Ultrasound Technology: Describing the Phenomena in Two Model Cases. Ultrason. Sonochem. 2016, 29, 413–419. [Google Scholar] [CrossRef] [PubMed]
- Li, S.; Luo, Z.; Guan, X.; Huang, K.; Li, Q.; Zhu, F.; Liu, J. Effect of Ultrasonic Treatment on the Hydration and Physicochemical Properties of Brewing Rice. J. Cereal. Sci. 2019, 87, 78–84. [Google Scholar] [CrossRef]
- Yıldırım, A.; Öner, M.D. Electrical Conductivity, Water Absorption, Leaching, and Color Change of Chickpea (Cicer arietinum L.) During Soaking with Ultrasound Treatment. Int. J. Food Prop. 2015, 18, 1359–1372. [Google Scholar] [CrossRef]
- Font, R.; del Río-Celestino, M.; de Haro-Bailón, A. The Use of Near-Infrared Spectroscopy (NIRS) in the Study of Seed Quality Components in Plant Breeding Programs. Ind. Crops Prod. 2006, 24, 307–313. [Google Scholar] [CrossRef]
- Corzo—Martínez, M.; Villamiel, M.; Moreno, F.J. Impact of High—Intensity Ultrasound on Protein Structure and Functionality During Food Processing. In Ultrasound in Food Processing; Wiley: Chichester, UK, 2017; pp. 417–436. [Google Scholar]
- Soria, A.C.; Villamiel, M.; Montilla, A. Ultrasound Effects on Processes and Reactions Involving Carbohydrates. In Ultrasound in Food Processing; Wiley: Chichester, UK, 2017; pp. 437–463. [Google Scholar]
- Estivi, L.; Brandolini, A.; Condezo-Hoyos, L.; Hidalgo, A. Impact of Low-Frequency Ultrasound Technology on Physical, Chemical and Technological Properties of Cereals and Pseudocereals. Ultrason. Sonochem. 2022, 86, 106044. [Google Scholar] [CrossRef] [PubMed]
- Carbas, B.; Machado, N.; Oppolzer, D.; Ferreira, L.; Brites, C.; Rosa, E.A.S.; Barros, A.I.R.N.A. Comparison of Near-Infrared (NIR) and Mid-Infrared (MIR) Spectroscopy for the Determination of Nutritional and Antinutritional Parameters in Common Beans. Food Chem. 2020, 306, 125509. [Google Scholar] [CrossRef]








| Time in min to Reach SRV2 | |||
|---|---|---|---|
| Treatment | 13–15 mm | 15–17 mm | >17 mm |
| USA Origin | |||
| Control | 223.82 ± 14.33 | 257.69 ± 20.31 | 245.77 ± 18.79 |
| Low power | 149.96 ± 4.01 | 146.44 ± 10.43 | 148.47 ± 13.27 |
| High Power | 146.54 ± 5.79 | 145.15 ± 11.11 | 147.76 ± 4.06 |
| Slovakian Origin | |||
| Control | 193.01 ± 62.97 | 204.37 ± 49.90 | 250.86 ± 31.97 |
| Low power | 147.08 ± 3.267 | 127.99 ± 3.267 | 132.45 ± 24.74 |
| High Power | 113.26 ± 18.77 | 131.59 ± 15.32 | 114.77 ± 4.32 |
| Dry Matter Content | L* | a* | b* | |||||
|---|---|---|---|---|---|---|---|---|
| Method | PLSR | SVR | PLSR | SVR | PLSR | SVR | PLSR | SVR |
| Obs. train | 293 ± 0 | 293 ± 0 | 293 ± 0 | 293 ± 0 | 293 ± 0 | 293 ± 0 | 293 ± 0 | 293 ± 0 |
| Obs. pred. | 73 ± 0 | 73 ± 0 | 73 ± 0 | 73 ± 0 | 73 ± 0 | 73 ± 0 | 73 ± 0 | 73 ± 0 |
| Comp. | 5.333 ± 0.471 | 12.667 ± 0.471 | 5.333 ± 0.471 | 12.667 ± 0.471 | 5 ± 0 | 3.667 ± 0.471 | 5 ± 0 | 18.333 ± 3.771 |
| RMSEC | 0.01 ± 0.001 | 0.01 ± 0 | 2.605 ± 0.083 | 2.53 ± 0.024 | 2.289 ± 0.037 | 2.117 ± 0.338 | 4.473 ± 0.034 | 4.486 ± 0.044 |
| R2C | 0.947 ± 0.012 | 0.95 ± 0.003 | 0.866 ± 0.009 | 0.873 ± 0.002 | 0.58 ± 0.015 | 0.629 ± 0.122 | 0.588 ± 0.007 | 0.585 ± 0.008 |
| RMSECV | 0.011 ± 0.001 | 0.011 ± 0 | 2.89 ± 0.061 | 2.798 ± 0.013 | 2.474 ± 0.047 | 2.544 ± 0.185 | 4.926 ± 0.037 | 5.027 ± 0.047 |
| R2CV | 0.934 ± 0.013 | 0.935 ± 0.004 | 0.835 ± 0.007 | 0.845 ± 0.001 | 0.506 ± 0.018 | 0.475 ± 0.077 | 0.5 ± 0.008 | 0.479 ± 0.01 |
| RMSEP | 0.011 ± 0.001 | 0.01 ± 0 | 2.559 ± 0.136 | 2.546 ± 0.122 | 2.395 ± 0.134 | 2.221 ± 0.349 | 4.507 ± 0.071 | 4.546 ± 0.167 |
| R2P | 0.933 ± 0.012 | 0.951 ± 0.008 | 0.869 ± 0.013 | 0.87 ± 0.012 | 0.532 ± 0.049 | 0.588 ± 0.134 | 0.573 ± 0.015 | 0.564 ± 0.032 |
| Treatment | Growing Area | ΔE*ab Compared to the Control (mean ± SD) |
| Low power | Slovakian | 7.18 ± 1.54 |
| USA | 8.79 ± 3.46 | |
| High power | Slovakian | 7.41 ± 0.74 |
| USA | 11.85 ± 3.85 | |
| Growing Area | ΔE*ab Compared to the Low Power (LP) Value (mean ± SD) | |
| Slovakian | 2.27 ± 1.86 | |
| USA | 5.22 ± 3.01 |
Disclaimer/Publisher’s Note: The statements, opinions and data contained in all publications are solely those of the individual author(s) and contributor(s) and not of MDPI and/or the editor(s). MDPI and/or the editor(s) disclaim responsibility for any injury to people or property resulting from any ideas, methods, instructions or products referred to in the content. |
© 2025 by the authors. Licensee MDPI, Basel, Switzerland. This article is an open access article distributed under the terms and conditions of the Creative Commons Attribution (CC BY) license (https://creativecommons.org/licenses/by/4.0/).
Share and Cite
Lukacs, M.; Somogyi, T.; Mukite, B.M.; Vitális, F.; Kovacs, Z.; Rédey, Á.; Stefaniga, T.; Zsom, T.; Kiskó, G.; Zsom-Muha, V. Investigation of the Ultrasonic Treatment-Assisted Soaking Process of Different Red Kidney Beans and Compositional Analysis of the Soaking Water by NIR Spectroscopy. Sensors 2025, 25, 313. https://doi.org/10.3390/s25020313
Lukacs M, Somogyi T, Mukite BM, Vitális F, Kovacs Z, Rédey Á, Stefaniga T, Zsom T, Kiskó G, Zsom-Muha V. Investigation of the Ultrasonic Treatment-Assisted Soaking Process of Different Red Kidney Beans and Compositional Analysis of the Soaking Water by NIR Spectroscopy. Sensors. 2025; 25(2):313. https://doi.org/10.3390/s25020313
Chicago/Turabian StyleLukacs, Matyas, Tamás Somogyi, Barasa Mercy Mukite, Flóra Vitális, Zoltan Kovacs, Ágnes Rédey, Tamás Stefaniga, Tamás Zsom, Gabriella Kiskó, and Viktória Zsom-Muha. 2025. "Investigation of the Ultrasonic Treatment-Assisted Soaking Process of Different Red Kidney Beans and Compositional Analysis of the Soaking Water by NIR Spectroscopy" Sensors 25, no. 2: 313. https://doi.org/10.3390/s25020313
APA StyleLukacs, M., Somogyi, T., Mukite, B. M., Vitális, F., Kovacs, Z., Rédey, Á., Stefaniga, T., Zsom, T., Kiskó, G., & Zsom-Muha, V. (2025). Investigation of the Ultrasonic Treatment-Assisted Soaking Process of Different Red Kidney Beans and Compositional Analysis of the Soaking Water by NIR Spectroscopy. Sensors, 25(2), 313. https://doi.org/10.3390/s25020313

