Three New Sesquiterpenoids from the Algal-Derived Fungus Penicillium chermesinum EN-480
Abstract
1. Introduction
2. Results and Discussion
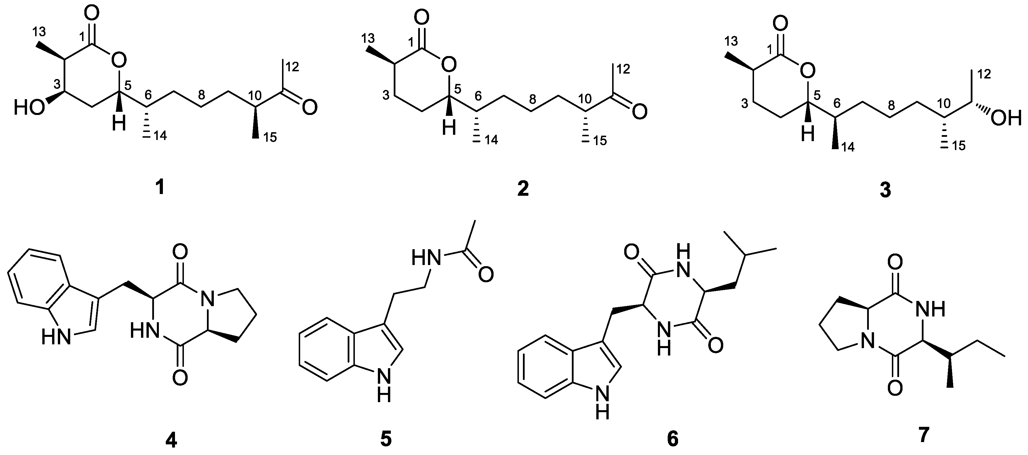
2.1. Structure Elucidation of the New Compounds
2.2. Biological Activities of the Isolated Compounds
3. Materials and Methods
3.1. General
3.2. Fungal Material
3.3. Fermentation
3.4. Extraction and Isolation
3.5. Computational NMR Chemical Shift Calculation and DP4+ Analyses
3.6. ECD Calculation
3.7. Modified Mosher‘s Method
3.8. Antimicrobial Assay
4. Conclusions
Supplementary Materials
Author Contributions
Funding
Acknowledgments
Conflicts of Interest
References
- Blunt, J.W.; Copp, B.R.; Keyzers, R.A.; Munro, M.H.G.; Prinsep, M.R. Marine natural products. Nat. Prod. Rep. 2015, 32, 116–211. [Google Scholar] [CrossRef] [PubMed]
- Barzkar, N.; Tamadoni, J.S.; Poorsaheli, H.B.; Vianello, F. Metabolites from marine microorganisms, micro, and macroalgae: Immense scope for pharmacology. Mar. Drugs 2019, 17, 464. [Google Scholar] [CrossRef] [PubMed]
- Carroll, A.R.; Copp, B.R.; Davis, R.A.; Keyzers, R.A.; Prinsep, M.R. Marine natural products. Nat. Prod. Rep. 2019, 36, 122–173. [Google Scholar] [CrossRef] [PubMed]
- Liu, H.; Li, X.M.; Liu, Y.; Zhang, P.; Wang, J.N.; Wang, B.G. Chermesins A–D: Meroterpenoids with a drimane-type spirosesquiterpene skeleton from the marine algal-derived endophytic fungus Penicillium chermesinum EN-480. J. Nat. Prod. 2016, 79, 806–811. [Google Scholar] [CrossRef] [PubMed]
- Darsih, C.; Prachyawarakorn, V.; Wiyakrutta, S.; Mahidol, C.; Ruchirawat, S.; Kittakoop, P. Cytotoxic metabolites from the endophytic fungus Penicillium chermesinum: Discovery of a cysteine-targeted Michael acceptor as a pharmacophore for fragment-based drug discovery, bioconjugation and click reactions. RSC Adv. 2015, 5, 70595–70603. [Google Scholar] [CrossRef]
- Huang, H.B.; Feng, X.J.; Xiao, Z.E.; Liu, L.; Li, H.X.; Ma, L.; Lu, Y.J.; Ju, J.H.; She, Z.G.; Lin, Y. Azaphilones and p-terphenyls from the mangrove endophytic fungus Penicillium chermesinum (ZH4-E2) isolated from the South China Sea. J. Nat. Prod. 2011, 74, 997–1002. [Google Scholar] [CrossRef]
- Singh, P.D.; Johnson, J.H.; Aklonis, C.A.; Bush, K.; Fisher, S.M.; O’Sullivan, J. Two new inhibitors of phospholipase A2 produced by Penicillium chermesinum. J. Antibiot. 1985, 38, 706–712. [Google Scholar] [CrossRef]
- Wang, B.; Park, E.M.; King, J.B.; Mattes, A.O.; Cichewicz, R.H. Transferring fungi to a deuterium-enriched medium results in assorted, conditional changes in secondary metabolite production. J. Nat. Prod. 2015, 78, 1415–1421. [Google Scholar] [CrossRef]
- Pedras, M.S.C.; Taylor, J.L. Metabolism of the phytoalexin brassinin by the “blackleg” fungus. J. Nat. Prod. 1993, 56, 731–738. [Google Scholar]
- Fukuhara, K.I.; Murao, S.; Nozawa, T.; Hatano, M. Structural elucidation of talopeptin (MK-I), a novel metallo proteinase inhibitor produced by Streptomyces mozunensis MK-23. Tetrahedron Lett. 1982, 23, 2319–2322. [Google Scholar] [CrossRef]
- Guo, Z.K.; Wang, R.; Chen, F.X.; Liu, T.M.; Yang, M.Q. Bioactive aromatic metabolites from the sea urchin-derived actinomycete, streptomyces spectabilis, strain HDa1. Phytochem. Lett. 2018, 25, 132–135. [Google Scholar] [CrossRef]
- Fan, T.T.; Zhang, H.H.; Tang, Y.H.; Zhang, F.Z.; Han, B.N. Two new neo-debromoaplysiatoxins—A pair of stereoisomers exhibiting potent kv1.5 ion channel inhibition activities. Mar. Drugs 2019, 17, 652. [Google Scholar] [CrossRef] [PubMed]
- Liu, Z.; Fan, Z.; Sun, Z.; Liu, H.; Zhang, W. Dechdigliotoxins A–C, three novel disulfide-bridged gliotoxin dimers from deep-sea sediment derived fungus Dichotomomyces cejpii. Mar. Drugs 2019, 17, 596. [Google Scholar] [CrossRef] [PubMed]
- Lee, S.R.; Lee, D.; Eom, H.J.; Rischer, M.; Ko, Y.J.; Kang, K.S.; Kim, C.S.; Beemelmanns, C.; Kim, K.H. Hybrid polyketides from a hydractinia-associated Cladosporium sphaerospermum SW67 and their putative biosynthetic origin. Mar. Drugs 2019, 17, 606. [Google Scholar] [CrossRef]
- Guilet, D.; Guntern, A.; Ioset, J.R.; Queiroz, E.F.; Ndjoko, K.; Foggin, C.M.; Hostettmann, K. Absolute configuration of a tetrahydrophenanthrene from Heliotropium ovalifolium by LC-NMR of its Mosher esters. J. Nat. Prod. 2003, 66, 17–20. [Google Scholar] [CrossRef]
- Pellegrin, V. Molecular formulas of organic compounds: The nitrogen rule and degree of unsaturation. J. Chem. Educ. 1983, 60, 626–633. [Google Scholar] [CrossRef]
- Park, K.J.; Kim, C.S.; Khan, Z.; Oh, J.; Kim, S.Y.; Choi, S.U.; Lee, K.R. Securinega alkaloids from the twigs of Securinega suffruticosa and their biological activities. J. Nat. Prod. 2019, 82, 1345–1353. [Google Scholar] [CrossRef]
- Kim, C.S.; Oh, J.; Subedi, L.; Kim, S.Y.; Choi, S.U.; Lee, K.R. Structural characterization of terpenoids from Abies holophylla using computational and statistical methods and their biological activities. J. Nat. Prod. 2018, 81, 1795–1802. [Google Scholar] [CrossRef]
- Grimblat, N.; Zanardi, M.M.; Sarotti, A.M. Beyond DP4: An improved probability for the stereochemical assignment of isomeric compounds using quantum chemical calculations of NMR shifts. J. Org. Chem. 2015, 80, 12526–12534. [Google Scholar] [CrossRef]
- Wang, S.; Li, X.M.; Teuscher, F.; Li, D.L.; Diesel, A.; Ebel, R.; Proksch, P.; Wang, B.G. Chaetopyranin, a benzaldehyde derivative, and other related metabolites from Chaetomium globosum, an endophytic fungus derived from the marine red alga Polysiphonia urceolata. J. Nat. Prod. 2006, 69, 1622–1625. [Google Scholar] [CrossRef]
- Lee, S.R.; Lee, D.; Park, M.; Lee, J.C.; Park, H.; Kang, K.S.; Kim, C.; Beemelmanns, C.; Kim, K.H. Absolute configuration and corrected NMR assignment of 17-hydroxycyclooctatin, a fused 5-8-5 tricyclic diterpene. J. Nat. Prod. 2020, 83, 354–361. [Google Scholar] [CrossRef] [PubMed]
- Frisch, M.J.; Trucks, G.W.; Schlegel, H.B.; Scuseria, G.E.; Robb, M.A.; Cheeseman, J.R.; Scalmani, G.; Barone, V.; Mennucci, B.; Petersson, G.A.; et al. Gaussian 09, Revision D.01; Gaussian, Inc.: Wallingford, UK, 2013. [Google Scholar]
- Ohtani, I.; Kusumi, T.; Kashman, Y.; Kakisawa, H. High-field FT NMR application of Mosher’s method. The absolute configurations of marine terpenoids. J. Am. Chem. Soc. 1991, 113, 4092–4096. [Google Scholar] [CrossRef]
- Al-Burtamani, S.K.S.; Fatope, M.O.; Marwah, R.G.; Onifade, A.K.; Al-Saidi, S.H. Chemical composition, antibacterial and antifungal activities of the essential oil of Haplophyllum tuberculatum from Oman. J. Ethnopharmacol. 2005, 96, 107–112. [Google Scholar] [CrossRef] [PubMed]








| Pos. | 1 | 2 | 3 | |||
|---|---|---|---|---|---|---|
| 1H (J in Hz) | 13C | 1H (J in Hz) | 13C | 1H (J in Hz) | 13C | |
| 1 | 173.5, C | 173.6, C | 173.6, C | |||
| 2 | 2.52, overlap | 41.0, CH | 2.40, dt (13.2, 6.7) | 35.5, CH | 2.40, m | 35.5, CH |
| 3 | 3.95, m | 65.8, CH | α 1.90, m, β 1.56, overlap | 27.9, CH2 | α 1.90, ddd (8.5, 6.2, 2.9) β 1.53, m | 27.7, CH2 |
| 4 | α 1.73, m, β 1.82, m | 23.9, CH2 | α 1.78, d (10.7) β 1.57, overlap | 27.6, CH2 | α 1.78, m β 1.51, m | 24.5, CH2 |
| 5 | 4.44, m | 79.2, CH | 4.16, m | 84.4, CH | 4.17, m | 84.5, CH |
| 6 | 1.68, m, | 36.7, CH | 1.64, m | 37.0, CH | 1.64, m | 37.2, CH |
| 7 | 1.14, m | 31.3, CH2 | 1.08, m | 31.3, CH2 | 1.05, m | 31.8, CH2 |
| 8 | 1.26, m | 32.0, CH2 | 1.27, m | 24.6, CH2 | 1.40, m | 24.3, CH2 |
| 9 | α 1.14, m, β 1.55, m | 32.4, CH2 | α 1.23, m, β 1.55, overlap | 32.4, CH2 | α 1.03, m β 0.96, m | 32.4, CH2 |
| 10 | 2.52, overlap | 46.0, CH | 2.50, overlap | 46.0, CH | 1.31, m | 40.0, CH |
| 11 | 211.8, C | 211.8, C | 3.48, dt (10.7, 5.4) | 68.8, CH | ||
| 12 | 2.09, s | 27.9, CH3 | 2.09, s | 23.9, CH3 | 0.97, d (6.3) | 20.3, CH3 |
| 13 | 1.10, d (7.1) | 12.8, CH3 | 1.14, d (7.0) | 17.0, CH3 | 1.13, d (7.0) | 17.1, CH3 |
| 14 | 0.84, d (6.9) | 14.4, CH3 | 0.84, d (6.8) | 14.4, CH3 | 0.85, d (6.8) | 14.5, CH3 |
| 15 | 0.98, d (6.8) | 15.9, CH3 | 0.99, d (6.9) | 15.9, CH3 | 0.79, d (6.7) | 14.5, CH3 |
| 3-OH | 5.20, br s | |||||
| 11-OH | 4.21, d (4.7) | |||||
© 2020 by the authors. Licensee MDPI, Basel, Switzerland. This article is an open access article distributed under the terms and conditions of the Creative Commons Attribution (CC BY) license (http://creativecommons.org/licenses/by/4.0/).
Share and Cite
Hu, X.-Y.; Li, X.-M.; Yang, S.-Q.; Liu, H.; Meng, L.-H.; Wang, B.-G. Three New Sesquiterpenoids from the Algal-Derived Fungus Penicillium chermesinum EN-480. Mar. Drugs 2020, 18, 194. https://doi.org/10.3390/md18040194
Hu X-Y, Li X-M, Yang S-Q, Liu H, Meng L-H, Wang B-G. Three New Sesquiterpenoids from the Algal-Derived Fungus Penicillium chermesinum EN-480. Marine Drugs. 2020; 18(4):194. https://doi.org/10.3390/md18040194
Chicago/Turabian StyleHu, Xue-Yi, Xiao-Ming Li, Sui-Qun Yang, Hui Liu, Ling-Hong Meng, and Bin-Gui Wang. 2020. "Three New Sesquiterpenoids from the Algal-Derived Fungus Penicillium chermesinum EN-480" Marine Drugs 18, no. 4: 194. https://doi.org/10.3390/md18040194
APA StyleHu, X.-Y., Li, X.-M., Yang, S.-Q., Liu, H., Meng, L.-H., & Wang, B.-G. (2020). Three New Sesquiterpenoids from the Algal-Derived Fungus Penicillium chermesinum EN-480. Marine Drugs, 18(4), 194. https://doi.org/10.3390/md18040194

