Isolation and Characterization of a Novel Cold-Active, Halotolerant Endoxylanase from Echinicola rosea Sp. Nov. JL3085T
Abstract
1. Introduction
2. Results and Discussion
2.1. Production and Purification of Recombinant XynT
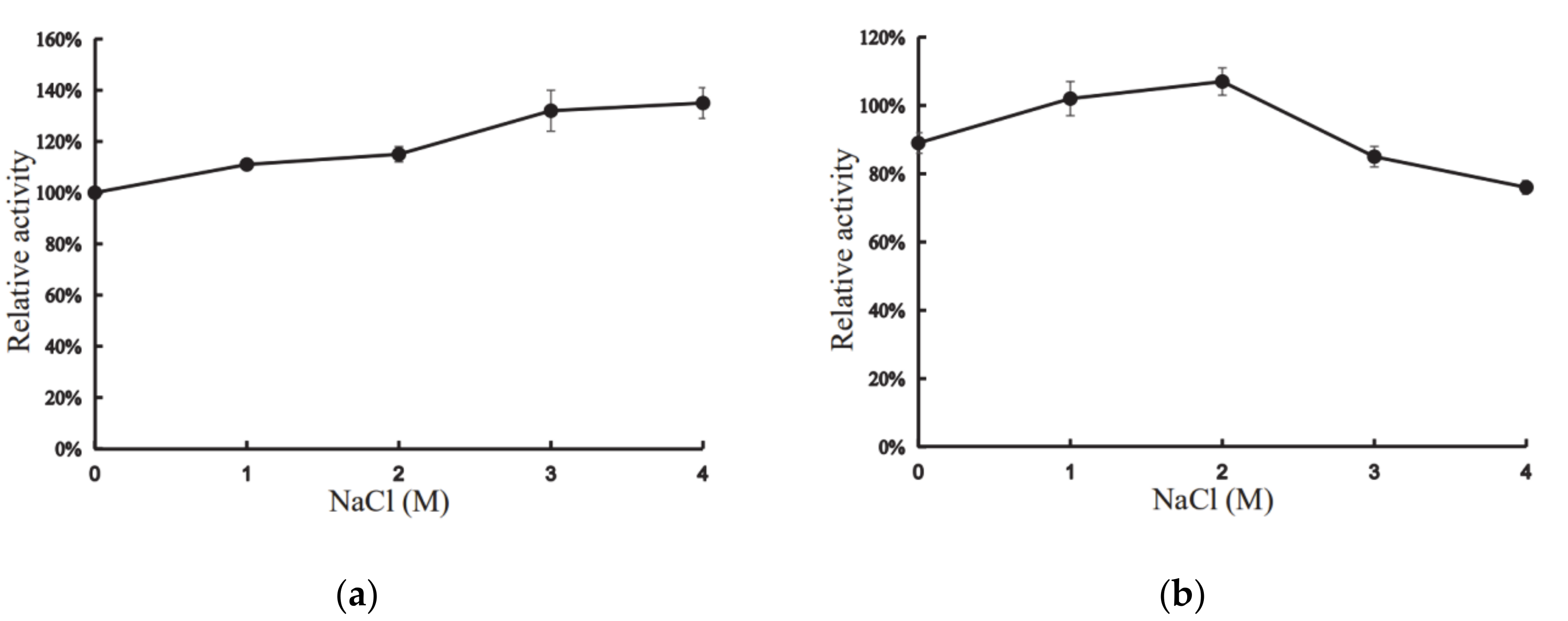
2.2. Biochemical Characterization of the Recombinant XynT
2.3. Kinetic Study of XynT
2.4. Sequence Analysis and Structural Modeling of XynT
3. Materials and Methods
3.1. Materials
3.2. Growth Conditions, Enzymatic Assay, and Determination of Kinetic Parameters
3.3. Cloning, Expression and Purification of E. roseaxynt in E. coli
3.4. Effect of pH on the Stability of Recombinant XynT
3.5. Effect of Temperature on the Stability of Recombinant XynT
3.6. Effect of Metal Ions on the Activity of Recombinant XynT
3.7. Effect of Salt on the Activity of Recombinant XynT
3.8. Putative Structure Analysis
4. Conclusions
Supplementary Materials
Author Contributions
Funding
Conflicts of Interest
References
- Limayem, A.; Ricke, S.C. Lignocellulosic biomass for bioethanol production: Current perspectives, potential issues and future prospects. Prog. Energy Combust. Sci. 2012, 38, 449–467. [Google Scholar] [CrossRef]
- Koukiekolo, R.; Cho, H.-Y.; Kosugi, A.; Inui, M.; Yukawa, H.; Doi, R.H. Degradation of Corn Fiber by Clostridium cellulovorans Cellulases and Hemicellulases and Contribution of Scaffolding Protein CbpA. Appl. Environ. Microbiol. 2005, 71, 3504–3511. [Google Scholar] [CrossRef][Green Version]
- Naidu, D.S.; Hlangothi, S.P.; John, M. Bio-based products from xylan: A review. Carbohydr. Polym. 2018, 179, 28–41. [Google Scholar] [CrossRef] [PubMed]
- Moreira, L.; Filho, E.X.F. Insights into the mechanism of enzymatic hydrolysis of xylan. Appl. Microbiol. Biotechnol. 2016, 100, 5205–5214. [Google Scholar] [CrossRef] [PubMed]
- Henrissat, B.; Bairoch, A. Updating the sequence-based classification of glycosyl hydrolases. Biochem. J. 1996, 316, 695–696. [Google Scholar] [CrossRef] [PubMed]
- Lombard, V.; Golaconda Ramulu, H.; Drula, E.; Coutinho, P.M.; Henrissat, B. The Carbohydrate-active enzymes database (CAZy) in 2013. Nucleic Acids. Res. 2014, 42, D490–D495. [Google Scholar] [CrossRef]
- Wang, K.; Luo, H.-Y.; Tian, J.; Turunen, O.; Huang, H.; Shi, P.; Hua, H.; Wang, C.; Wang, S.; Yao, B. Thermostability Improvement of a Streptomyces Xylanase by Introducing Proline and Glutamic Acid Residues. Appl. Environ. Microbiol. 2014, 80, 2158–2165. [Google Scholar] [CrossRef]
- Collins, T.; Gerday, C.; Feller, G. Xylanases, xylanase families and extremophilic xylanases. FEMS Microbiol. Rev. 2005, 29, 3–23. [Google Scholar] [CrossRef]
- Lee, C.C.; Smith, M.; Kibblewhite-Accinelli, R.E.; Williams, T.G.; Wagschal, K.; Robertson, G.H.; Wong, D.W.S. Isolation and Characterization of a Cold-Active Xylanase Enzyme from Flavobacterium sp. Curr. Microbiol. 2006, 52, 112–116. [Google Scholar] [CrossRef]
- Del-Cid, A.; Ubilla, P.; Ravanal, M.-C.; Medina, E.; Vaca, I.; Levicán, G.; Eyzaguirre, J.; Chávez, R. Cold-Active Xylanase Produced by Fungi Associated with Antarctic Marine Sponges. Appl. Biochem. Biotechnol. 2013, 172, 524–532. [Google Scholar] [CrossRef]
- Martin, M.; Biver, S.; Steels, S.; Barbeyron, T.; Jam, M.; Portetelle, D.; Michel, G.; Vandenbol, M. Identification and Characterization of a Halotolerant, Cold-Active Marine Endo-β-1,4-Glucanase by Using Functional Metagenomics of Seaweed-Associated Microbiota. Appl. Environ. Microbiol. 2014, 80, 4958–4967. [Google Scholar] [CrossRef]
- Wang, G.; Luo, H.-Y.; Wang, Y.; Huang, H.; Shi, P.; Yang, P.; Meng, K.; Bai, Y.G.; Yao, B. A novel cold-active xylanase gene from the environmental DNA of goat rumen contents: Direct cloning, expression and enzyme characterization. Bioresour. Technol. 2011, 102, 3330–3336. [Google Scholar] [CrossRef] [PubMed]
- Béra-Maillet, C.; Devillard, E.; Cezette, M.; Jouany, J.-P.; Forano, E. Xylanases and carboxymethylcellulases of the rumen protozoaPolyplastron multivesiculatum,Eudiplodinium maggiiandEntodiniumsp. FEMS Microbiol. Lett. 2005, 244, 149–156. [Google Scholar] [CrossRef]
- Petrescu, I.; Lamotte-Brasseur, J.; Chessa, J.-P.; Ntarima, P.; Claeyssens, M.; Devreese, B.; Marino, G.; Gerday, C. Xylanase from the psychrophilic yeast Cryptococcus adeliae. Extremophiles 2000, 4, 137–144. [Google Scholar] [CrossRef]
- Juturu, V.; Wu, J. Microbial xylanases: Engineering, production and industrial applications. Biotechnol. Adv. 2012, 30, 1219–1227. [Google Scholar] [CrossRef]
- Karlsson, O.; Pettersson, B.; Westermark, U. Linkages between residual lignin and carbohydrates in bisulphite (Magnefite) pulps. J. Pulp Pap. Sci. 2001, 27, 310–316. [Google Scholar]
- Kumar, V.; Marín-Navarro, J.; Shukla, P. Thermostable microbial xylanases for pulp and paper industries: Trends, applications and further perspectives. World J. Microbiol. Biotechnol. 2016, 32, 34. [Google Scholar] [CrossRef]
- Zhao, Y.; Luo, H.; Meng, K.; Shi, P.; Wang, G.; Yang, P.; Yuan, T.; Yao, B. A Xylanase Gene Directly Cloned from the Genomic DNA of Alkaline Wastewater Sludge Showing Application Potential in the Paper Industry. Appl. Biochem. Biotechnol. 2011, 165, 35–46. [Google Scholar] [CrossRef] [PubMed]
- Zhao, Y.; Meng, K.; Luo, H.; Huang, H.; Yuan, T.; Yang, P.; Yao, B. Molecular and biochemical characterization of a new alkaline active multidomain xylanase from alkaline wastewater sludge. World J. Microbiol. Biotechnol. 2012, 29, 327–334. [Google Scholar] [CrossRef] [PubMed]
- Wong, K.K.; Tan, L.U.; Saddler, J.N. Multiplicity of beta-1,4-xylanase in microorganisms: Functions and applications. Microbiol. Rev. 1988, 52, 305–317. [Google Scholar] [CrossRef] [PubMed]
- Subramaniyan, S.; Prema, P. Biotechnology of Microbial Xylanases: Enzymology, Molecular Biology, and Application. Crit. Rev. Biotechnol. 2002, 22, 33–64. [Google Scholar] [CrossRef]
- Liu, X.; Huang, Z.; Zhang, X.; Shao, Z.; Liu, Z. Cloning, expression and characterization of a novel cold-active and halophilic xylanase from Zunongwangia profunda. Extremophiles 2014, 18, 441–450. [Google Scholar] [CrossRef]
- Setati, M.E. Diversity and industrial potential of hydrolase-producing halophilic/halotolerant eubacteria. Afr. J. Biotechnol. 2010, 9, 1555–1560. [Google Scholar] [CrossRef]
- Karlsson, E.N.; Schmitz, E.; Linares-Pastén, J.A.; Adlercreutz, P. Endo-xylanases as tools for production of substituted xylooligosaccharides with prebiotic properties. Appl. Microbiol. Biotechnol. 2018, 102, 9081–9088. [Google Scholar] [CrossRef]
- Hou, Y.-H.; Wang, T.-H.; Long, H.; Zhu, H.-Y. Novel Cold-adaptive Penicillium Strain FS010 Secreting Thermo-labile Xylanase Isolated from Yellow Sea. Acta Biochim. et Biophys. Sin. 2006, 38, 142–149. [Google Scholar] [CrossRef]
- Yu, T.; Anbarasan, S.; Wang, Y.; Telli, K.; Aslan, A.S.; Su, Z.; Zhou, Y.; Zhang, L.; Iivonen, P.; Havukainen, S.; et al. Hyperthermostable Thermotoga maritima xylanase XYN10B shows high activity at high temperatures in the presence of biomass-dissolving hydrophilic ionic liquids. Extremophiles 2016, 20, 515–524. [Google Scholar] [CrossRef]
- Zhan, P.; Ye, J.; Lin, X.; Zhang, F.; Lin, D.; Zhang, Y.; Tang, K. Complete genome sequence of Echinicola rosea JL3085, a xylan and pectin decomposer. Mar. Genom. 2019, 100722. [Google Scholar] [CrossRef]
- Tang, K.; Lin, Y.; Han, Y.; Jiao, N. Characterization of Potential Polysaccharide Utilization Systems in the Marine Bacteroidetes Gramella Flava JLT2011 Using a Multi-Omics Approach. Front. Microbiol. 2017, 8, 220. [Google Scholar] [CrossRef]
- Trimm, J.L.; Salama, G.; Abramson, J.J. Sulfhydryl oxidation induces rapid calcium release from sarcoplasmic reticulum vesicles. J. Biol. Chem. 1986, 261, 16092–16098. [Google Scholar]
- Wang, S.-Y.; Hu, W.; Lin, X.-Y.; Wu, Z.-H.; Li, Y.-Z. A novel cold-active xylanase from the cellulolytic myxobacterium Sorangium cellulosum So9733-1: Gene cloning, expression, and enzymatic characterization. Appl. Microbiol. Biotechnol. 2011, 93, 1503–1512. [Google Scholar] [CrossRef]
- Verma, D.; Satyanarayana, T. Cloning, expression and applicability of thermo-alkali-stable xylanase of Geobacillus thermoleovorans in generating xylooligosaccharides from agro-residues. Bioresour. Technol. 2012, 107, 333–338. [Google Scholar] [CrossRef]
- Liu, Y.-C.; Li, F.; Dong, B.; Wang, B.; Luan, W.; Zhang, X.-J.; Zhang, L.-S.; Xiang, J. Molecular cloning, characterization and expression analysis of a putative C-type lectin (Fclectin) gene in Chinese shrimp Fenneropenaeus chinensis. Mol. Immunol. 2007, 44, 598–607. [Google Scholar] [CrossRef]
- Zhou, J.; Gao, Y.; Dong, Y.; Tang, X.; Li, J.; Xu, B.; Mu, Y.; Wu, Q.; Huang, Z. A novel xylanase with tolerance to ethanol, salt, protease, SDS, heat, and alkali from actinomycete Lechevalieria sp. HJ3. J. Ind. Microbiol. Biotechnol. 2012, 39, 965–975. [Google Scholar] [CrossRef]
- Liu, Z.; Zhao, X.; Bai, F. Production of xylanase by an alkaline-tolerant marine-derived Streptomyces viridochromogenes strain and improvement by ribosome engineering. Appl. Microbiol. Biotechnol. 2012, 97, 4361–4368. [Google Scholar] [CrossRef] [PubMed]
- Guo, B.; Chen, X.-L.; Sun, C.-Y.; Zhou, B.-C.; Zhang, Y.-Z. Gene cloning, expression and characterization of a new cold-active and salt-tolerant endo-β-1,4-xylanase from marine Glaciecola mesophila KMM 241. Appl. Microbiol. Biotechnol. 2009, 84, 1107–1115. [Google Scholar] [CrossRef]
- Khandeparker, R.D.; Parab, P.; Amberkar, U. Recombinant Xylanase from Bacillus tequilensis BT21: Biochemical Characterisation and Its Application in the Production of Xylobiose from Agricultural Residues. Food Technol. Biotechnol. 2017, 55, 164–172. [Google Scholar] [CrossRef]
- Han, Z.; Shang-Guan, F.; Yang, J. Characterization of a novel cold-active xylanase from Luteimonas species. World J. Microbiol. Biotechnol. 2018, 34, 123. [Google Scholar] [CrossRef]
- Teo, S.C.; Liew, K.J.; Shamsir, M.S.; Chong, C.S.; Bruce, N.C.; Chan, K.-G.; Goh, K.M. Characterizing a Halo-Tolerant GH10 Xylanase from Roseithermus sacchariphilus Strain RA and Its CBM-Truncated Variant. Int. J. Mol. Sci. 2019, 20, 2284. [Google Scholar] [CrossRef]
- Bai, W.; Xue, Y.; Zhou, C.; Ma, Y. Cloning, expression and characterization of a novel salt-tolerant xylanase from Bacillus sp. SN5. Biotechnol. Lett. 2012, 34, 2093–2099. [Google Scholar] [CrossRef]
- Carli, S.; Meleiro, L.P.; Rosa, J.C.; De Moraes, L.A.B.; Jorge, J.A.; Masui, D.C.; Furriel, R.P. A novel thermostable and halotolerant xylanase from Colletotrichum graminicola. J. Mol. Catal. B Enzym. 2016, 133, S508–S517. [Google Scholar] [CrossRef]
- Chen, S.; Kaufman, M.G.; Miazgowicz, K.L.; Bagdasarian, M.; Walker, E.D. Molecular characterization of a cold-active recombinant xylanase from Flavobacterium johnsoniae and its applicability in xylan hydrolysis. Bioresour. Technol. 2012, 128, 145–55. [Google Scholar] [CrossRef] [PubMed]
- Liu, Q.; Wang, Y.; Luo, H.; Wang, L.; Shi, P.; Huang, H.; Yang, P.; Yao, B. Isolation of a Novel Cold-Active Family 11 Xylanase from the Filamentous Fungus Bispora antennata and Deletion of its N-Terminal Amino Acids on Thermostability. Appl. Biochem. Biotechnol. 2014, 175, 925–936. [Google Scholar] [CrossRef] [PubMed]
- Collins, T.; Meuwis, M.-A.; Stals, I.; Claeyssens, M.; Feller, G.; Gerday, C. A Novel Family 8 Xylanase, Functional and Physicochemical Characterization. J. Biol. Chem. 2002, 277, 35133–35139. [Google Scholar] [CrossRef] [PubMed]
- Shi, P.; Tian, J.; Yuan, T.; Liu, X.; Huang, H.; Bai, Y.; Yang, P.; Chen, X.; Wu, N.; Yao, B. Paenibacillus sp. Strain E18 Bifunctional Xylanase-Glucanase with a Single Catalytic Domain. Appl. Environ. Microbiol. 2010, 76, 3620–3624. [Google Scholar] [CrossRef] [PubMed]
- Zhou, J.; Huang, H.; Meng, K.; Shi, P.; Wang, Y.; Luo, H.; Yang, P.; Bai, Y.; Zhou, Z.; Yao, B. Molecular and biochemical characterization of a novel xylanase from the symbiotic Sphingobacterium sp. TN19. Appl. Microbiol. Biotechnol. 2009, 85, 323–333. [Google Scholar] [CrossRef]
- Fukuchi, S.; Yoshimune, K.; Wakayama, M.; Moriguchi, M.; Nishikawa, K. Unique Amino Acid Composition of Proteins in Halophilic Bacteria. J. Mol. Biol. 2003, 327, 347–357. [Google Scholar] [CrossRef]
- Burg, B.V.D. Extremophiles as a source for novel enzymes. Curr. Opin. Microbiol. 2003, 6, 213–218. [Google Scholar] [CrossRef]
- A Jolley, K.; Russell, R.J.M.; Hough, D.W.; Danson, M.J. Site-Directed Metagenesis and Halophilicity of Dihydrolipoamide Dehydrogenase from the Halophilic Archaeon, Haloferax Volcanii. JBIC J. Biol. Inorg. Chem. 1997, 248, 362–368. [Google Scholar] [CrossRef]
- Xie, H.; Flint, J.; Vardakou, M.; Lakey, J.H.; Lewis, R.J.; Gilbert, H.J.; Dumon, C. Probing the Structural Basis for the Difference in Thermostability Displayed by Family 10 Xylanases. J. Mol. Biol. 2006, 360, 157–167. [Google Scholar] [CrossRef]
- Zheng, Y.; Li, Y.; Liu, W.; Chen, C.-C.; Ko, T.-P.; He, M.; Xu, Z.; Liu, M.; Luo, H.-Y.; Guo, R.-T.; et al. Structural insight into potential cold adaptation mechanism through a psychrophilic glycoside hydrolase family 10 endo-β-1,4-xylanase. J. Struct. Biol. 2016, 193, 206–211. [Google Scholar] [CrossRef]
- Siddiqui, K.S.; Cavicchioli, R. Cold-Adapted Enzymes. Annu. Rev. Biochem. 2006, 75, 403–433. [Google Scholar] [CrossRef]
- Bentahir, M.; Feller, G.; Aittaleb, M.; Lamotte-Brasseur, J.; Himri, T.; Chessa, J.-P.; Gerday, C. Structural, Kinetic, and Calorimetric Characterization of the Cold-active Phosphoglycerate Kinase from the AntarcticPseudomonassp. TACII18. J. Biol. Chem. 2000, 275, 11147–11153. [Google Scholar] [CrossRef] [PubMed][Green Version]
- Hoyoux, A.; Jennes, I.; Dubois, P.; Genicot, S.; Dubail, F.; François, J.M.; Baise, E.; Feller, G.; Gerday, C. Cold-Adapted β-Galactosidase from the Antarctic Psychrophile Pseudoalteromonas haloplanktis. Appl. Environ. Microbiol. 2001, 67, 1529–1535. [Google Scholar] [CrossRef] [PubMed]
- Lonhienne, T.; Zoidakis, J.; E Vorgias, C.; Feller, G.; Gerday, C.; Bouriotis, V. Modular structure, local flexibility and cold-activity of a novel chitobiase from a psychrophilic antarctic bacterium. J. Mol. Biol. 2001, 310, 291–297. [Google Scholar] [CrossRef] [PubMed]
- Liang, P.; Sun, J.; Li, H.; Liu, M.; Xue, Z.; Zhang, Y. Echinicola rosea sp. nov., a marine bacterium isolated from surface seawater. Int. J. Syst. Evol. Microbiol. 2016, 66, 3299–3304. [Google Scholar] [CrossRef]
- He, J.; Sakaguchi, K.; Suzuki, T. Acquired Tolerance to Oxidative Stress in Bifidobacterium longum 105-A via Expression of a Catalase Gene. Appl. Environ. Microbiol. 2012, 78, 2988–2990. [Google Scholar] [CrossRef]
- Waterhouse, A.; Bertoni, M.; Bienert, S.; Studer, G.; Tauriello, G.; Gumienny, R.; Heer, F.T.; Beer, T.A.P.; Rempfer, C.; Bordoli, L.; et al. SWISS-MODEL: Homology modelling of protein structures and complexes. Nucleic Acids. Res. 2018, 46, W296–W303. [Google Scholar] [CrossRef]
- Williams, C.J.; Headd, J.J.; Moriarty, N.W.; Prisant, M.G.; Videau, L.L.; Deis, L.N.; Verma, V.; Keedy, D.A.; Hintze, B.; Chen, V.B.; et al. MolProbity: More and better reference data for improved all-atom structure validation. Protein Sci. 2018, 27, 29–315. [Google Scholar] [CrossRef]
- Lüthy, R.; Bowie, J.U.; Eisenberg, D. Assessment of protein models with three-dimensional profiles. Nature 1992, 356, 83–85. [Google Scholar] [CrossRef]
- Armenteros, J.J.A.; Tsirigos, K.; Sønderby, C.K.; Petersen, T.N.; Winther, O.; Brunak, S.; Von Heijne, G.; Nielsen, H. SignalP 5.0 improves signal peptide predictions using deep neural networks. Nat. Biotechnol. 2019, 37, 420–423. [Google Scholar] [CrossRef]
- Robert, X.; Gouet, P. Deciphering key features in protein structures with the new ENDscript server. Nucleic Acids Res. 2014, 42, W320–W324. [Google Scholar] [CrossRef] [PubMed]
- Ceroni, A.; Passerini, A.; Vullo, A.; Frasconi, P. DISULFIND: A disulfide bonding state and cysteine connectivity prediction server. Nucleic Acids Res. 2006, 34, W177–W181. [Google Scholar] [CrossRef] [PubMed]







| Xylanase (Source/Microorganism) | GH | Topt °C | pHopt | Activity in the Presence of 4 M NaCl | Residual Activity at Low Temperature | Refs |
|---|---|---|---|---|---|---|
| XynT (Echinicola rosea sp. nov. JL3085T) | 10 | 40 | 7 | 135% | 26%, 0 °C; 51%, 5 °C | This study |
| XynA (Zunongwangia profunda) | 10 | 30 | 6.5 | 140% | 23%, 0 °C; 38%, 5 °C | [22] |
| LaXynA (Luteinonas abyssi XH031T) | 10 | 40 | 7 | 100% | 51%, 10 °C | [37] |
| XynRA2 (Roseithermus sacchariphilus Strain RA) | 10 | 70 | 8.5 | 94% | <30%, 20 °C | [38] |
| Xyn10A (Bacillus sp. SN5) | 10 | 40 | 7 | <50% | ~30%, 5 °C; ~30%, 10 °C | [39] |
| Excg1 (Colletotrichum graminicola) | 10 | 65 | 5.5 | ~100% in 3 M NaCl | [40] | |
| Xyn10A (Flavobacterium johnsoniae) | 10 | 30 | 8 | 50%, 4 °C | [41] | |
| Xyn11 (Bispora antennata) | 11 | 35 | 5.5 | 20%, 0 °C; ~40%, 10 °C | [42] | |
| XynGR40 (goat rumen contents) | 10 | 30 | 6.5 | 10%, 0 °C | [12] | |
| Xylanase (Pseudoalteromonas haloplanktis) | 8 | 35 | 5.3–8 | 60%, 5 °C | [43] | |
| XynBE18 (Paenibacillus sp. Strain E18) | 10 | 50 | 7–9 | ~30%, 30 °C | [44] | |
| XynA19 (Sphingobacterium sp. TN19) | 10 | 45 | 6–6.5 | <10%, 0 °C | [45] |
| Temperature °C | Vmax μmoL min−1 mg−1 | Km mM | kcat S−1 | kcat/Km S−1 mM |
|---|---|---|---|---|
| 10 | 15 ± 0.7 | 22.7 ± 2.7 | 9 ± 0.4 | 0.4 |
| 40 | 62 ± 1.5 | 15.3 ± 1.3 | 51 ± 1.3 | 3.3 |
| Composition/Parameter | XynT | XynA | XynGR40 | XynA19 | Xyn10A | xylanase | XynRA2 | LaXynA |
|---|---|---|---|---|---|---|---|---|
| Percent Gly (%) | 7.5 | 5.3 | 7.6 | 6.8 | 5.2 | 7.3 | 9.3 | 9.9 |
| Topt (°C) | 40 | 30 | 30 | 45 | 40 | 35 | 70 | 40 |
| Arg/Lys ratio | 0.82 | 0.38 | 0.5 | 0.52 | 0.25 | 0.43 | 5.3 | 6.88 |
| Percent alkaline amino acid (%) | 13.6 | 17.9 | 13.5 | 15.2 | 11.4 | 10.6 | 7.4 | 9.3 |
| Percent acidic amino acid (%) | 17.1 | 16.3 | 13.7 | 13 | 11.4 | 8 | 14.7 | 14.2 |
| Reference | This study | [22] | [12] | [45] | [41] | [43] | [38] | [37] |
© 2020 by the authors. Licensee MDPI, Basel, Switzerland. This article is an open access article distributed under the terms and conditions of the Creative Commons Attribution (CC BY) license (http://creativecommons.org/licenses/by/4.0/).
Share and Cite
He, J.; Liu, L.; Liu, X.; Tang, K. Isolation and Characterization of a Novel Cold-Active, Halotolerant Endoxylanase from Echinicola rosea Sp. Nov. JL3085T. Mar. Drugs 2020, 18, 245. https://doi.org/10.3390/md18050245
He J, Liu L, Liu X, Tang K. Isolation and Characterization of a Novel Cold-Active, Halotolerant Endoxylanase from Echinicola rosea Sp. Nov. JL3085T. Marine Drugs. 2020; 18(5):245. https://doi.org/10.3390/md18050245
Chicago/Turabian StyleHe, Jianlong, Le Liu, Xiaoyan Liu, and Kai Tang. 2020. "Isolation and Characterization of a Novel Cold-Active, Halotolerant Endoxylanase from Echinicola rosea Sp. Nov. JL3085T" Marine Drugs 18, no. 5: 245. https://doi.org/10.3390/md18050245
APA StyleHe, J., Liu, L., Liu, X., & Tang, K. (2020). Isolation and Characterization of a Novel Cold-Active, Halotolerant Endoxylanase from Echinicola rosea Sp. Nov. JL3085T. Marine Drugs, 18(5), 245. https://doi.org/10.3390/md18050245
