Agelasine Diterpenoids and Cbl-b Inhibitory Ageliferins from the Coralline Demosponge Astrosclera willeyana
Abstract
1. Introduction
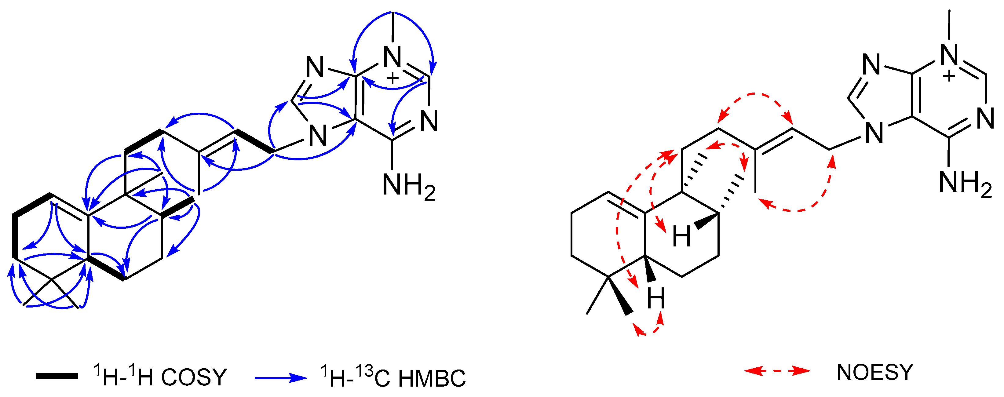
2. Results and Discussion
3. Materials and Methods
3.1. General Experimental Procedures
3.2. Animal Material
3.3. Extraction and Isolation
3.4. Cbl-b Biochemical Assay
4. Conclusions
Supplementary Materials
Author Contributions
Funding
Institutional Review Board Statement
Data Availability Statement
Acknowledgments
Conflicts of Interest
References
- Lutz-Nicoladoni, C.; Wolf, D.; Sopper, S. Modulation of immune cell functions by the E3 ligase Cbl-b. Front. Oncol. 2015, 5, 58. [Google Scholar] [CrossRef]
- Paolino, M.; Penninger, J.M. Cbl-b in T-cell activation. Semin. Immunopathol. 2010, 32, 137–148. [Google Scholar] [CrossRef] [PubMed]
- Wallner, S.; Gruber, T.; Baier, G.; Wolf, D. Releasing the brake: Targeting Cbl-b to enhance lymphocyte effector functions. Clin. Dev. Immunol. 2012, 692639. [Google Scholar] [CrossRef] [PubMed]
- Bachmaier, K.; Krawczyk, C.; Kozieradzki, I.; Kong, Y.-Y.; Sasaki, T.; Oliveira-Dos-Santos, A.; Mariathasan, S.; Bouchard, D.; Wakeham, A.; Itie, A.; et al. Negative regulation of lymphocyte activation and autoimmunity by the molecular adaptor Cbl-b. Nature 2000, 403, 211–216. [Google Scholar] [CrossRef] [PubMed]
- Chiang, Y.J.; Kole, H.K.; Brown, K.; Naramura, M.; Fukuhara, S.; Hu, R.-J.; Jang, I.K.; Gutkind, J.S.; Shevach, E.; Gu, H. Cbl-b regulates the CD28 dependence of T-cell activation. Nature 2000, 403, 216–220. [Google Scholar] [CrossRef]
- Chiang, J.Y.; Jang, I.K.; Hodes, R.; Gu, H. Ablation of Cbl-b provides protection against transplanted and spontaneous tumors. J. Clin. Investig. 2007, 117, 1029–1036. [Google Scholar] [CrossRef]
- Liyasova, M.S.; Ma, K.; Lipkowitz, S. Molecular pathways: Cbl proteins in tumorigenesis and antitumor immunity-opportunities for cancer treatment. Clin. Cancer Res. 2015, 21, 1789–1794. [Google Scholar] [CrossRef]
- Wilson, B.A.P.; Voeller, D.; Smith, E.A.; Wamiru, A.; Goncharova, E.I.; Liu, G.; Lipkowitz, S.; O’Keefe, B.R. In vitro ubiquitination platform identifies methyl ellipticiniums as ubiquitin ligase inhibitors. SLAS Discov. 2021. [Google Scholar] [CrossRef]
- Jahn, T.; Konig, G.M.; Wright, A.D.; Worheide, G.; Reitner, J. Manzacidin D: An unprecedented secondary metabolite from the “living fossil” sponge Astrosclera willeyana. Tetrahedron Lett. 1997, 38, 3883–3884. [Google Scholar] [CrossRef]
- Williams, D.H.; Faulkner, D.J. N-methylated ageliferins from the sponge Astrosclera willeyana from Pohnpei. Tetrahedron 1996, 52, 5381–5390. [Google Scholar] [CrossRef]
- Hashimoto, T.; Maruoka, K. Synthesis of manzacidins: A stage for the demonstration of synthetic methodologies. Org. Biomol. Chem. 2008, 6, 829–835. [Google Scholar] [CrossRef]
- Ma, Z.; Wang, X.; Wang, X.; Rodriguez, R.A.; Moore, C.E.; Gao, S.; Tan, X.; Ma, Y.; Rheingold, A.L.; Baran, P.S.; et al. Asymmetric synthesis of sceptrin and massadine and evidence for biosynthetic enantiodivergence. Science 2014, 346, 219–224. [Google Scholar] [CrossRef] [PubMed]
- Ohfune, Y.; Oe, K.; Namba, K.; Shinada, T. Total synthesis of manzacidins. An overview and perspective. Heterocycles 2012, 85, 2617–2649. [Google Scholar] [CrossRef]
- Wang, X.; Ma, Z.; Lu, J.; Tan, X.; Chen, C. Asymmetric synthesis of ageliferin. J. Am. Chem. Soc. 2011, 133, 15350–15353. [Google Scholar] [CrossRef] [PubMed][Green Version]
- Wang, X.; Wang, X.; Tan, X.; Lu, J.; Cormier, K.W.; Ma, Z.; Chen, C. Correction to a biomimetic route for construction of the [4 + 2] and [3 + 2] core skeletons of dimeric pyrrole-imidazole alkaloids and asymmetric synthesis of ageliferins. J. Am. Chem. Soc. 2013, 135, 1163. [Google Scholar] [CrossRef]
- Eder, C.; Proksch, P.; Wray, V.; van Soest, R.W.M.; Ferdinandus, E.; Pattisina, L.A.; Sudarsono, S. New bromopyrrole alkaloids from the Indopacific sponge Agelas nakamurai. J. Nat. Prod. 1999, 62, 1295–1297. [Google Scholar] [CrossRef]
- Hamed, A.N.E.; Schmitz, R.; Bergermann, A.; Totzke, F.; Kubbutat, M.; Mueller, W.E.G.; Youssef, D.T.A.; Bishr, M.M.; Kamel, M.S.; Edrada-Ebel, R.; et al. Bioactive pyrrole alkaloids isolated from the Red Sea: Marine sponge Stylissa carteri. Z. Naturforsch. C J. Biosci. 2018, 73, 199–210. [Google Scholar] [CrossRef] [PubMed]
- Chu, M.-J.; Tang, X.-L.; Qin, G.-F.; Sun, Y.-T.; Li, L.; de Voogd, N.J.; Li, P.-L.; Li, G.-Q. Pyrrole derivatives and diterpene alkaloids from the South China Sea sponge Agelas nakamurai. Chem. Biodivers. 2017, 14, e1600446. [Google Scholar] [CrossRef]
- Hattori, T.; Adachi, K.; Shizuri, Y. New agelasine compound from the marine sponge Agelas mauritiana as an antifouling substance against macroalgae. J. Nat. Prod. 1997, 60, 411–413. [Google Scholar] [CrossRef]
- Nakamura, H.; Wu, H.; Ohizumi, Y.; Hirata, Y. Agelasine-A, -B, -C and -D, novel bicyclic diterpenoids with a 9-methladeninium unit possessing inhibitory effects on Na,K-ATPase from the Okinawa sea sponge Agelas sp. Tetrahedron Lett. 1984, 25, 2989–2992. [Google Scholar] [CrossRef]
- Marcos, I.S.; Garcia, N.; Sexmero, M.J.; Basabe, P.; Diez, D.; Urones, J.G. Synthesis of (+)-agelasine C. A structural revision. Tetrahedron 2005, 61, 11672–11678. [Google Scholar] [CrossRef]
- Pettit, G.R.; Tang, Y.; Zhang, Q.; Bourne, G.T.; Arm, C.A.; Leet, J.E.; Knight, J.C.; Pettit, R.K.; Chapuis, J.-C.; Doubek, D.L.; et al. Isolation and structures of axistatins 1–3 from the Republic of Palau marine sponge Agelas axifera Hentschel. J. Nat. Prod. 2013, 76, 420–424. [Google Scholar] [CrossRef]
- Capon, R.J.; Faulkner, D.J. Antimicrobial metabolites from a Pacific sponge, Agelas sp. J. Am. Chem. Soc. 1984, 106, 1819–1822. [Google Scholar] [CrossRef]
- Du, K.; De Mieri, M.; Neuburger, M.; Zietsman, P.C.; Marston, A.; van Vuuren, S.F.; Ferreira, D.; Hamburger, M.; van der Westhuizen, J.H. Labdane and clerodane diterpenoids from Colophospermum mopane. J. Nat. Prod. 2015, 78, 2494–2504. [Google Scholar] [CrossRef]
- Pelot, K.A.; Hagelthorn, D.M.; Hong, Y.J.; Tantillo, D.J.; Zerbe, P. Diterpene synthase-catalyzed biosynthesis of distinct clerodane stereoisomers. ChemBioChem 2019, 20, 111–117. [Google Scholar] [CrossRef] [PubMed]
- McCloud, T.G. High throughput extraction of plant, marine and fungal specimens for preservation of biologically active molecules. Molecules 2010, 15, 4526–4563. [Google Scholar] [CrossRef] [PubMed]
- Ettenberg, S.A.; Magnifico, A.; Cuello, M.; Nau, M.M.; Rubinstein, Y.R.; Yarden, Y.; Weissman, A.M.; Lipkowitz, S. Cbl-b dependent coordinated degradation of the epidermal growth factor receptor signaling complex. J. Biol. Chem. 2001, 276, 27677–27684. [Google Scholar] [CrossRef]
- Lorick, K.L.; Jensen, J.P.; Fang, S.; Ong, A.M.; Hatakeyama, S.; Weissman, A.M. RING fingers mediate ubiquitin-conjugating enzyme (E2)-dependent ubiquitination. Proc. Natl. Acad. Sci. USA 1999, 96, 11364–11369. [Google Scholar] [CrossRef] [PubMed]
- Davies, G.C.; Ettenberg, S.A.; Coats, A.O.; Mussante, M.; Ravichandran, S.; Collins, J.; Nau, M.M.; Lipkowitz, S. Cbl-b interacts with ubiquitinated proteins; differential functions of the UBA domains of c-Cbl and Cbl-b. Oncogene 2004, 23, 7104–7115. [Google Scholar] [CrossRef]
- Calcul, L.; Tenney, K.; Ratnam, J.; McKerrow, J.H.; Crews, P. Structural variations to the 9-N-methyladeninium diterpenoid hybrid commonly isolated from Agelas sponges. Aust. J. Chem. 2010, 63, 915–921. [Google Scholar] [CrossRef]
- Gordaliza, M. Terpenyl-purines from the sea. Mar. Drugs 2009, 7, 833–849. [Google Scholar] [CrossRef] [PubMed]
- Kubota, T.; Iwai, T.; Takahashi-Nakaguchi, A.; Fromont, J.; Gonoi, T.; Kobayashi, J. Agelasines O-U, new diterpene alkaloids with a 9-N-methyladenine unit from a marine sponge Agelas sp. Tetrahedron 2012, 68, 9738–9744. [Google Scholar] [CrossRef]
- Stout, E.P.; Yu, L.C.; Molinski, T.F. Antifungal diterpene alkaloids from the Caribbean sponge Agelas citrina: Unified configurational assignments of agelasidines and agelasines. Eur. J. Org. Chem. 2012, 2012, 5131–5135. [Google Scholar] [CrossRef]
- Yang, F.; Hamann, M.T.; Zou, Y.; Zhang, M.-Y.; Gong, X.-B.; Xiao, J.-R.; Chen, W.-S.; Lin, H.-W. Antimicrobial metabolites from the Paracel Islands sponge Agelas mauritiana. J. Nat. Prod. 2012, 75, 774–778. [Google Scholar] [CrossRef] [PubMed]
- Fathi-Afshar, R.; Allen, T.M. Biologically active metabolites from Agelas mauritiana. Can. J. Chem. 1988, 66, 45–50. [Google Scholar] [CrossRef]
- Ohba, M.; Iizuka, K.; Ishibashi, H.; Fujii, T. Synthesis and absolute configurations of the marine sponge purines (+)-agelasimine-A and (+)-agelasimine-B. Tetrahedron 1997, 53, 16977–16986. [Google Scholar] [CrossRef]




| Position | 1 | 2 | 3 | |||
|---|---|---|---|---|---|---|
| δH (J in Hz) | δC, Type | δH (J in Hz) | δC, Type | δH (J in Hz) | δC, Type | |
| 1 | 5.36, t (4.0) | 121.4, CH | 5.36, t (4.0) | 121.4, CH | 2.01, m 1.83, m | 18.8, CH2 | 
| 2 | 2.04, m | 24.1, CH2 | 2.04, m | 24.1, CH2 | 2.15, m 2.01, m | 25.0, CH2 | 
| 3 | 1.37, m 1.13, m | 34.2, CH2 | 1.37, m 1.13, m | 34.2, CH2 | 5.28, br s | 124.4, CH | 
| 4 | 32.4, C | 32.4, C | 141.0, C | |||
| 5 | 1.69, m | 44.8, CH | 1.69, m | 44.9, CH | 38.0, C | |
| 6 | 1.59, m 1.30, m | 24.8, CH2 | 1.59, m 1.30, m | 24.8, CH2 | 2.03, m 1.09, m | 38.8, CH2 | 
| 7 | 2.02, m 1.37, m | 30.2, CH2 | 2.02, m 1.37, m | 30.2, CH2 | 1.25, m | 29.9, CH2 | 
| 8 | 1.55, m | 40.6, CH | 1.55, m | 40.6, CH | 1.48, m | 38.6, CH | 
| 9 | 44.1, C | 44.1, C | 41.3, C | |||
| 10 | 142.7, C | 142.6, C | 1.40, m | 45.9, CH | ||
| 11 | 2.10, m 1.26, m | 38.6, CH2 | 2.10, m 1.26, m | 38.7, CH2 | 1.65, m 1.37, m | 37.6, CH2 | 
| 12 | 2.00, m 1.81, m | 35.5, CH2 | 2.00, m 1.81, m | 35.5, CH2 | 2.03, m | 33.9, CH2 | 
| 13 | 147.4, C | 147.7, C | 147.7, C | |||
| 14 | 5.45, t (6.9) | 117.5, CH | 5.45, t (6.9) | 117.2, CH | 5.50, t (7.0) | 117.3, CH | 
| 15 | 5.12, br d (6.9) | 46.6, CH2 | 5.13, br d (6.9) | 46.7, CH2 | 5.15, br d (7.0) | 46.7, CH2 | 
| 16 | 1.84, s | 17.0, CH3 | 1.84, s | 17.0, CH3 | 1.86, s | 17.0, CH3 | 
| 17 | 0.83, d (6.4) | 16.0, CH3 | 0.83, d (6.4) | 16.0, CH3 | 0.80, d (6.4) | 16.3, CH3 | 
| 18 | 0.84, s | 26.6, CH3 | 0.84, s | 26.6, CH3 | 1.69, s | 20.0, CH3 | 
| 19 | 0.88, s | 28.7, CH3 | 0.88, s | 28.7, CH3 | 1.04, s | 33.6, CH3 | 
| 20 | 0.94, s | 22.8, CH3 | 0.94, s | 22.8, CH3 | 0.85, s | 17.9, CH3 | 
| 2′ | 8.57, s | 149.5, CH | 8.67, s | 149.5, CH | 8.67, s | 149.5, CH | 
| 3′-NMe | 4.04, s | 36.6, CH3 | 4.06, s | 36.6, CH3 | 4.05, s | 36.6, CH3 | 
| 4′ | 151.5, C | 150.0, C | 150.4, C | |||
| 5′ | 112.4, C | 113.1, C | 113.1, C | |||
| 6′ | 155.1, C | 153.8, C | 153.8, C | |||
| 8′ | 8.44, s | 148.0, CH | 8.38, s | 147.1, CH | 8.39, s | 147.1, CH | 
| 10′-NMe | 3.27, s | 29.3, CH3 | 3.27, s | 29.3, CH3 | ||
| Position | δH (J in Hz) | δC, Type | 
|---|---|---|
| 2 | 6.91, d (1.5) | 129.1, CH | 
| 2′ | 104.7, C | |
| 3 | 95.6, C | |
| 3′ | 6.14, d (4.0) | 112.5, CH | 
| 4 | 6.84, d (1.5) | 116.1, CH | 
| 4′ | 6.81, d (4.0) | 113.5, CH | 
| 5 | 127.0, C | |
| 5′ | 128.4, C | |
| 6 | 163.9, C | |
| 6′ | 163.0, C | |
| 8 | 3.72, dd (14.8, 3.2); 3.43, dd (14.8, 4.3) | 40.4, CH2 | 
| 8′ | 3.63, dd (14.0, 2.7); 3.37, dd (14.0, 2.7) | 42.5, CH2 | 
| 9 | 2.17, m | 43.8, CH | 
| 9′ | 2.25, m | 37.2, CH | 
| 10 | 3.82, br d (8.5) | 33.6, CH | 
| 10′ | 2.72, dd (16.3, 5.3); 2.47, ddd (16.3, 9.0, 2.9) | 23.5, CH2 | 
| 11 | 127.6, C | |
| 11′ | 122.8, C | |
| 13 | 149.3, C | |
| 13′ | 149.2, C | |
| 15 | 6.77, s | 112.9, CH | 
| 15′ | 119.1, C | |
| NMe | 3.90, s | 37.2, CH3 | 
| Compound | IC50 | Compound | IC50 | 
|---|---|---|---|
| 1 | 57 | 6 | 30 | 
| 2 | 72 | 7 | 18 | 
| 3 | 66 | 8 | 19 | 
| 4 | 33 | 9 | 19 | 
| 5 | 25 | 10 | 35 | 
| Publisher’s Note: MDPI stays neutral with regard to jurisdictional claims in published maps and institutional affiliations. | 
© 2021 by the authors. Licensee MDPI, Basel, Switzerland. This article is an open access article distributed under the terms and conditions of the Creative Commons Attribution (CC BY) license (https://creativecommons.org/licenses/by/4.0/).
Share and Cite
Jiang, W.; Wang, D.; Wilson, B.A.P.; Kang, U.; Bokesch, H.R.; Smith, E.A.; Wamiru, A.; Goncharova, E.I.; Voeller, D.; Lipkowitz, S.; et al. Agelasine Diterpenoids and Cbl-b Inhibitory Ageliferins from the Coralline Demosponge Astrosclera willeyana. Mar. Drugs 2021, 19, 361. https://doi.org/10.3390/md19070361
Jiang W, Wang D, Wilson BAP, Kang U, Bokesch HR, Smith EA, Wamiru A, Goncharova EI, Voeller D, Lipkowitz S, et al. Agelasine Diterpenoids and Cbl-b Inhibitory Ageliferins from the Coralline Demosponge Astrosclera willeyana. Marine Drugs. 2021; 19(7):361. https://doi.org/10.3390/md19070361
Chicago/Turabian StyleJiang, Wei, Dongdong Wang, Brice A. P. Wilson, Unwoo Kang, Heidi R. Bokesch, Emily A. Smith, Antony Wamiru, Ekaterina I. Goncharova, Donna Voeller, Stanley Lipkowitz, and et al. 2021. "Agelasine Diterpenoids and Cbl-b Inhibitory Ageliferins from the Coralline Demosponge Astrosclera willeyana" Marine Drugs 19, no. 7: 361. https://doi.org/10.3390/md19070361
APA StyleJiang, W., Wang, D., Wilson, B. A. P., Kang, U., Bokesch, H. R., Smith, E. A., Wamiru, A., Goncharova, E. I., Voeller, D., Lipkowitz, S., O’Keefe, B. R., & Gustafson, K. R. (2021). Agelasine Diterpenoids and Cbl-b Inhibitory Ageliferins from the Coralline Demosponge Astrosclera willeyana. Marine Drugs, 19(7), 361. https://doi.org/10.3390/md19070361
 
         
                                                



 
                         
       