Streptoglycerides E–H, Unsaturated Polyketides from the Marine-Derived Bacterium Streptomyces specialis and Their Anti-Inflammatory Activity
Abstract
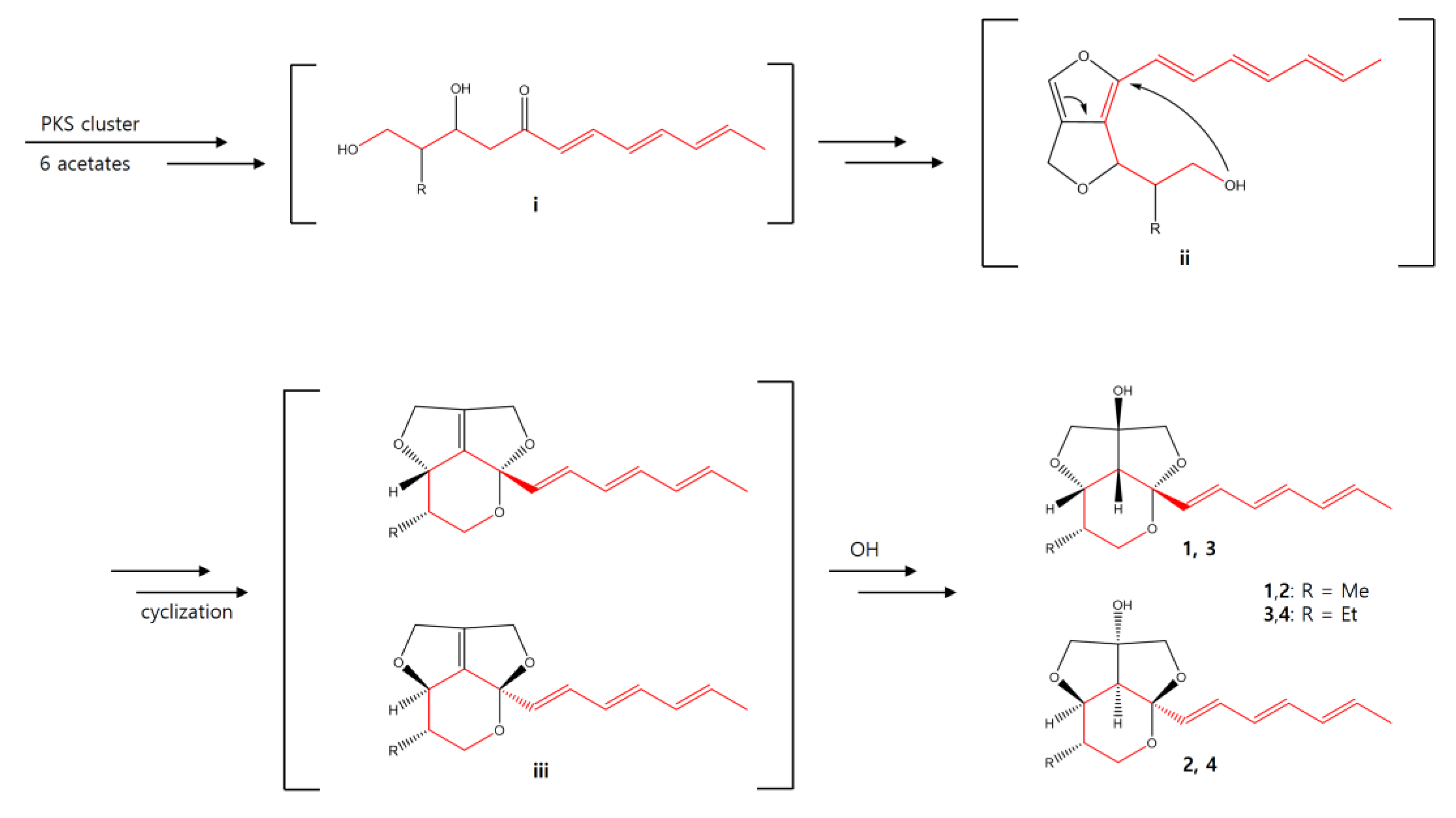
:1. Introduction
2. Results and Discussion
2.1. Structural Elucidation
2.2. Bioactivities
3. Materials and Methods
3.1. General Experimental Procedures
3.2. Isolation and Cultivation of the Strain 208DD-067
3.3. Extraction and Isolation of Metabolites
3.4. Cell Viability Assay
3.5. Computational Methods
3.6. Nitrite Quantification
3.7. Enzyme-Linked Immunosorbent Assay (ELISA)
3.8. RNA Isolation and Quantification of mRNA Expression by qPCR
3.9. Western Immunoblot Analysis
3.10. Statistical Analysis
4. Conclusions
Supplementary Materials
Author Contributions
Funding
Institutional Review Board Statement
Data Availability Statement
Acknowledgments
Conflicts of Interest
References
- Herold, K.; Mrowka, R. Inflammation-Dysregulated inflammatory response and strategies for treatment. Acta Physiol. 2019, 226, e13284. [Google Scholar] [CrossRef] [PubMed] [Green Version]
- Yoon, W.J.; Heo, S.J.; Han, S.C.; Lee, H.J.; Kang, G.J.; Kang, H.K.; Hyun, J.W.; Koh, Y.S.; Yoo, E.S. Anti-inflammatory effect of sargachromanol G isolated from Sargassum siliquastrum in RAW 264.7 cells. Arch. Pharmacal Res. 2012, 35, 1421–1430. [Google Scholar] [CrossRef]
- Yang, S.H.; Le, B.; Androutsopoulos, V.P.; Tsukamoto, C.; Shin, T.-S.; Tsatsakis, A.M.; Chung, G. Anti-inflammatory effects of soyasapogenol I-αa via downregulation of the MAPK signaling pathway in LPS-induced RAW 264.7 macrophages. Food Chem. Toxicol. 2018, 113, 211–217. [Google Scholar] [CrossRef] [PubMed]
- Turnquist, C.; Ryan, B.M.; Horikawa, I.; Harris, B.T.; Harris, C.C. Cytokine Storms in Cancer and COVID-19. Cancer Cell 2020, 38, 598–601. [Google Scholar] [CrossRef] [PubMed]
- Sharma, J.N.; Al-Omran, A.; Parvathy, S.S. Role of nitric oxide in inflammatory diseases. Inflammopharmacology 2007, 15, 252–259. [Google Scholar] [CrossRef] [PubMed]
- Tanaka, T.; Narazaki, M.; Kishimoto, T. IL-6 in inflammation, immunity, and disease. Cold Spring Harb. Perspect. Biol. 2014, 6, a016295. [Google Scholar] [CrossRef] [PubMed]
- Kobayashi, Y. The regulatory role of nitric oxide in proinflammatory cytokine expression during the induction and resolution of inflammation. J. Leukoc. Biol. 2010, 88, 1157–1162. [Google Scholar] [CrossRef] [PubMed]
- Crisafulli, S.; Isgrò, V.; La Corte, L.; Atzeni, F.; Trifirò, G. Potential Role of Anti-interleukin (IL)-6 Drugs in the Treatment of COVID-19: Rationale, Clinical Evidence and Risks. BioDrugs Clin. Immunother. Biopharm. Gene Ther. 2020, 34, 415–422. [Google Scholar] [CrossRef] [PubMed]
- Dang, H.T.; Lee, H.J.; Yoo, E.S.; Shinde, P.B.; Lee, Y.M.; Hong, J.; Kim, D.K.; Jung, J.H. Anti-inflammatory constituents of the red alga Gracilaria verrucosa and their synthetic analogues. J. Nat. Prod. 2008, 71, 232–240. [Google Scholar] [CrossRef] [PubMed]
- Ha, T.M.; Kim, D.-C.; Sohn, J.H.; Yim, J.H.; Oh, H. Anti-Inflammatory and Protein Tyrosine Phosphatase 1B Inhibitory Metabolites from the Antarctic Marine-Derived Fungal Strain Penicillium glabrum SF-7123. Mar. Drugs 2020, 18, 247. [Google Scholar] [CrossRef] [PubMed]
- Kim, Y.N.; Ji, Y.K.; Kim, N.-H.; Van Tu, N.; Rho, J.-R.; Jeong, E.J. Isoquinolinequinone Derivatives from a Marine Sponge (Haliclona sp.) Regulate Inflammation in In Vitro System of Intestine. Mar. Drugs 2021, 19, 90. [Google Scholar] [CrossRef] [PubMed]
- Skropeta, D.; Wei, L. Recent advances in deep-sea natural products. Nat. Prod. Rep. 2014, 31, 999–1025. [Google Scholar] [CrossRef] [PubMed]
- Jiménez, C. Marine Natural Products in Medicinal Chemistry. ACS Med. Chem. Lett. 2018, 9, 959–961. [Google Scholar] [CrossRef] [PubMed] [Green Version]
- Manivasagan, P.; Venkatesan, J.; Sivakumar, K.; Kim, S.K. Pharmaceutically active secondary metabolites of marine actinobacteria. Microbiol. Res. 2014, 169, 262–278. [Google Scholar] [CrossRef] [PubMed]
- Dharmaraj, S. Marine Streptomyces as a novel source of bioactive substances. World J. Microbiol. Biotechnol. 2010, 26, 2123–2139. [Google Scholar] [CrossRef]
- Choi, B.-K.; Park, S.-Y.; Choi, D.-K.; Shin, B.; Shin, Y.-H.; Oh, D.-C.; Lee, H.-S.; Lee, H.-S.; Lee, Y.-J.; Lee, J.S.; et al. Streptoglycerides A–D with a Rare 6/5/5 Tricyclic Ring Skeleton from a Marine Actinomycete Streptomyces species. Org. Lett. 2018, 20, 6037–6040. [Google Scholar] [CrossRef]
- Li, J.-Q.; Zhao, H.-W.; Ma, Z.-J. Cytotoxic bafilomycin analogues 6/5/5 with tricyclic ring system from a marine-derived Streptomyces sp. Tetrahedron Lett. 2020, 61, 151874. [Google Scholar] [CrossRef]
- Xu, W.H.; Zhao, P.; Wang, M.; Liang, Q. Naturally occurring furofuran lignans: Structural diversity and biological activities. Nat. Prod. Res. 2019, 33, 1357–1373. [Google Scholar] [CrossRef]
- Jing, S.-S.; Wang, Y.; Yan, Y.-M.; Li, X.; Li, X.-J.; Zhao, C.-C.; Sun, J.-C.; Qiu, P.-Y.; Man, S.-L.; Gao, W.-Y. Diocollettines A, an unusual tricyclic diarylheptanoid derivative from the rhizomes of Dioscorea collettii. Tetrahedron Lett. 2016, 57, 3215–3217. [Google Scholar] [CrossRef]
- Choi, B.-K.; Cho, D.-Y.; Choi, D.-K.; Shin, H.J. Miharadienes A–D with unique cyclic skeletons from a marine-derived Streptomyces miharaensis. Org. Chem. Front. 2021, 8, 4845–4852. [Google Scholar] [CrossRef]










| No | 1 | 2 | 3 | 4 | ||||
|---|---|---|---|---|---|---|---|---|
| δH, mult (J in Hz) | δC | δH, mult (J in Hz) | δC | δH, mult (J in Hz) | δC | δH, mult (J in Hz) | δC | |
| 1a | 3.36, dd (10.9, 4.3) | 62.3 | 3.35, dd (11.2, 1.4) | 61.7 | 3.44, dd (10.9, 4.3) | 61.3 | 3.49, d-like | 59.3 |
| 1b | 3.74, overlapped | 4.13, dd (11.2, 2.1) | 3.75, overlapped | 4.08, overlapped | ||||
| 2 | 1.92, m | 32.1 | 1.80, m | 31.1 | 1.69, m | 38.8 | 1.52, m | 38.2 |
| 3 | 4.11, dd (7.0, 3.1) | 80.0 | 3.99, overlapped | 81.4 | 4.21, dd (7.1, 3.1) | 78.2 | 4.07, overlapped | 80.4 |
| 4 | 2.41, d (7.0) | 54.3 | 2.40, d (7.2) | 51.5 | 2.41, d (7.1) | 54.3 | 2.38, d (7.3) | 51.8 |
| 5 | 106.1 | 106.2 | 106.4 | 106.2 | ||||
| 6 | 5.66, d (15.3) | 133.6 | 5.68, d (15.3) | 133.7 | 5.67, d (15.4) | 133.6 | 5.67, d (15.3) | 133.7 |
| 7 | 6.40, dd (15.3, 10.6) | 131.8 | 6.41, dd (15.3, 10.8) | 131.5 | 6.41, dd (15.3, 10.7) | 131.8 | 6.39, dd (15.3, 10.6) | 131.5 |
| 8 | 6.11, overlapped | 130.3 | 6.12, overlapped | 130.2 | 6.12, overlapped | 130.3 | 6.12, overlapped | 130.2 |
| 9 | 6.26, dd (14.9, 10.6) | 136.0 | 6.27, dd (14.9, 10.5) | 136.1 | 6.26, dd (14.9, 10.6) | 136.0 | 6.26, dd (14.9, 10.6) | 136.1 |
| 10 | 6.10, overlapped | 132.9 | 6.11, overlapped | 132.9 | 6.11, overlapped | 132.9 | 6.11, overlapped | 132.9 |
| 11 | 5.75, m | 131.5 | 5.76, m | 131.5 | 5.76, m | 131.5 | 5.76, m | 131.5 |
| 12 | 1.76, d (7.0) | 18.4 | 1.76, d (6.1) | 18.4 | 1.77, d (6.6) | 18.4 | 1.76, d (7.0) | 18.4 |
| 13a | 3.62, overlapped | 79.7 | 3.64, d (8.8) | 79.3 | 3.62, d (8.9) | 79.7 | 3.64, d (8.9) | 79.2 |
| 13b | 4.02, overlapped | 4.01, overlapped | 4.01, overlapped | 4.03, overlapped | ||||
| 14 | 87.4 | 88.4 | 88.0 | 88.5 | ||||
| 15a | 3.76, overlapped | 78.4 | 3.77, d (9.3) | 78.2 | 3.77, overlapped | 78.4 | 3.78, d (9.3) | 78.3 |
| 15b | 4.00, overlapped | 4.00, overlapped | 4.00, overlapped | 4.02, overlapped | ||||
| 16a | 0.94, d (7.0) | 13.0 | 1.07, d (7.3) | 15.2 | 1.31, m | 21.5 | 1.42, m | 22.9 |
| 16b | 1.40, m | 1.48, m | ||||||
| 17 | 0.97, t (7.4) | 11.5 | 1.02, t (7.3) | 12.1 | ||||
| Compounds | IC50, μM |
|---|---|
| 1 | 10.9 |
| 2 | 5.9 |
| 3 | 4.7 |
| 4 | 3.5 |
Publisher’s Note: MDPI stays neutral with regard to jurisdictional claims in published maps and institutional affiliations. |
© 2022 by the authors. Licensee MDPI, Basel, Switzerland. This article is an open access article distributed under the terms and conditions of the Creative Commons Attribution (CC BY) license (https://creativecommons.org/licenses/by/4.0/).
Share and Cite
Shin, H.J.; Heo, C.-S.; Anh, C.V.; Yoon, Y.D.; Kang, J.S. Streptoglycerides E–H, Unsaturated Polyketides from the Marine-Derived Bacterium Streptomyces specialis and Their Anti-Inflammatory Activity. Mar. Drugs 2022, 20, 44. https://doi.org/10.3390/md20010044
Shin HJ, Heo C-S, Anh CV, Yoon YD, Kang JS. Streptoglycerides E–H, Unsaturated Polyketides from the Marine-Derived Bacterium Streptomyces specialis and Their Anti-Inflammatory Activity. Marine Drugs. 2022; 20(1):44. https://doi.org/10.3390/md20010044
Chicago/Turabian StyleShin, Hee Jae, Chang-Su Heo, Cao Van Anh, Yeo Dae Yoon, and Jong Soon Kang. 2022. "Streptoglycerides E–H, Unsaturated Polyketides from the Marine-Derived Bacterium Streptomyces specialis and Their Anti-Inflammatory Activity" Marine Drugs 20, no. 1: 44. https://doi.org/10.3390/md20010044
APA StyleShin, H. J., Heo, C.-S., Anh, C. V., Yoon, Y. D., & Kang, J. S. (2022). Streptoglycerides E–H, Unsaturated Polyketides from the Marine-Derived Bacterium Streptomyces specialis and Their Anti-Inflammatory Activity. Marine Drugs, 20(1), 44. https://doi.org/10.3390/md20010044

