Abstract
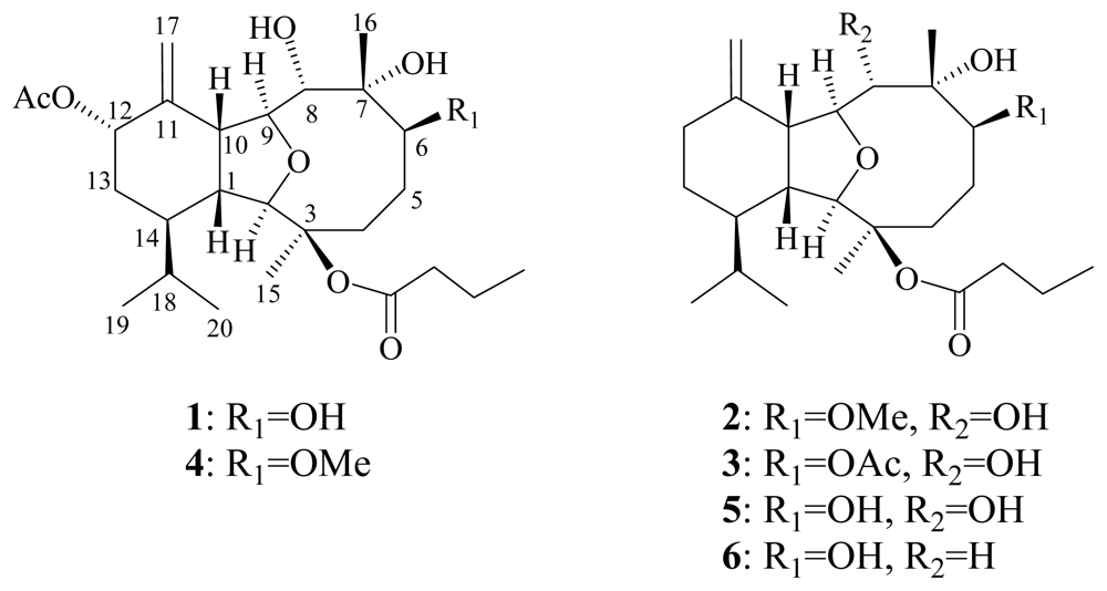
Four new eunicellin-based diterpenoids, krempfielins A–D (1–4), along with two known compounds (5 and 6) have been isolated from a soft coral Cladiella krempfi. The structures of the new metabolites were elucidated by extensive spectroscopic analysis and by comparison with spectroscopic data of related known compounds. Compounds 5 and 6 were shown to exhibit cytotoxicity against a limited panel of cancer cell lines. Furthermore, compounds 2, 3, 5 and 6 were shown to exert significant in vitro anti-inflammatory activity against LPS-stimulated RAW264.7 macrophage cells.
1. Introduction
In previous studies, a series of novel secondary metabolites, including one eunicellin-based diterpenoid [1] and pregnane-type steroids have been isolated from the soft coral Cladiella krempfi [2–4]. During the course of our search for bioactive metabolites from marine invertebrates of Taiwanese waters, several eunicellin-type compounds also have been isolated from octocorals Pachyclavularia violacea [5,6], Cladiella australis [7], Cladiella hirsuta [8], Vigularia juncea [9], Klyxum simplex [10–14]. A related study from an Indonesian soft coral Cladiella sp. also afforded diterpenes of this type [15]. Recently, our investigation on the chemical constituents of the Formosan soft coral Cladiella krempfi yielded four new eunicellin-type metabolites, krempfielins A–D (1–4), along with two known eunicellin-based diterpenoids, litophynol B (5) [16] and (1R*, 2R*, 3R*, 6S*, 7S*, 9R*, 10R*, 14R*)-3-butanoyloxycladiell-11(17)-en-6,7-diol (6) [17] (Chart 1). These compounds possess the more common C-2–C-9 ether linkage characteristic of the eunicellin-based diterpenoids. The molecular structures of these compounds, including their relative stereochemistries, were established by the detailed spectroscopic analysis and by comparison with related physical and spectral data from known compounds. The cytotoxicity of compounds 1–6 against five human tumor cell lines, lung adenocarcinoma (A549 and H1299), breast carcinoma (BT483), liver carcinoma (HepG2), oral cancer (SAS) and one human lung bronchial cell line (BEAS2B) was evaluated. The ability of 1–6 to inhibit the up-regulation of pro-inflammatory iNOS (inducible nitric oxide synthase) and COX-2 (cyclooxygenase-2) proteins in LPS (lipopolysaccharide)-stimulated RAW264.7 macrophage cells was also evaluated.
Chart 1.
Structures of metabolites 1–6.
2. Results and Discussion
Krempfielin A (1) was obtained as a colorless oil. The HRESIMS (m/z 505.2777 [M + Na]+) of 1 established a molecular formula of C26H42O8, implying six degrees of unsaturation. The IR spectrum of 1 revealed the presence of hydroxyl and carbonyl groups from absorptions at 3445 and 1730 cm−1, respectively. The 13C NMR spectroscopic data of 1 exhibited 26 carbon signals (Table 1), which were assigned by the assistance of DEPT spectrum to six methyls (including one acetate methyl at δC 21.9), six methylenes (including one sp2 methylene at δC 114.9), nine methines (including five oxymethines at δC 90.5, 81.9, 78.8, 77.0 and 72.9), five quaternary carbons (including two sp2 oxygenated quaternary carbons at δC 172.3 and 170.5, two sp3 oxygenated quaternary carbons at δC 86.0 and 79.3, and one sp2 quaternary carbon at δC 143.7). The NMR data of 1 (Tables 1 and 2) showed the appearance of a terminal methylene group (δC 114.9, CH2 and 143.7, qC; δH 5.20 brs), a isopropyl moiety (δC 28.9, CH; 21.5, CH3; and 16.6, CH3 and δH 1.85, m, 1H; 0.97, d, 3H, J = 6.6 Hz and 0.86, d, 3H, J = 6.6 Hz), one n-butyrate (δC 172.3, qC; 37.3, CH2; 18.3, CH2 and 13.6, CH3; and δH 2.28, m, 2H; 1.65, m, 2H and 0.97, t, 3H, J = 7.2 Hz) and one acetate group (δC 170.5, qC and 21.9, CH3 and δH 2.09, s, 3H), respectively. Analysis of HMQC correlations showed that proton signals appearing at δH 2.34 (1H, m), 3.30 (1H, t, J = 5.7 Hz), 3.69 (1H, s), and 4.05 (1H, dd, J = 9.3, 5.7 Hz) were correlated to two ring juncture methine carbons at δC 43.6 and 50.3 and two oxymethine carbons at δC 90.5 and 81.9, respectively. This suggested the presence of a tetrahydrofuran structural unit. In addition, the 1H–1H COSY correlations of 1 assigned three isolated consecutive proton spin systems (Figure 1). The molecular framework of 1 was further established by HMBC data (Figure 1). Furthermore, H-12 (δ 5.44) and an acetate methyl exhibited HMBC correlations to the acetate carbonyl carbon (δ 170.5), revealing the location of an acetate at C-12. The location of a n-butyrate at C-3 was then deduced by the chemical shifts of C-3 (δ 86.0) and H3-15 (δ 1.47). From the above results, the structure of compound 1 was shown to be highly related to that of a known compound, litophynol B (5) [16].
Table 1.
13C NMR data for compounds 1–4.
Table 2.
1H NMR data for compounds 1–4.
Figure 1.
Selected 1H–1H COSY (—) and HMBC (→) correlations of 1–3.
The relative configuration of 1 was mostly confirmed to be the same as that of 5 by comparison of the chemical shifts of both compounds and was further confirmed by NOE correlations (Figure 2). Furthermore, one additional NOE correlation between H-10 with H-12 suggested that H-12 was β-oriented and the relative configuration of 1 was proposed as 1R*, 2R*, 3R*, 6S*, 7R*, 8S*, 9S*, 10R*, 12S*, and 14R*.
Figure 2.
Key NOESY correlations for 1–3.
The HRESIMS of krempfielin B (2) exhibited a [M + Na]+ peak at m/z 461.2881 and established a molecular formula of C25H42O6, appropriate with five degrees of unsaturation. By comparison of the 1H and 13C NMR data of 2 with those of 5, it was found that they were very similar. However, a methoxyl group (δH 3.36, 3H, s; δC 56.95, CH3) was observed in 2. In addition, the position of methoxyl group at C-6 was confirmed by the HMBC correlation of the methoxyl proton (δH 3.36) to an oxymethine carbon (δC 88.3, CH, C-6). A more detailed analysis of the 1H and 13C NMR spectroscopic data and correlations in the 1H–1H COSY and HMBC spectra led to the establishment of the gross structure of 2 (Figure 1). The NOESY correlations of 2 (Figure 2) also showed the stereochemistry similarity between compounds 2 and 5. All of the above information suggested that 2 was the 6-O-methyl derivative of 5.
The molecular formula C26H42O7 with six degrees of unsaturation was assigned to krempfielin C (3) from its HRESIMS data (m/z 489.2829 [M + Na]+). The NMR spectroscopic data of 3 (Tables 1 and 2) showed the presence of one acetoxy group (δC 171.9, qC and 21.4, CH3; and δH 2.09 s, 3H) and one n-butyryloxy group (δC 172.4, qC; 37.4, CH2; 18.4, CH2 and 13.6, CH3; and δH 2.34 m, 1H; 2.31 m, 1H; 1.67 m, 2H and 0.99 t, 3H, J = 7.2 Hz). NMR data of 3 showed similarities with those of 5, except for the presence of an acetoxyl group at C-6 of 3 that downfielded H-6 to δH 5.72 and C-6 to δC 82.2 ppm. These observations could be further confirmed by the correlations observed in the 2D NMR (including 1H–1H COSY, HMBC and NOESY) experiments of 3 (Figures 1 and 2).
Krempfielin D (4) was isolated as a colorless oil with a molecular formula C27H44O8 which possesses six units of unsaturation, as indicated by HRESIMS (m/z 519.2934). The 1H and 13C NMR spectral data of 4 (Tables 1 and 2) revealed that the structure of metabolite 4 should be similar to that of 1, as the NMR spectral data of 4 are almost identical with those of 1 except for the presence of a methoxyl group (δH 3.36, 3H, s) in 4. Also, the 13C NMR spectrum of 4 showed the same number of methylene, methine, and quaternary carbons as that of 1, except for the presence of a methoxyl carbon, which showed a signal at δC 56.8 (qC). Furthermore, the methoxyl protons gave an HMBC cross-peak with an oxymethine carbon (δ 87.4, CH), indicating the presence of the methoxyl group at C-6 in 4. The stereochemistry of 4 was confirmed by comparison of the NMR data and NOE correlations of both 1 and 4.
The cytotoxicity of the diterpenoids 1–6 against five human carcinoma cell lines A549, H1299, BT483, HepG2, SAS and one human normal cell line BEAS2B was evaluated by the MTT assay. It was found that only 5 showed activity against the proliferation of H1299 and BT483 cancer cells (ED50 values of 18.1 ± 1.5, and 13.2 ± 1.1 μg/mL), and 6 exhibited cytotoxicity toward A549, BT483 and SAS cancer cell lines (ED50 values of 15.8 ± 2.0, 8.5 ± 1.0 and 14.3 ± 1.8 μg/mL), respectively. Furthermore, 5 and 6 were found to be non-cytotoxic toward the normal cell BEAS2B. In the present study, the in vitro anti-inflammatory effects of compounds 1–6 were also tested by examining the inhibitory activity of these compounds toward the LPS-induced up-regulation of pro-inflammatory proteins, iNOS and COX-2 in RAW264.7 macrophage cells (Figure 3). At a concentration of 10 μM, compounds 2–6 were found to significantly reduce the levels of iNOS protein, relative to the control cells stimulated with LPS only. However, these metabolites did not effectively reduce the expression of COX-2 protein.
Figure 3.
Effect of compounds 1–6 on lipopolysaccharide (LPS)-induced inducible nitric oxide synthetase (iNOS) and cyclooxygenase-2 (COX-2) proteins expression in RAW264.7 macrophage cells by immunoblot analysis. The values are mean ± SEM. (n = 6). Relative intensity of the LPS alone stimulated group was taken as 100%. * Significantly different from LPS alone stimulated group (* P < 0.05). a stimulated with LPS; b stimulated with LPS in the presence of 1–6 (10 μM).
3. Experimental Section
3.1. General Experimental Procedures
Optical rotations were measured on a JASCO P-1020 polarimeter. IR spectra were recorded on a JASCO FT/IR-4100 infrared spectrophotometer. ESIMS and HRESIMS were obtained with a Bruker APEX II mass spectrometer. The NMR spectra were recorded in CDCl3 either on a Varian UNITY INOVA-500 FT-NMR, a Varian 400MR FT-NMR or a Bruker AMX-300 FT-NMR. Silica gel (Merck, 230–400 mesh) was used for column chromatography. Precoated silica gel plates (Merck, Kieselgel 60 F-254, 0.2 mm) were used for analytical TLC. High performance liquid chromatography was performed on a Hitachi L-7100 HPLC apparatus with an ODS column (250 × 21.2 mm, 5 mm).
3.2. Animal Material
C. krempfi was collected by hand using scuba off the coast of Penghu islands of Taiwan in June 2008, at a depth of 5–10 m, and stored in a freezer until extraction. A voucher sample was deposited at the Department of Marine Biotechnology and Resources, National Sun Yat-sen University.
3.3. Extraction and Separation
The octocoral (1.1 kg fresh wt) was collected and freeze-dried. The freeze-dried material was minced and extracted exhaustively with EtOH (3 × 10 L). The EtOH extract of the frozen organism was partitioned between CH2Cl2 and H2O. The CH2Cl2-soluble portion (14.4 g) was subjected to column chromatography on silica gel and eluted with EtOAc in n-hexane (0–100% of EtOAc, stepwise) and then further with MeOH in EtOAc with increasing polarity to yield 41 fractions. Fraction 28, eluted with n-hexane–EtOAc (1:2), was rechromatoraphed over a RP-18 open column using acetone–H2O (10:1) as the mobile phase to afford six subfractions (A1–A6). Subfraction A1 was separated by reverse phase HPLC (CH3CN–H2O, 1:1 to 2:1) to afford compounds 1 (8.3 mg), 2 (3.5 mg), 3 (6.2 mg), 5 (12.2 mg) and 6 (21.3 mg). Subfraction A2 separated by reverse phase HPLC (CH3CN–H2O, 3.8:1) to afford compound 4 (5.0 mg).
Krempfielin A (1): colorless oil; [α]D 25 −39.2 (c 0.83, CHCl3); IR (neat) νmax 3445, 2919, 1730, 1648, 1462, 1375, 1243, 1183 and 1043 cm−1; 1H and 13C NMR data, see Tables 1 and 2; ESIMS m/z 505 [M + Na]+; HRESIMS m/z 505.2775 [M + Na]+ (calcd for C26H42O8Na, 505.2777).
Krempfielin B (2): colorless oil; [α]D 25 −62.9 (c 0.35, CHCl3); IR (neat) νmax 3461, 2931, 1735, 1645, 1456, 1370, 1251, 1174 and 1046 cm−1; 1H and 13C NMR data, see Tables 1 and 2; ESIMS m/z 461 [M + Na]+; HRESIMS m/z 461.2881 [M + Na]+ (calcd for C25H42O6Na, 461.2879).
3.4. Cytotoxicity Testing
Cell lines were purchased from the American Type Culture Collection (ATCC). Cytotoxicity assays of compounds 1–6 were performed using the MTT [3-(4,5-dimethylthiazol-2-yl)-2,5-diphenyltetrazolium bromide] colorimetric method [18,19].
3.5. In Vitro Anti-Inflammatory Assay
Macrophage (RAW264.7) cell line was purchased from ATCC. In vitro anti-inflammatory activities of compounds 1–6 were measured by examining the inhibition of lipopolysaccharide (LPS) induced upregulation of iNOS (inducible nitric oxide synthetase) and COX-2 (cyclooxygenase-2) proteins in macrophages cells using western blotting analysis [20,21].
Acknowledgements
This work was supported by grants from the Ministry of Education (99C031702) and National Science Council of Taiwan (NSC 98-2113-M-110-002-MY3) awarded to J.-H. Sheu.
- Samples Availability: Not available.
References
- Sarma, NS; Chavakula, R; Rao, IN; Kadirvelraj, R; Row, TNG; Saito, I. Crystal and molecular structure of sclerophytin F methyl ether from the soft coral Cladiella krempfi. J. Nat. Prod 1993, 56, 1977–1980. [Google Scholar]
- Lan, W-J; Lin, C-W; Su, J-Y; Zeng, L-M. Two steroidal glycosides from the soft coral Cladiella krempfi. Chem. J. Chin. Univ 2003, 24, 2019–2021. [Google Scholar]
- Huang, X-P; Deng, Z-W; Ofwegen, LV; Li, J; Fu, H-Z; Zhu, X-B; Lin, W-H. Two new pregnane glycosides from soft coral Cladiella krempfi. J. Asian Nat. Prod. Res 2006, 8, 287–291. [Google Scholar]
- Huang, X-P; Deng, Z-W; Zhu, X-B; Ofwegen, LV; Proksch, P; Lin, W-H. Krempenes A–D: A series of unprecedented pregnane-type steroids from the marine soft coral Cladiella krempfi. Helv. Chim. Acta 2006, 89, 2020–2026. [Google Scholar]
- Wang, G-H; Sheu, J-H; Chiang, MY; Lee, T-J. Pachyclavulariaenones A–C, three novel diterpenoids from the soft coral Pachyclavularia violacea. Tetrahedron Lett 2001, 42, 2333–2336. [Google Scholar]
- Wang, G-H; Sheu, J-H; Duh, C-Y; Chiang, MY. Pachyclavulariaenones D–G, new diterpenoids from the soft coral Pachyclavularia violacea. J. Nat. Prod 2002, 65, 1475–1478. [Google Scholar]
- Ahmed, AF; Wu, M-H; Wang, G-H; Wu, Y-C; Sheu, J-H. Eunicellin-based diterpenoids, australins A–D, isolated from the soft coral Cladiella australis. J. Nat. Prod 2005, 68, 1051–1055. [Google Scholar]
- Chen, B-W; Chang, S-M; Huang, C-Y; Chao, C-H; Su, J-H; Wen, Z-H; Hsu, C-H; Dai, C-F; Wu, Y-C; Sheu, J-H. Hirsutalins A–H, eunicellin-based diterpenoids from the soft coral Cladiella hirsuta. J. Nat. Prod 2010, 73, 1785–1791. [Google Scholar]
- Su, J-H; Huang, H-C; Chao, C-H; Yan, L-Y; Wu, Y-C; Wu, C-C; Sheu, J-H. Vigulariol, a new metabolite from the sea pen Vigularia juncea. Bull. Chem. Soc. Jpn 2005, 78, 877–879. [Google Scholar]
- Wu, S-L; Su, J-H; Wen, Z-H; Hsu, C-H; Chen, B-W; Dai, C-F; Kuo, Y-H; Sheu, J-H. Simplexins A–I, eunicellin-based diterpenoids from the soft coral Klyxum simplex. J. Nat. Prod 2009, 72, 994–1000. [Google Scholar]
- Wu, S-L; Su, J-H; Lu, Y; Chen, B-W; Huang, C-Y; Wen, Z-H; Kuo, Y-H; Sheu, J-H. Simplexins J–O, eunicellin-based diterpenoids from a Dongsha Atoll soft coral Klyxum simplex. Bull. Chem. Soc. Jpn 2011, 84, 626–632. [Google Scholar]
- Chen, B-W; Wu, Y-C; Chiang, MY; Su, J-H; Wang, W-H; Fan, T-Y; Sheu, J-H. Eunicellin-based diterpenoids from the cultured soft coral Klyxum simplex. Tetrahedron 2009, 65, 7016–7022. [Google Scholar]
- Chen, B-W; Chao, C-H; Su, J-H; Wen, Z-H; Sung, P-J; Sheu, J-H. Anti-inflammatory eunicellin-based diterpenoids from the cultured soft coral Klyxum simplex. Org. Biomol. Chem 2010, 8, 2363–2366. [Google Scholar]
- Chen, B-W; Chao, C-H; Su, J-H; Tsai, C-W; Wang, W-H; Wen, Z-H; Huang, C-Y; Sung, P-J; Wu, Y-C; Sheu, J-H. Klysimplexins I–T, eunicellin-based diterpenoids from the cultured soft coral Klyxum simplex. Org. Biomol. Chem 2011, 9, 834–844. [Google Scholar]
- Chen, Y-H; Tai, C-Y; Su, Y-D; Chang, Y-C; Lu, M-C; Weng, C-F; Su, J-H; Hwang, T-L; Wu, Y-C; Sung, P-J. Discovery of new eunicellins from an Indonesian octocoral Cladiella sp. Mar. Drugs 2011, 9, 934–943. [Google Scholar]
- Miyamoto, T; Yamada, K; Ikeda, N; Komori, T; Higuchi, R. Bioactive terpenoids from octocorallia, I. Bioactive diterpenoids: Litophynols A and B from the mucus of the soft coral Litophyton sp. J. Nat. Prod 1994, 57, 1212–1219. [Google Scholar]
- Rao, CB; Rao, DS; Satyanarayana, C; Rao, DV; Kassühlke, KE; Faulkner, DJ. New cladiellane diterpenes from the soft coral Cladiella australis of the Andaman and Nicobar Islands. J. Nat. Prod 1994, 57, 574–580. [Google Scholar]
- Alley, MC; Scudiero, DA; Monks, A; Hursey, ML; Czerwinski, MJ; Fine, DL; Abbott, BJ; Mayo, JG; Shoemaker, RH; Boyd, MR. Feasibility of drug screening with panels of human tumor cell lines using a microculture tetrazolium assay. Cancer Res 1988, 48, 589–601. [Google Scholar]
- Scudiero, DA; Shoemaker, RH; Paull, KD; Monks, A; Tierney, S; Nofziger, TH; Currens, MJ; Seniff, D; Boyd, MR. Evaluation of a soluble tetrazolium/formazan assay for cell growth and drug sensitivity in culture using human and other tumor cell lines. Cancer Res 1988, 48, 4827–4833. [Google Scholar]
- Jean, Y-H; Chen, W-F; Sung, C-S; Duh, C-Y; Huang, S-Y; Lin, C-S; Tai, M-H; Tzeng, S-F; Wen, Z-H. Capnellene, a natural marine compound derived from soft coral, attenuates chronic constriction injury-induced neuropathic pain in rats. Br. J. Pharmacol 2009, 158, 713–725. [Google Scholar]
- Jean, Y-H; Chen, W-F; Duh, C-Y; Huang, S-Y; Hsu, C-H; Lin, C-S; Sung, C-S; Chen, I-M; Wen, Z-H. Inducible nitric oxide synthase and cyclooxygenase-2 participate in anti-inflammatory and analgesic effects of the natural marine compound lemnalol from Formosan soft coral Lemnalia cervicorni. Eur. J. Pharmacol 2008, 578, 323–331. [Google Scholar]
© 2011 by the authors; licensee MDPI, Basel, Switzerland This article is an open-access article distributed under the terms and conditions of the Creative Commons Attribution license (http://creativecommons.org/licenses/by/3.0/).



