Exposure Assessment of Multiple Mycotoxins and Cumulative Health Risk Assessment: A Biomonitoring-Based Study in the Yangtze River Delta, China
Abstract
1. Introduction
2. Results
2.1. Population Characteristics
2.2. Prevalence of Mycotoxins in Urine
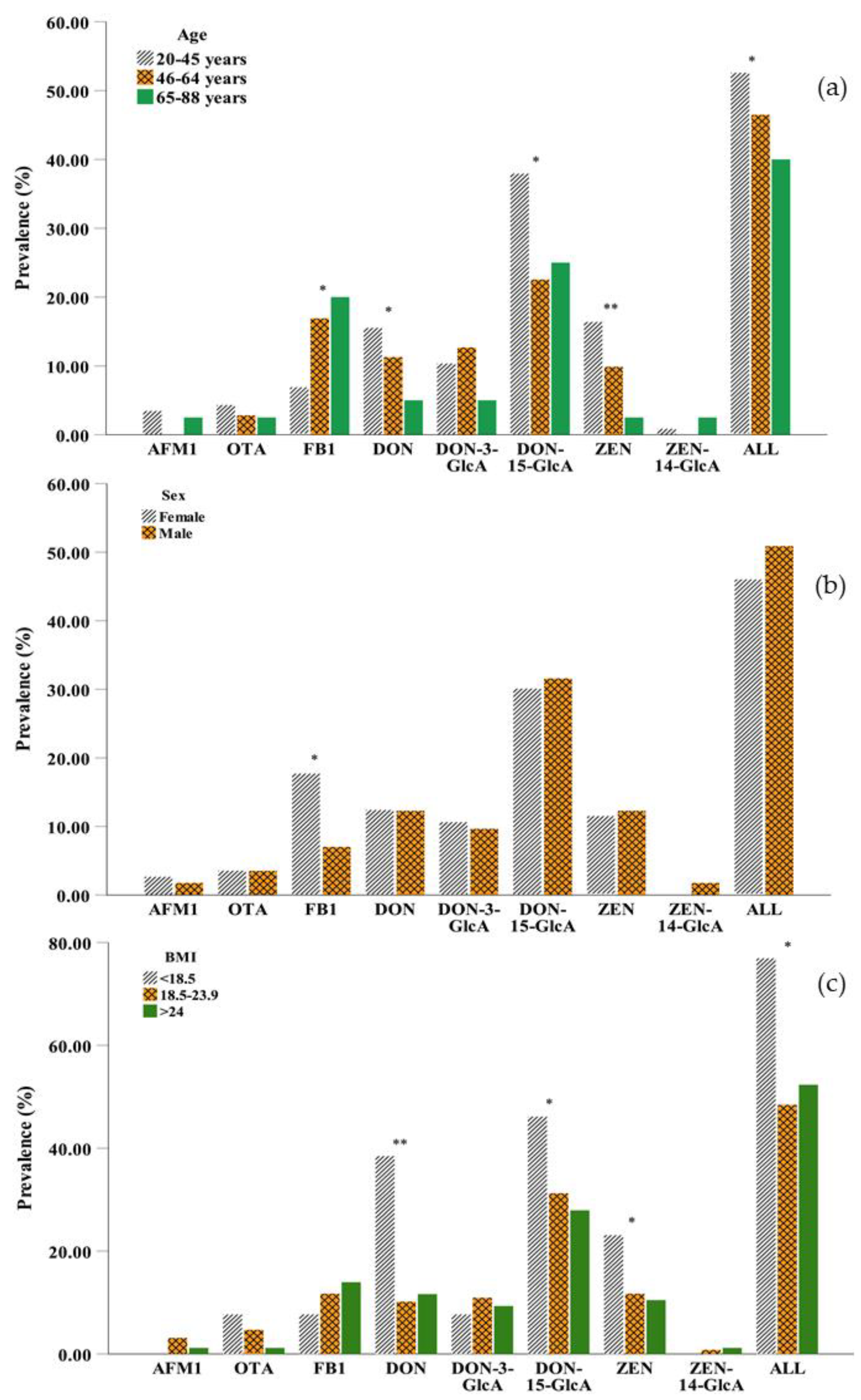
2.3. Differences by Residential Area, BMI and Demographic Variables
2.4. Correlation between Mycotoxins and Food Consumption
2.5. Risk Assessment of Single Mycotoxins
2.6. Cumulative Risk Assessment of Co-Occurring Mycotoxins
3. Conclusions
4. Materials and Methods
4.1. Reagents and Chemicals
4.2. Study Population
4.3. Urine Sample Preparation
4.4. Biomarker Analysis
4.5. Estimated Dietary Exposure of Mycotoxins
4.6. Risk Characterization
4.6.1. Risk Assessment of Single Mycotoxins
4.6.2. Cumulative Risk Assessment of Co-Occurring Mycotoxins
4.7. Statistical Analysis
Supplementary Materials
Author Contributions
Funding
Institutional Review Board Statement
Informed Consent Statement
Conflicts of Interest
References
- Goud, K.Y.; Kailasa, S.K.; Kumar, V.; Tsang, Y.F.; Lee, S.E.; Gobi, K.V.; Kim, K. Progress on nanostructured electrochemical sensors and their recognition elements for detection of mycotoxins: A review. Biosens. Bioelectron. 2018, 121, 205–222. [Google Scholar] [CrossRef]
- Yang, Y.; Li, G.; Wu, D.; Liu, J.; Li, X.; Luo, P.; Hu, N.; Wang, H.; Wu, Y. Recent advances on toxicity and determination methods of mycotoxins in foodstuffs. Trends Food Sci. Technol. 2020, 96, 233–252. [Google Scholar] [CrossRef]
- Commission Regulation 1881/2006. Commission Regulation (EC) No 1881/2006 of 19 December 2006 setting maximum levels for certain contaminants in foodstuffs. Off. J. Eur. Commun. 2006, L364, 5–24. Available online: https://data.europa.eu/eli/reg/2006/1881/oj (accessed on 20 May 2019).
- European Food Safety Authority (EFSA). Scientific opinion on the risks for public health related to the presence of zearalenone in food. EFSA J. 2011, 9, 2197. [Google Scholar] [CrossRef]
- European Food Safety Authority (EFSA). Risks to human and animal health related to the presence of deoxynivalenol and its acetylated and modified forms in food and feed. EFSA J. 2017, 15, 4718. [Google Scholar] [CrossRef]
- European Food Safety Authority (EFSA). Appropriateness to set a group health-based guidance value for fumonisins and their modified forms. EFSA J. 2018, 16, 5172. [Google Scholar] [CrossRef]
- European Food Safety Authority (EFSA). Risk assessment of aflatoxins in food. EFSA J. 2020, 18, 6040. [Google Scholar] [CrossRef]
- European Food Safety Authority (EFSA). Risk assessment of ochratoxin A in food. EFSA J. 2020, 18, 6113. [Google Scholar] [CrossRef]
- Slobodchikova, I.; Sivakumar, R.; Rahman, M.S.; Vuckovic, D. Characterization of Phase I and glucuronide Phase II metabolites of 17 mycotoxins using liquid chromatography-high-resolution mass spectrometry. Toxins 2019, 11, 433. [Google Scholar] [CrossRef]
- Chen, C.; Mitchell, N.J.; Gratz, J.; Houpt, E.R.; Gong, Y.; Egner, P.A.; Groopman, J.D.; Riley, R.T.; Showker, J.L.; Svensen, E.; et al. Exposure to aflatoxin and fumonisin in children at risk for growth impairment in rural Tanzania. Environ. Int. 2018, 115, 29–37. [Google Scholar] [CrossRef]
- De Ruyck, K.; Huybrechts, I.; Yang, S.; Arcella, D.; Claeys, L.; Abbeddou, S.; De Keyzer, W.; De Vries, J.; Ocke, M.; Ruprich, J.; et al. Mycotoxin exposure assessments in a multi-center European validation study by 24-hour dietary recall and biological fluid sampling. Environ. Int. 2020, 137, 105539. [Google Scholar] [CrossRef]
- Fan, K.; Xu, J.; Jiang, K.; Liu, X.; Meng, J.; Di Mavungu, J.D.; Guo, W.; Zhang, Z.; Jing, J.; Li, H.; et al. Determination of multiple mycotoxins in paired plasma and urine samples to assess human exposure in Nanjing, China. Environ. Pollut. 2019, 248, 865–873. [Google Scholar] [CrossRef]
- Jager, A.V.; Tonin, F.G.; Baptista, G.Z.; Souto, P.C.; Oliveira, C.A. Assessment of aflatoxin exposure using serum and urinary biomarkers in Sao Paulo, Brazil: A pilot study. Int. J. Hyg. Environ. Health 2016, 219, 294–300. [Google Scholar] [CrossRef]
- Warth, B.; Sulyok, M.; Berthiller, F.; Schuhmacher, R.; Krska, R. New insights into the human metabolism of the Fusarium mycotoxins deoxynivalenol and zearalenone. Toxicol. Lett. 2013, 220, 88–94. [Google Scholar] [CrossRef]
- Alassane-Kpembi, I.; Schatzmayr, G.; Taranu, I.; Marin, D.; Puel, O.; Oswald, I.P. Mycotoxins co-contamination: Methodological aspects and biological relevance of combined toxicity studies. Crit. Rev. Food Sci. Nutr. 2016, 57, 3489–3507. [Google Scholar] [CrossRef]
- Wielogorska, E.; Mooney, M.; Eskola, M.; Ezekiel, C.N.; Stranska, M.; Krska, R.; Elliott, C. Occurrence and human health impacts of mycotoxins in Somalia. J. Agric. Food Chem. 2019, 67, 2052–2060. [Google Scholar] [CrossRef]
- De Gavelle, E.; De Lauzon-Guillain, B.; Charles, M.; Chevrier, C.; Hulin, M.; Sirot, V.; Merlo, M.; Nougadère, A. Chronic dietary exposure to pesticide residues and associated risk in the French ELFE cohort of pregnant women. Environ. Int. 2016, 92–93, 533–542. [Google Scholar] [CrossRef]
- Garí, M.; Koch, H.M.; Pälmke, C.; Jankowska, A.; Wesołowska, E.; Hanke, W.; Nowak, D.; Bose-O’Reilly, S.; Polańska, K. Determinants of phthalate exposure and risk assessment in children from Poland. Environ. Int. 2019, 127, 742–753. [Google Scholar] [CrossRef]
- Fallahzadeh, R.A.; Khosravi, R.; Dehdashti, B.; Ghahramani, E.; Omidi, F.; Adli, A.; Miri, M. Spatial distribution variation and probabilistic risk assessment of exposure to chromium in ground water supplies; a case study in the east of Iran. Food Chem. Toxicol. 2018, 115, 260–266. [Google Scholar] [CrossRef]
- European Food Safety Authority (EFSA). International frameworks dealing with human risk assessment of combined exposure to multiple chemicals. EFSA J. 2013, 11, 1–69. [Google Scholar] [CrossRef]
- Heyndrickx, E.; Sioen, I.; Huybrechts, B.; Callebaut, A.; De Henauw, S.; De Saeger, S. Human biomonitoring of multiple mycotoxins in the Belgian population: Results of the BIOMYCO study. Environ. Int. 2015, 84, 82–89. [Google Scholar] [CrossRef]
- Martins, C.; Vidal, A.; De Boevre, M.; De Saeger, S.; Nunes, C.; Torres, D.; Goios, A.; Lopes, C.; Assunção, R.; Alvito, P. Exposure assessment of Portuguese population to multiple mycotoxins: The human biomonitoring approach. Int. J. Hyg. Environ. Health 2019, 222, 913–925. [Google Scholar] [CrossRef]
- Turner, P.C.; Rothwell, J.A.; White, K.L.; Gong, Y.; Cade, J.E.; Wild, C.P. Urinary deoxynivalenol is correlated with cereal intake in individuals from the United Kingdom. Environ. Health Perspect. 2008, 116, 21–25. [Google Scholar] [CrossRef]
- Wang, X.; Liang, J.; Cao, P.; Zhou, S.; Wu, A.; Gao, P.; Xu, H.; Liu, Z.; Gong, Y. Biomonitoring study of deoxynivalenol exposure in Chinese inhabitants. Int. J. Environ. Res. Public Health 2019, 16, 2169. [Google Scholar] [CrossRef]
- Li, R.; Wang, X.; Zhou, T.; Yang, D.; Wang, Q.; Zhou, Y. Occurrence of four mycotoxins in cereal and oil products in Yangtze Delta region of China and their food safety risks. Food Control 2014, 35, 117–122. [Google Scholar] [CrossRef]
- Njumbe Ediage, E.; Diana Di Mavungu, J.; Song, S.; Sioen, I.; De Saeger, S. Multimycotoxin analysis in urines to assess infant exposure: A case study in Cameroon. Environ. Int. 2013, 57–58, 50–59. [Google Scholar] [CrossRef]
- Franco, L.T.; Petta, T.; Rottinghaus, G.E.; Bordin, K.; Gomes, G.A.; Alvito, P.; Assunção, R.; Oliveira, C.A.F. Assessment of mycotoxin exposure and risk characterization using occurrence data in foods and urinary biomarkers in Brazil. Food Chem. Toxicol. 2019, 128, 21–34. [Google Scholar] [CrossRef]
- Ezekiel, C.N.; Warth, B.; Ogara, I.M.; Abia, W.A.; Ezekiel, V.C.; Atehnkeng, J.; Sulyok, M.; Turner, P.C.; Tayo, G.O.; Krska, R.; et al. Mycotoxin exposure in rural residents in northern Nigeria: A pilot study using multi-urinary biomarkers. Environ. Int. 2014, 66, 138–145. [Google Scholar] [CrossRef]
- Siti Husna, S.R.J.M. Association between urinary aflatoxin (AFM1) and dietary intake among adults in Hulu Langat District, Selangor, Malaysia. Nutrients 2018, 10, 460. [Google Scholar] [CrossRef]
- International Agency for Research on Cancer (IARC). Traditional herbal medicines, some mycotoxins, napthalene, and styrene. IARC Monogr. Eval. Carcinog. Risk Hum. 2002, 82, 1–556. [Google Scholar]
- Škrbić, B.; Živančev, J.; Antić, I.; Godula, M. Levels of aflatoxin M1 in different types of milk collected in Serbia: Assessment of human and animal exposure. Food Control 2014, 40, 113–119. [Google Scholar] [CrossRef]
- Ali, N.; Muñoz, K.; Degen, G.H. Ochratoxin A and its metabolites in urines of German adults—An assessment of variables in biomarker analysis. Toxicol. Lett. 2017, 275, 19–26. [Google Scholar] [CrossRef] [PubMed]
- Bellver Soto, J.; Fernández-Franzón, M.; Ruiz, M.; Juan-García, A. Presence of ochratoxin A (OTA) mycotoxin in alcoholic drinks from Southern European countries: Wine and beer. J. Agric. Food Chem. 2014, 62, 7643–7651. [Google Scholar] [CrossRef]
- Casal, S.; Vieira, T.; Cruz, R.; Cunha, S.C. Ochratoxin A in commercial soluble coffee and coffee substitutes. Food Res. Int. 2014, 61, 56–60. [Google Scholar] [CrossRef]
- Gerding, J.; Ali, N.; Schwartzbord, J. A comparative study of the human urinary mycotoxin excretion patterns in Bangladesh, Germany, and Haiti using a rapid and sensitive LC-MS/MS approach. Mycotoxin Res. 2015, 31, 127–136. [Google Scholar] [CrossRef] [PubMed]
- Soriano, J.M.; Dragacci, S. Occurrence of fumonisins in foods. Food Res. Int. 2004, 37, 985–1000. [Google Scholar] [CrossRef]
- Ali, N.; Degen, G.H. Biomonitoring of zearalenone and its main metabolites in urines of Bangladeshi adults. Food Chem. Toxicol. 2019, 130, 276–283. [Google Scholar] [CrossRef]
- Ali, N.; Degen, G.H. Urinary biomarkers of exposure to the mycoestrogen zearalenone and its modified forms in German adults. Arch. Toxicol. 2018, 92, 2691–2700. [Google Scholar] [CrossRef]
- Šarkanj, B.; Ezekiel, C.N.; Turner, P.C.; Abia, W.A.; Rychlik, M.; Krska, R.; Sulyok, M.; Warth, B. Ultra-sensitive, stable isotope assisted quantification of multiple urinary mycotoxin exposure biomarkers. Anal. Chim. Acta 2018, 1019, 84–92. [Google Scholar] [CrossRef]
- Ji, F.; Xu, J.; Liu, X.; Yin, X.; Shi, J. Natural occurrence of deoxynivalenol and zearalenone in wheat from Jiangsu province, China. Food Chem. 2014, 157, 393–397. [Google Scholar] [CrossRef]
- Van den Berg, M.M.; Hengsdijk, H.; Wolf, J.; Van Ittersum, M.K.; Guanghuo, W.; Roetter, R.P. The impact of increasing farm size and mechanization on rural income and rice production in Zhejiang province, China. Agr. Syst. 2007, 94, 841–850. [Google Scholar] [CrossRef]
- Giezenaar, C.; Chapman, I.; Luscombe-Marsh, N.; Feinle-Bisset, C.; Horowitz, M.; Soenen, S. Ageing is associated with decreases in appetite and energy intake: A meta-analysis in healthy adults. Nutrients 2016, 8, 28. [Google Scholar] [CrossRef] [PubMed]
- Silva, L.J.; Pena, A.; Lino, C.M.; Fernandez, M.F.; Manes, J. Fumonisins determination in urine by LC-MS-MS. Anal. Bioanal. Chem. 2010, 396, 809–816. [Google Scholar] [CrossRef] [PubMed]
- Schiebinger, L. Scientific research must take gender into account. Nature 2014, 507, 9. [Google Scholar] [CrossRef]
- Wahrlich, V.; Teixeira, T.M.; Anjos, L.A.D. Validity of a population-specific BMR predictive equation for adults from an urban tropical setting. Clin. Nutr. 2018, 37, 208–213. [Google Scholar] [CrossRef]
- Asghar, M.A.; Ahmed, A.; Zahir, E.; Asghar, M.A.; Iqbal, J.; Walker, G. Incidence of aflatoxins contamination in dry fruits and edible nuts collected from Pakistan. Food Control 2017, 78, 169–175. [Google Scholar] [CrossRef]
- Montagna, M.; Napoli, C.; De Giglio, O.; Iatta, R.; Barbuti, G. Occurrence of Aflatoxin M1 in Dairy Products in Southern Italy. Int. J. Mol. Sci. 2008, 9, 2614–2621. [Google Scholar] [CrossRef]
- Di Giuseppe, R.; Bertuzzi, T.; Rossi, F.; Rastelli, S.; Mulazzi, A.; Capraro, J.; de Curtis, A.; Iacoviello, L.; Pietri, A. Plasma ochratoxin A levels, food consumption, and risk biomarkers of a representative sample of men and women from the Molise region in Italy. Eur. J. Nutr. 2012, 51, 851–860. [Google Scholar] [CrossRef]
- Warensjö, L.E.; Montano, M.A.; Schmidt, J.; Cramer, B.; Humpf, H.; Moraeus, L.; Olsen, M. Mycotoxins in blood and urine of Swedish adolescents—Possible associations to food intake and other background characteristics. Mycotoxin Res. 2020, 36, 193–206. [Google Scholar] [CrossRef]
- Fan, K.; Cheng, X.; Guo, W.; Liu, X.; Zhang, Z.; Yao, Q.; Nie, D.; Yao, B.; Han, Z. Ochratoxin A in human blood plasma samples from apparently healthy volunteers in Nanjing, China. Mycotoxin Res. 2020. [Google Scholar] [CrossRef]
- Zhu, J.Q.; Zhang, L.S.; Hu, X.; Xiao, Y.; Chen, J.S.; Xu, Y.C.; Fremy, J.; Chu, F.S. Correlation of dietary aflatoxin B1 levels with excretion of aflatoxin M1 in human urine. Cancer Res. 1987, 47, 1848. [Google Scholar] [PubMed]
- Yang, X.; Yang, X.; Gao, J.; Liu, Q.; Yang, D. Co-occurrence of mycotoxins in maize and maize-derived food in China and estimation of dietary intake. Food Addit. Contam. B 2019, 12, 124–134. [Google Scholar] [CrossRef] [PubMed]
- Apel, P.; Kortenkamp, A.; Koch, H.M.; Vogel, N.; Rüther, M.; Kasper-Sonnenberg, M.; Conrad, A.; Brüning, T.; Kolossa-Gehring, M. Time course of phthalate cumulative risks to male developmental health over a 27-year period: Biomonitoring samples of the German Environmental Specimen Bank. Environ. Int. 2020, 137, 105467. [Google Scholar] [CrossRef] [PubMed]
- Demaegdt, H.; Daminet, B.; Evrard, A.; Scippo, M.; Muller, M.; Pussemier, L.; Callebaut, A.; Vandermeiren, K. Endocrine activity of mycotoxins and mycotoxin mixtures. Food Chem. Toxicol. 2016, 96, 107–116. [Google Scholar] [CrossRef] [PubMed]
- Wang, J.; Zhao, X.; Wang, Y.; Shi, Z. Tetrabromobisphenol A, hexabromocyclododecane isomers and polybrominated diphenyl ethers in foodstuffs from Beijing, China: Contamination levels, dietary exposure and risk assessment. Sci. Total Environ. 2019, 666, 812–820. [Google Scholar] [CrossRef]
- Hove, M.; Van Poucke, C.; Njumbe-Ediage, E.; Nyanga, L.K.; De Saeger, S. Review on the natural co-occurrence of AFB1 and FB1 in maize and the combined toxicity of AFB1 and FB1. Food Control 2016, 59, 675–682. [Google Scholar] [CrossRef]
- Theumer, M.G.; Cánepa, M.C.; López, A.G.; Mary, V.S.; Dambolena, J.S.; Rubinstein, H.R. Subchronic mycotoxicoses in Wistar rats: Assessment of the in vivo and in vitro genotoxicity induced by fumonisins and aflatoxin B1, and oxidative stress biomarkers status. Toxicology 2010, 268, 104–110. [Google Scholar] [CrossRef]
- Da, S.L.; Madureira, F.; de Azevedo, V.E.; Faria, A.F.; Augusti, R. Development and validation of a multianalyte method for quantification of mycotoxins and pesticides in rice using a simple dilute and shoot procedure and UHPLC-MS/MS. Food Chem. 2019, 270, 420–427. [Google Scholar] [CrossRef]
- Vidal, A.; Claeys, L.; Mengelers, M.; Vanhoorne, V.; Vervaet, C.; Huybrechts, B.; De Saeger, S.; De Boevre, M. Humans significantly metabolize and excrete the mycotoxin deoxynivalenol and its modified form deoxynivalenol-3-glucoside within 24 hours. Sci. Rep. 2018, 8, 8. [Google Scholar] [CrossRef]
- Wang, H.; Yang, J.; Yu, X.; Zhao, G.; Zhao, Q.; Wang, N.; Jiang, Y.; Jiang, F.; He, G.; Chen, Y.; et al. Exposure of adults to antibiotics in a Shanghai suburban area and health risk assessment: A biomonitoring-based study. Environ. Sci. Technol. 2018, 52, 13942–13950. [Google Scholar] [CrossRef]
- World Health Organization (WHO). Biological Monitoring of Chemical Exposure in the Workplace; World Health Organization: Geneva, Switzerland, 1996. [Google Scholar]
- Gerding, J.; Cramer, B.; Humpf, H.U. Determination of mycotoxin exposure in Germany using an LC-MS/MS multibiomarker approach. Mol. Nutr. Food Res. 2014, 58, 2358–2368. [Google Scholar] [CrossRef] [PubMed]
- Degen, G.H. Are we ready to estimate daily ochratoxin A intake based on urinary concentrations? Environ. Int. 2016, 97, 254–255. [Google Scholar] [CrossRef] [PubMed]
- Riley, R.T.; Torres, O.; Showker, J.L.; Zitomer, N.C.; Matute, J.; Voss, K.A.; Gelineau-van Waes, J.; Maddox, J.R.; Gregory, S.G.; Ashley-Koch, A.E. The kinetics of urinary fumonisin B1 excretion in humans consuming maize-based diets. Mol. Nutr. Food Res. 2012, 56, 1445–1455. [Google Scholar] [CrossRef] [PubMed]
- Turner, P.C.; White, K.L.M.; Burley, V.J.; Hopton, R.P.; Rajendram, A.; Fisher, J.; Cade, J.E.; Wild, C.P. A comparison of deoxynivalenol intake and urinary deoxynivalenol in UK adults. Biomarkers 2010, 15, 553–562. [Google Scholar] [CrossRef] [PubMed]
- Teuschler, L.K.; Hertzberg, R.C. Current and future risk assessment guidelines, policy and methods development for chemical mixtures. Toxicology 1995, 105, 137–144. [Google Scholar] [CrossRef]
- European Food Safety Authority (EFSA). Guidance on Default assumptions used by the EFSA Scientific Panels and Committee, and EFSA Units in the absence of actual measured data. EFSA J. 2011, 10, 2579. [Google Scholar]


| Mycotoxins | All (n = 227) | Jiangsu (n = 76) | Zhejiang (n = 76) | Shanghai (n = 75) | p-Value 1 |
|---|---|---|---|---|---|
| AFM1 | |||||
| n (prevalence, %) | 5 (2.20) | 1 (1.32) | 1 (1.32) | 3 (4.00) | |
| Mean ± SD 2 (ng mL−1) | 0.35 ± 0.17 | 0.10 | 0.43 | 0.41 ± 0.12 | 0.344 |
| Range (ng mL−1) | 0.10–0.55 | 0.10 | 0.43 | 0.31–0.55 | |
| Mean ± SD (ng mg−1 Cr) 3 | 0.23 ± 0.07 | 0.12 | 0.27 | 0.26 ± 0.04 | 0.344 |
| Range (ng mg−1 Cr) | 0.12–0.29 | 0.12 | 0.27 | 0.21–0.29 | |
| OTA | |||||
| n (prevalence, %) | 8 (3.52) | 2 (2.63) | 1 (1.32) | 5 (6.67) | |
| Mean ± SD (ng mL−1) | 0.14 ± 0.06 | 0.16 ± 0.08 | 0.16 | 0.13 ± 0.06 | 0.717 |
| Range (ng mL−1) | 0.05–0.22 | 0.11–0.22 | 0.16 | 0.05–0.21 | |
| Mean ± SD (ng mg−1 Cr) | 0.21 ± 0.12 | 0.14 ± 0.11 | 0.28 | 0.22 ± 0.12 | 0.699 |
| Range (ng mg−1 Cr) | 0.05–0.37 | 0.06–0.22 | 0.28 | 0.05–0.37 | |
| FB1 | |||||
| n (prevalence, %) | 28 (12.33) | 15 (19.74) | 10 (13.16) | 3 (4.00) | |
| Mean ± SD (ng mL−1) | 1.12 ± 0.40 | 1.18 ± 0.36 | 1.01 ± 0.35 | 1.17 ± 0.68 | 0.416 |
| Range (ng mL−1) | 0.51–1.96 | 0.51–1.76 | 0.51–1.68 | 0.75–1.96 | |
| Mean ± SD (ng mg−1 Cr) | 1.12 ± 0.74 | 0.88 ± 0.44 | 1.33 ± 0.98 | 1.56 ± 0.87 | 0.326 |
| Range (ng mg−1 Cr) | 0.30–3.34 | 0.30–1.82 | 0.37–3.34 | 0.57–2.20 | |
| DON | |||||
| n (prevalence, %) | 28 (12.33) | 10 (13.16) | 6 (7.89) | 12 (16.00) | |
| Mean ± SD (ng mL−1) | 1.79 ± 1.86 | 3.29 ± 2.39 | 1.63 ± 0.75 | 0.64 ± 0.34 | 0.000 * |
| Range (ng mL−1) | 0.50–8.61 | 0.50–8.61 | 1.09–3.00 | 0.50–1.56 | |
| Mean ± SD (ng mg−1 Cr) | 1.50 ± 2.19 | 3.17 ± 3.05 | 0.95 ± 0.34 | 0.38 ± 0.15 | 0.000 * |
| Range (ng mg−1 Cr) | 0.17–9.88 | 0.52–9.88 | 0.56–1.46 | 0.17–0.68 | |
| DON-3-GlcA | |||||
| n (prevalence, %) | 23 (10.13) | 10 (13.16) | 7 (9.21) | 6 (8.00) | 0.014 * |
| Mean ± SD (ng mL−1) | 1.15 ± 1.00 | 1.79 ± 1.23 | 0.60 ± 0.26 | 0.73 ± 0.35 | |
| Range (ng mL−1) | 0.50–4.20 | 0.50–4.20 | 0.50–1.18 | 0.50–1.23 | |
| Mean ± SD (ng mg−1 Cr) | 1.10 ± 1.43 | 1.89 ± 1.90 | 0.45 ± 0.37 | 0.56 ± 0.31 | 0.004* |
| Range (ng mg−1 Cr) | 0.20–6.99 | 0.53–6.99 | 0.20–1.22 | 0.32–1.18 | |
| DON-15-GlcA | |||||
| n (prevalence, %) | 69 (30.40) | 22 (28.95) | 19 (25.00) | 28 (37.33) | |
| Mean ± SD (ng mL−1) | 2.55 ± 4.68 | 5.09 ± 7.62 | 1.52 ± 1.47 | 1.26 ± 1.00 | 0.016* |
| Range (ng mL−1) | 0.50–35.00 | 0.50–35.00 | 0.50–6.50 | 0.50–3.39 | |
| Mean ± SD (ng mg−1 Cr) | 2.16 ± 3.50 | 4.43 ± 5.45 | 1.19 ± 1.11 | 1.04 ± 0.82 | 0.033* |
| Range (ng mg−1 Cr) | 0.17–20.77 | 0.30–20.77 | 0.22–3.79 | 0.17–3.53 | |
| ZEN | |||||
| n (prevalence, %) | 27 (11.89) | 19 (25.00) | 4 (5.26) | 4 (5.33) | |
| Mean ± SD (ng mL−1) | 0.97 ± 3.49 | 1.22 ± 4.16 | 0.40 ± 0.44 | 0.38 ± 0.56 | 0.868 |
| Range (ng mL−1) | 0.10–18.35 | 0.10–18.35 | 0.10–1.04 | 0.10–1.23 | |
| Mean ± SD (ng mg−1 Cr) | 0.65 ± 2.07 | 0.81 ± 2.46 | 0.22 ± 0.20 | 0.31 ± 0.27 | 0.771 |
| Range (ng mg−1 Cr) | 0.03–10.93 | 0.04–10.93 | 0.03–0.51 | 0.04–0.68 | |
| ZEN-14-GlcA | |||||
| n (prevalence, %) | 2 (0.88) | - | 1 (1.32) | 1 (1.33) | |
| Mean ± SD (ng mL−1) | 0.69 ± 0.62 | - | 1.13 | 0.25 | 0.317 |
| Range (ng mL−1) | 0.25–1.13 | - | 1.13 | 0.25 | |
| Mean ± SD (ng mg−1 Cr) | 0.37 ± 0.18 | - | 0.50 | 0.24 | 0.317 |
| Range (ng mg−1 Cr) | 0.24–0.50 | - | 0.50 | 0.24 |
| Foods | AFM1 | OTA | FB1 | DON 1 | ZEN | |||||
|---|---|---|---|---|---|---|---|---|---|---|
| rs | p | rs | p | rs | p | rs | p | rs | p | |
| Wheat | 0.224 | 0.718 | 0.309 | 0.457 | −0.355 | 0.064 | −0.125 | 0.292 | 0.095 | 0.638 |
| Maize | - | - | −0.247 | 0.555 | 0.192 | 0.328 | 0.057 | 0.631 | −0.119 | 0.554 |
| Rice | −0.053 | 0.933 | −0.126 | 0.766 | −0.111 | 0.573 | −0.074 | 0.536 | 0.290 | 0.142 |
| Vegetables and fruit | −0.154 | 0.805 | −0.247 | 0.555 | −0.191 | 0.331 | −0.106 | 0.374 | −0.089 | 0.660 |
| Meat | 0.000 | 1.000 | −0.179 | 0.672 | 0.191 | 0.332 | 0.067 | 0.574 | 0.151 | 0.451 |
| Nuts and seeds | 0.866 | 0.058 | 0.109 | 0.797 | −0.198 | 0.312 | −0.178 | 0.132 | 0.127 | 0.529 |
| Milk and dairy produce | 0.289 | 0.638 | −0.275 | 0.510 | 0.362 | 0.058 | −0.067 | 0.576 | −0.206 | 0.304 |
| Beverages, coffee and tea | −0.224 | 0.718 | 0.778 | 0.023 *2 | 0.003 | 0.990 | 0.186 | 0.116 | 0.153 | 0.447 |
| Biomarker | Model | Mean PDI 1 | N (%) 2 | Median | P95 | Max | |
|---|---|---|---|---|---|---|---|
| AFB1 | AFM1 | MOE | 0.62 | 2.20 | 0.67 | 2.14 | 2.50 |
| OTA | OTA | MOE | 0.14 | 3.52 | 110.31 | 217.05 | 270.67 |
| FB1 | FB1 | HQ | 5.51 | 12.33 | 5.24 | 8.58 | 10.5 |
| DON | DON+DON-3-GlcA+DON-15-GlcA | HQ | 0.08 | 0 | 0.03 | 0.28 | 0.85 |
| ZEN | ZEN | HQ | 0.20 | 0.88 | 0.13 | 1.18 | 13.78 |
| Group | Mycotoxin | Toxicological Effect | MOE/HQ | ||
|---|---|---|---|---|---|
| Mean | Max | N(n) 1 | |||
| 1 | AFB1 | hepatotoxicity | 0.61 | 0.67 | 2 (2) |
| FB1 | hepatotoxicity | 19.46 | 20.98 | - | |
| MOET 2 | hepatotoxicity | 0.59 | 0.65 | 2 (2) | |
| 2 | DON | male reproductive | 0.02 | 0.04 | 0 (12) |
| ZEN | estrogenic | 0.37 | 0.99 | 0 (12) | |
| HI 3 | endocrine effect | 0.39 | 1.02 | 2 (12) | |
Publisher’s Note: MDPI stays neutral with regard to jurisdictional claims in published maps and institutional affiliations. |
© 2021 by the authors. Licensee MDPI, Basel, Switzerland. This article is an open access article distributed under the terms and conditions of the Creative Commons Attribution (CC BY) license (http://creativecommons.org/licenses/by/4.0/).
Share and Cite
Huang, Q.; Jiang, K.; Tang, Z.; Fan, K.; Meng, J.; Nie, D.; Zhao, Z.; Wu, Y.; Han, Z. Exposure Assessment of Multiple Mycotoxins and Cumulative Health Risk Assessment: A Biomonitoring-Based Study in the Yangtze River Delta, China. Toxins 2021, 13, 103. https://doi.org/10.3390/toxins13020103
Huang Q, Jiang K, Tang Z, Fan K, Meng J, Nie D, Zhao Z, Wu Y, Han Z. Exposure Assessment of Multiple Mycotoxins and Cumulative Health Risk Assessment: A Biomonitoring-Based Study in the Yangtze River Delta, China. Toxins. 2021; 13(2):103. https://doi.org/10.3390/toxins13020103
Chicago/Turabian StyleHuang, Qingwen, Keqiu Jiang, Zhanmin Tang, Kai Fan, Jiajia Meng, Dongxia Nie, Zhihui Zhao, Yongjiang Wu, and Zheng Han. 2021. "Exposure Assessment of Multiple Mycotoxins and Cumulative Health Risk Assessment: A Biomonitoring-Based Study in the Yangtze River Delta, China" Toxins 13, no. 2: 103. https://doi.org/10.3390/toxins13020103
APA StyleHuang, Q., Jiang, K., Tang, Z., Fan, K., Meng, J., Nie, D., Zhao, Z., Wu, Y., & Han, Z. (2021). Exposure Assessment of Multiple Mycotoxins and Cumulative Health Risk Assessment: A Biomonitoring-Based Study in the Yangtze River Delta, China. Toxins, 13(2), 103. https://doi.org/10.3390/toxins13020103

