The Effect of Botanical Pesticides Azadirachtin, Celangulin, and Veratramine Exposure on an Invertebrate Species Solenopsis invicta (Hymenoptera: Formicidae)
Abstract
1. Introduction
2. Results
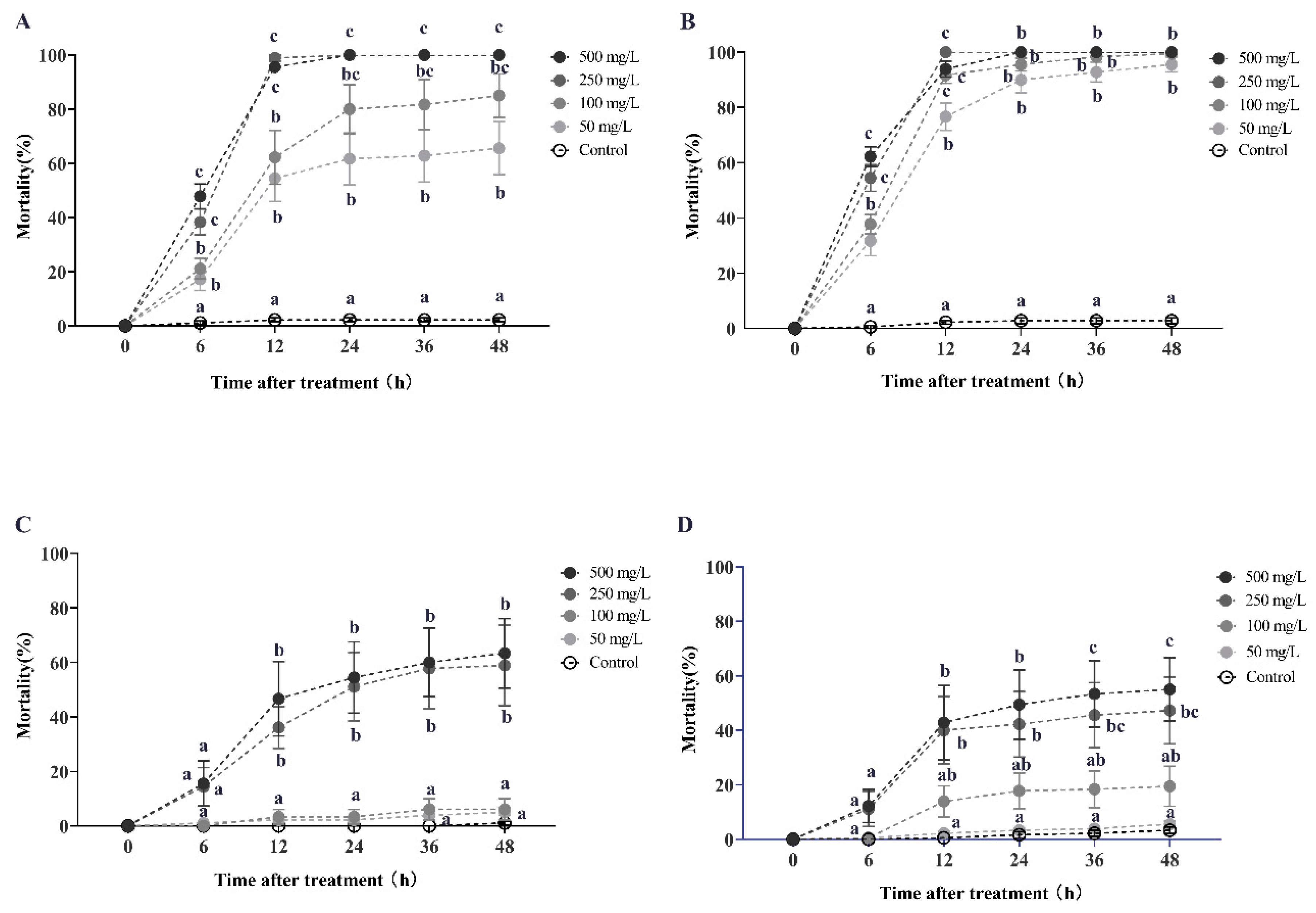
2.1. Contact Toxicity of Azadirachtin, Celangulin, and Veratramine on Workers
2.2. Knockdown Time of Azadirachtin, Celangulin, and Veratramine on Workers
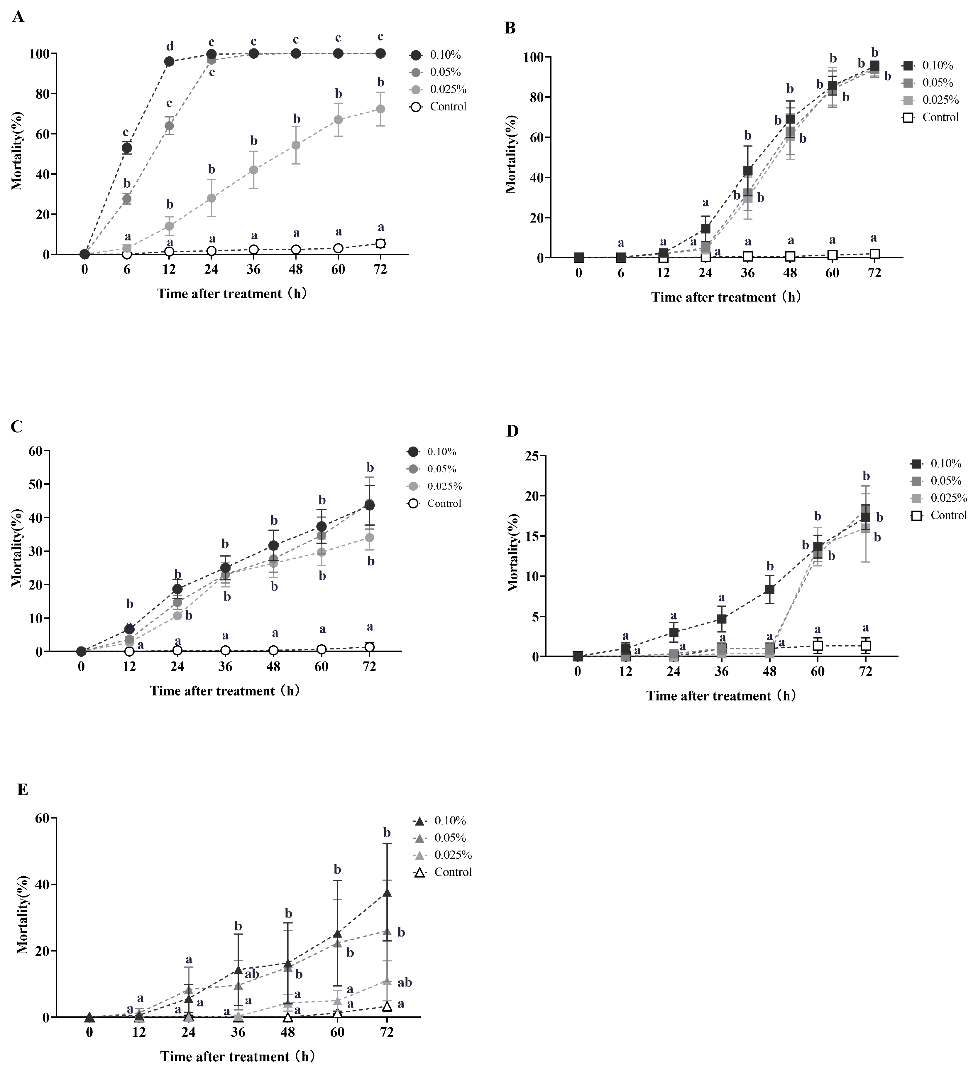
2.3. Effect of Soil Contaminated with Azadirachtin, Celangulin, and Veratramine on Workers
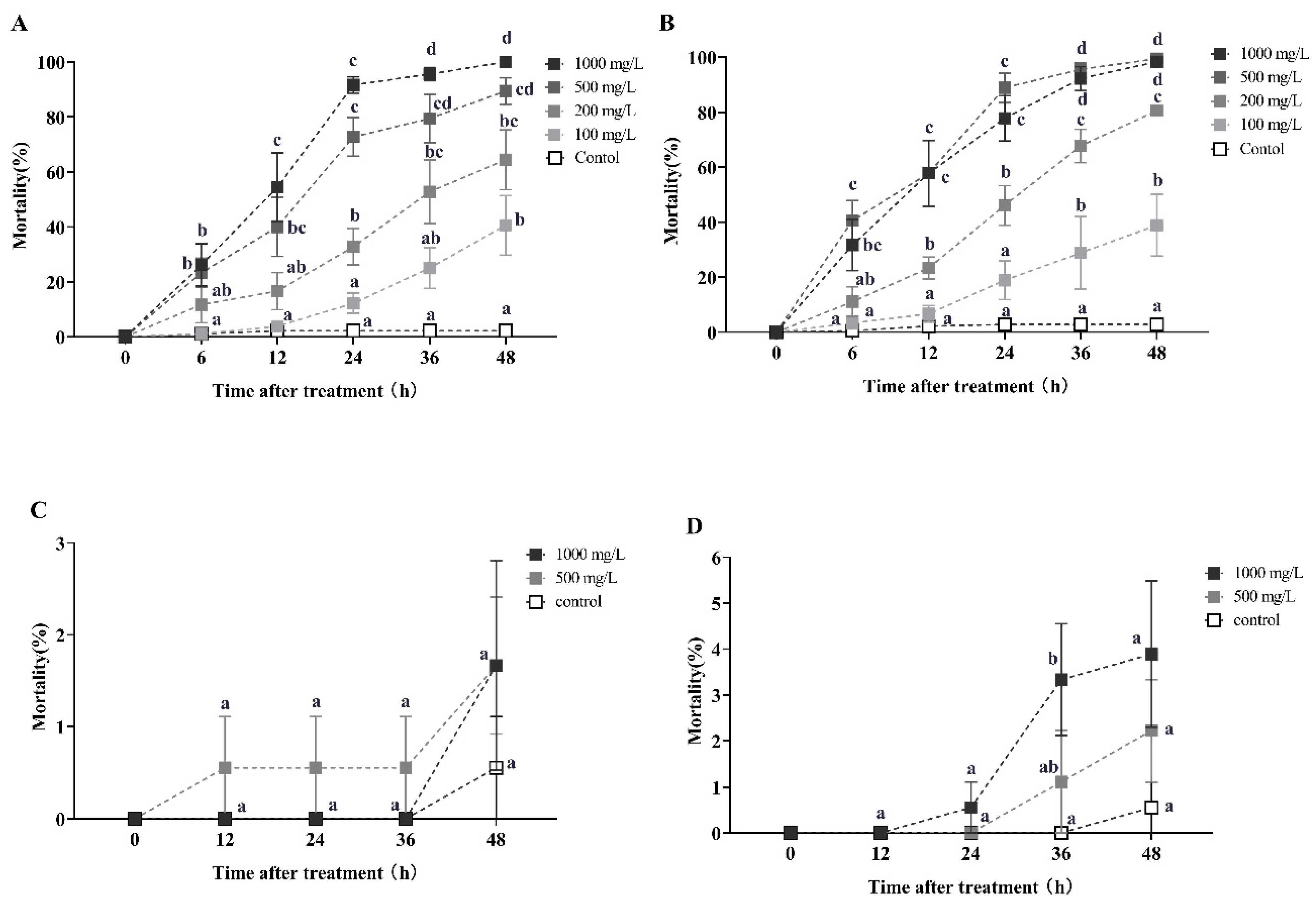
2.4. Horizontal Toxicity Transfer of Azadirachtin, Celangulin, and Veratramine on Workers
2.5. Horizontal Toxicity Transfer of Azadirachtin, Celangulin, and Veratramine Dust on Workers
3. Discussion
4. Conclusions
5. Materials and Methods
5.1. Insects and Experimental Materials
5.2. Contact Toxicity of Azadirachtin, Celangulin, and Veratramine on Workers
5.3. Knockdown Efficiency of Azadirachtin, Celangulin, Veratramine on Workers
5.4. Effect of Soil Contaminated with Azadirachtin, Celangulin, and Veratramine on Workers
5.5. Horizontal Toxicity Transfer of Azadirachtin, Celangulin, Veratramine on Workers
5.6. Data Analysis
Author Contributions
Funding
Institutional Review Board Statement
Informed Consent Statement
Data Availability Statement
Conflicts of Interest
Appendix A
| Pesticides | Concentration (μg/g) | Numbers of Workers | Regression Equation (1) | LT25 (95% CI) (h) | LT50 (95% CI) (h) | LT95 (95% CI) (h) | Standard Error | χ2 | df | p-Value |
|---|---|---|---|---|---|---|---|---|---|---|
| Azadirachtin | 8 | 180 | Y = 6.054 X − 10.081 | 35.790 (31.574~39.325) | 46.256 (42.438~49.963) | 86.469 (77.240~101.228) | 0.277 | 254.547 | 52 | <0.0001 |
| 4 | 180 | Y = 2.925 X − 5.573 | 47.247 (37.105~56.232) | 80.341 (67.077~106.253) | 293.234 (185.417~768.755) | 0.188 | 425.508 | 52 | <0.0001 | |
| 2 | 180 | Y = 1.044 X − 3.254 | 295.386 (159.397~1568.522) | 1307.327 (445.387~*) | * | 0.182 | 99.323 | 52 | <0.0001 | |
| Celangulin | 8 | 180 | Y = 5.183 X − 7.852 | 24.258 (22.685~25.718) | 32.734 (31.212~34.213) | 67.979 (63.988~72.890) | 0.245 | 60.718 | 52 | 0.191 |
| 4 | 180 | Y = 3.797 X − 6.071 | 26.395 (22.195~30.063) | 39.736 (35.525~43.891) | 107.753 (91.745~134.662) | 0.176 | 215.904 | 52 | <0.0001 | |
| 1.6 | 180 | Y = 1.229 X − 3.580 | 230.605 (157.730~463.469) | 815.608 (418.612~2896.902) | * | 0.199 | 27.145 | 52 | 0.998 | |
| veratramine | 200 | 180 | Y = 2.811 X − 6.140 | 88.030 (65.095~181.985) | 152.972 (103.897~1220.205) | 588.644 (237.458~*) | 0.246 | 1009.721 | 58 | <0.0001 |
| 100 | 180 | Y = 1.830 X − 5.191 | 293.922 (159.568~*) | 686.814 (266.745~*) | * | 0.366 | 180.105 | 58 | <0.0001 |
| Pesticides | Donor–Recipient Workers Ratio | Concentration (mg/L) | Numbers of Workers | Regression Equation (1) | LT25 (95% CI) (h) | LT50 (95% CI) (h) | LT95 (95% CI) (h) | Standard Error | χ2 | df | p-Value |
|---|---|---|---|---|---|---|---|---|---|---|---|
| Azadirachtin | 1:10 | 500 | 180 | Y = 5.850 X − 4.611 | 4.708 (4.146~5.157) | 6.139 (5.678~6.551) | 11.729 (10.597~13.544) | 0.606 | 16.369 | 28 | 0.960 |
| 250 | 180 | Y = 6.387 X − 5.211 | 5.131 (4.638~5.534) | 6.544 (6.134~6.939) | 11.841 (10.716~13.628) | 0.636 | 16.447 | 28 | 0.959 | ||
| 100 | 180 | Y = 1.981 X − 2.087 | 5.164 (1.934~8.122) | 11.310 (6.791~15.514) | 76.532 (46.132~236.895) | 0.145 | 218.230 | 28 | <0.0001 | ||
| 50 | 180 | Y = 1.292 X − 1.618 | 5.374 (1.057~9.449) | 17.882 (10.615~27.400) | 335.538 (119.534~9051.041) | 0.135 | 174.437 | 28 | <0.0001 | ||
| 1:5 | 500 | 180 | Y = 4.317 X − 3.059 | 3.568 (2.797~4.182) | 5.113 (4.406~5.680) | 12.294 (10.901~14.666) | 0.511 | 19.901 | 28 | 0.868 | |
| 250 | 180 | Y = 6.024 X − 4.538 | 4.378 (3.733~4.854) | 5.666 (5.171~6.071) | 10.624 (9.535~12.572) | 0.763 | 13.325 | 28 | 0.991 | ||
| 100 | 180 | Y = 3.384 X − 2.771 | 4.164 (2.698~5.391) | 6.589 (5.004~7.972) | 20.177 (16.106~28.980) | 0.254 | 106.407 | 28 | <0.0001 | ||
| 50 | 180 | Y = 2.451 X − 2.200 | 4.193 (2.522~5.742) | 7.092 (5.778~9.846) | 37.067 (28.264~56.641) | 0.170 | 102.547 | 28 | <0.0001 | ||
| Celangulin | 1: 10 | 1000 | 180 | Y = 3.331 X − 3.333 | 6.282 (4.590~7.772) | 10.013 (8.154~11.848) | 31.213 (24.772~44.276) | 0.198 | 120.982 | 28 | <0.0001 |
| 500 | 180 | Y = 2.190 X − 2.503 | 5.839 (4.006~9.362) | 13.900 (10.370~17.515) | 78.374 (52.267~162.800) | 0.148 | 148.057 | 28 | <0.0001 | ||
| 200 | 180 | Y = 1.831 X − 2.813 | 14.741 (8.543~20.204) | 34.435 (25.214~57.636) | 272.635 (121.368~2161.620) | 0.153 | 193.586 | 28 | <0.0001 | ||
| 100 | 180 | Y = 2.438 X − 4.420 | 34.358 (27.642~44.778) | 64.961 (48.730~119.402) | 307.087 (151.841~1669.586) | 0.252 | 110.416 | 28 | <0.0001 | ||
| 1: 5 | 1000 | 180 | Y = 2.488 X − 2.475 | 5.295 (2.939~7.392) | 9.886 (6.988~12.599) | 45.315 (32.263~82.795) | 0.163 | 166.706 | 28 | <0.0001 | |
| 500 | 180 | Y = 2.654 X − 2.449 | 4.661 (2.817~6.308) | 8.369 (6.150~10.405) | 34.872 (26.266~55.458) | 0.179 | 127.411 | 28 | <0.0001 | ||
| 200 | 180 | Y = 2.329 X − 3.178 | 11.877 (9.177~14.324) | 23.135 (19.697~17.338) | 117.601 (83.002~202.065) | 0.156 | 80.696 | 28 | <0.0001 | ||
| 100 | 180 | Y = 1.823 X − 3.381 | 30.499 (21.404~47.992) | 71.484 (46.099~249.272) | 570.578 (188.998~*) | 0.194 | 172.852 | 28 | <0.0001 | ||
| Veratramine | 1: 5 | 500 | 180 | Y = 2.603 X − 5.408 | 65.907 (49.526~171.041) | 119.699 (74.052~728.873) | 512.977 (187.419~*) | 0.489 | 67.159 | 28 | <0.0001 |
| 250 | 180 | Y = 2.358 X − 5.036 | 70.701 (48.958~463.588) | 136.587 (74.325~4712.848) | 680.498 (193.043~*) | 0.451 | 94.576 | 28 | <0.0001 |
| Pesticides | Donor–Recipient Workers Ratio | Concentration (mg/L) | Numbers of Workers | Regression Equation (1) | LT25 (95% CI) (h) | LT50 (95% CI) (h) | LT95 (95% CI) (h) | Standard Error | χ2 | df | p-Value |
|---|---|---|---|---|---|---|---|---|---|---|---|
| Azadirachtin | 1:10 | 500 | 180 | Y = 1.328 X − 1.783 | 6.834 (0.420~12.660) | 22.012 (11.347~48.572) | 381.461 (107.220~ *) | 0.137 | 311.337 | 28 | <0.0001 |
| 250 | 180 | Y = 1.246 X − 1.829 | 8.453 (0.684~14.924) | 29.403 (17.232~109.090) | 614.665 (140.090~ *) | 0.142 | 259.372 | 28 | <0.0001 | ||
| 1:5 | 500 | 180 | Y = 1.218 X − 1.787 | 8.190 (0.467~14.821) | 29.311 (16.763~111.454) | 656.849 (144.570~ *) | 0.138 | 281.841 | 28 | <0.0001 | |
| 250 | 180 | Y = 1.024 X − 1.675 | 9.477 (0.033~18.017) | 43.169 (23.041~5991.40) | 1742.010 (214.271~ *) | 0.139 | 272.476 | 28 | <0.0001 |
| Pesticides | Donor–Recipient Workers Ratio | Concentration | Numbers of Workers | Regression Equation (1) | LT25 (95% CI) (h) | LT50 (95% CI) (h) | LT95 (95% CI) (h) | Standard Error | χ2 | df | p-Value |
|---|---|---|---|---|---|---|---|---|---|---|---|
| Azadirachtin | 1:10 | 0.10% | 300 | Y = 5.203 X − 3.960 | 4.281 (3.799~4.683) | 5.769 (5.361~6.130) | 11.947 (10.957~13.392) | 0.436 | 42.549 | 40 | 0.362 |
| 0.05% | 300 | Y = 4.012 X − 3.814 | 6.061 (5.572~6.521) | 8.926 (8.407~9.442) | 22.941 (21.082~25.317) | 0.197 | 34.073 | 40 | 0.733 | ||
| 0.25% | 300 | Y = 2.237 X − 3.608 | 20.480 (15.402~25.023) | 41.007 (34.029~50.118) | 222.950 (146.464~451.283) | 0.106 | 310.347 | 40 | <0.0001 | ||
| Celangulin | 1:10 | 0.10% | 300 | Y = 5.062 X − 7.964 | 27.544 (23.732~30.717) | 37.435 (33.943~40.900) | 79.107 (68.614~97.342) | 0.211 | 267.649 | 40 | <0.0001 |
| 0.05% | 300 | Y = 5.762 X − 9.329 | 31.769 (26.781~35.684) | 41.596 (37.237~46.006) | 80.263 (68.566~103.721) | 0.243 | 421.620 | 40 | <0.0001 | ||
| 0.25% | 300 | Y = 5.745 X − 9.325 | 32.034 * | 41.977 * | 81.155 * | 0.239 | 33,593.762 | 40 | <0.0001 | ||
| veratramine | 1:10 | 0.10% | 300 | Y = 1.886 X − 4.231 | 76.925 (58.661~139.229) | 175.298 (108.051~648.344) | 1306.511 (429.367~*) | 0.184 | 240.621 | 40 | <0.0001 |
| Pesticides | Donor–Recipient Workers Ratio | Concentration | Numbers of Workers | Regression Equation (1) | LT25 (95% CI) (h) | LT50 (95% CI) (h) | LT95 (95% CI) (h) | Standard Error | χ2 | df | p-Value |
|---|---|---|---|---|---|---|---|---|---|---|---|
| Azadirachtin | 1:10 | 0.10% | 300 | Y = 1.641 X − 3.221 | 35.624 (30.429~40.838) | 91.773 (74.724~126.388) | 922.427 (481.641~2756.992) | 0.143 | 72.877 | 34 | <0.0001 |
| 0.05% | 300 | Y = 1.956 X − 3.822 | 40.660 (35.470~46.229) | 89.958 (74.464~120.487) | 623.843 (357.659~1582.785) | 0.157 | 84.158 | 34 | <0.0001 | ||
| 0.25% | 300 | Y = 1.823 X − 3.734 | 47.668 (42.561~53.932) | 111.736 (91.078~152.414) | 892.078 (501.760~2228.251) | 0.163 | 54.778 | 34 | 0.013 |
References
- Ayilara, M.; Adeleke, B.; Akinola, S.; Fayose, C.A.; Adeyemi, U.; Gbadegesin, L.; Omole, R.; Johnson, R.; Uthman, Q.; Babalola, O. Biopesticides as a Promising Alternative to Synthetic Pesticides: A Case for Microbial Pesticides, Phytopesticides, and Nanobiopesticides. Front. Microbiol. 2023, 14, 1040901. [Google Scholar] [CrossRef] [PubMed]
- Guleria, S.; Tiku, A.K. Botanicals in Pest Management: Current Status and Future Perspectives. In Integrated Pest Management: Innovation-Development Process; Springer: Cham, Switzerland, 2009; Volume 1, pp. 317–329. ISBN 978-1-4020-8991-6. [Google Scholar]
- Lengai, G.M.W.; Muthomi, J.W.; Mbega, E.R. Phytochemical Activity and Role of Botanical Pesticides in Pest Management for Sustainable Agricultural Crop Production. Sci. Afr. 2020, 7, e00239. [Google Scholar] [CrossRef]
- Sande, D.; Mullen, J.; Wetzstein, M.; Houston, J. Environmental Impacts from Pesticide Use: A Case Study of Soil Fumigation in Florida Tomato Production. Int. J. Environ. Res. Public Health 2011, 8, 4649–4661. [Google Scholar] [CrossRef] [PubMed]
- Wimalawansa, S.; Wimalawansa, S. Agrochemical-Related Environmental Pollution: Effects on Human Health. Glob. J. Biol. Agric. Health Sci. 2014, 3, 72–83. [Google Scholar]
- Tan, L.; Luo, W.; Yang, B.; Huang, M.; Shuai, S.; Cheng, C.; Zhou, X.; Li, M.; Hu, C. Evaluation of Landscape Ecological Risk in Key Ecological Functional Zone of South–to–North Water Diversion Project, China. Ecol. Indic. 2023, 147, 109934. (In Chinese) [Google Scholar] [CrossRef]
- Chen, J.; Oi, D.H. Naturally Occurring Compounds/Materials as Alternatives to Synthetic Chemical Insecticides for Use in Fire Ant Management. Insects 2020, 11, 758. [Google Scholar] [CrossRef]
- Cheng, X.S.; Zhao, P.; Yong, Y.U. Natural Insecticidal Pyrethrum. Pesticides 2005, 9, 10–13. (In Chinese) [Google Scholar]
- Wu, W.; Ji, Z.; Hu, Z. Natural Products and Digestive Poisons. Pesticides 1997, 36, 6–9. (In Chinese) [Google Scholar]
- Barbosa, W.; Guedes, R.N.; Smagghe, G. Lethal and Sublethal Effects of Azadirachtin on the Bumblebee Bombus terrestris (Hymenoptera: Apidae). Ecotoxicology 2014, 24, 130–142. [Google Scholar] [CrossRef]
- Lin, S.; Li, S.; Liu, Z.; Zhang, L.; Wu, H.; Cheng, D.; Zhang, Z. Using Azadirachtin to Transform Spodoptera frugiperda from Pest to Natural Enemy. Toxins 2021, 13, 541. [Google Scholar] [CrossRef]
- Dao-Huy, T.; Dao, V.; Vu, H.; Le Dang, Q.; Lam, T. Application of Botanical Pesticides in Organic Agriculture Production: Potential and Challenges. Vietnam J. Sci. Technol. 2021, 59, 679–701. [Google Scholar] [CrossRef]
- Lin, S.; Wang, R.; Zhang, Y.; Wu, J.; Cheng, D.; Zhang, Z. Indoor Toxicity of Azadirachtin to Spodoptera frugiperda and Its Control Effect in Field. J. S. China Agric. Univ. 2020, 41, 22–27. [Google Scholar] [CrossRef]
- Dai, J.; Huang, Z.; Jiawei, D. Bioactivity of Azadirachtin and Its Field Efficiency against Spodoptera litura. Chin. J. Appl. Ecol. 2005, 16, 1095–1098. [Google Scholar]
- Taffar, A.; Samira, Y.-T.; Bendjedid, H.; Soltani, N. Evaluation of Azadirachtin, a Biopesticides, on Growth, Development and Cuticle Secretion of Mediterranean Flour Moth, Ephestia kuehniella Zeller. J. Entomol. Res. 2021, 45, 436–443. [Google Scholar] [CrossRef]
- Tomé, H.V.V.; Martins, J.; Corrêa, A.; Galdino, T.; Picanço, M.; Guedes, R.N. Azadirachtin Avoidance by Larvae and Adult Females of the Tomato Leafminer Tuta absoluta. Crop Prot. 2013, 46, 63–69. [Google Scholar] [CrossRef]
- Gandhi, P.; Gunasekaran, K.; Sa, T. Neem Oil as a Potential Seed Dresser for Managing Homopterous Sucking Pests of Okra (Abelmoschus esculentus (L.) Moench). J. Pest Sci. 2006, 79, 103–111. [Google Scholar] [CrossRef]
- Kekan, A.; Gurav, S.; Sanap, P.; Panchare, A. Efficacy of Different Biopesticides against Sucking Pests Infesting Okra (Abelmoschus Esculentus L. Moench). Int. J. Precious Pharm. Res. Appl. 2022, 7, 486–489. [Google Scholar] [CrossRef]
- Kumar, P.; Singh, D.V.; Sachan, S.; Singh, G.; Singh, G.; Prasad, Y. Efficacy of Insecticide and Biopesticids Against Aphids (Aphis gossypii G.) on Okra (Abelmoschus esculentus L. Moench) Crop. Ann. Hortic. 2015, 8, 190–193. [Google Scholar] [CrossRef]
- Qi, Z.; Shi, B.; Hu, Z.; Zhang, Y.; Wu, W. Ultrastructural Effects of Celangulin V on Midgut Cells of the Oriental Armyworm, Mythimna separata Walker (Lepidoptera: Noctuidae). Ecotoxicol. Environ. Saf. 2011, 74, 439–444. [Google Scholar] [CrossRef]
- Li, Y.; Lian, X.; Wan, Y.; Wang, D.; Chen, W.; Di, F.; Wu, W.; Li, Z. Modulation of the Ca2+ Signaling Pathway by Celangulin I in the Central Neurons of Spodoptera exigua. Pestic. Biochem. Physiol. 2016, 127, 76–81. [Google Scholar] [CrossRef]
- Wakabayashi, N.; Wu, W.; Waters, R.; Redfern, R.; Mills, G.; DeMilo, A.; Lusby, W.; Andrzejewski, D. Celangulin: A Nonalkaloidal Insect Antifeedant from Chinese Bittersweet, Celastrus angulatus. J. Nat. Prod. 1988, 51, 537–542. [Google Scholar] [CrossRef]
- Zhang, J.; Hu, Z.; Li, S.; Wu, W. Synthesis and Insecticidal Activities of New Ester-Derivatives of Celangulin-V. Int. J. Mol. Sci. 2011, 12, 9596–9604. [Google Scholar] [CrossRef] [PubMed]
- Wu, W.; Hu, Z.; Liu, H.; Qi, Z. Insecticidal Mechanisms of the Major Active Components from the Chinese Bittersweet, (Celastrus angulatus) and Their Application. Acta Entomol. Sin. 2005, 48, 770–777. (In Chinese) [Google Scholar]
- Huang, Y.; Li, L.; Liu, J.; Lin, W. Botanical Pesticides as Potential Rotifer-Control Agents in Microalgal Mass Culture. Algal Res. 2014, 4, 62–69. (In Chinese) [Google Scholar] [CrossRef]
- Wei, J.; Lai, C.; Wen, Z.; Qiu, Y. Study on Control Effect of 0.2 Percent Celangulin EC on Ectropis obipua Hypulina Wehrli. Chin. Agric. Sci. Bull. 2007, 24, 488. (In Chinese) [Google Scholar] [CrossRef]
- Qi, Z.; Hu, Z.; Shi, C. Others Effects of 0.2% Celangulins EC on Non-Target Organisms in Environment. J. Northwest Sci-Tech. Univ. Agric. For. Nat. Sci. Ed. 2004, 69, 31–34. (In Chinese) [Google Scholar] [CrossRef]
- Qi, Z.; Wu, W. Study on Toxicity of 0.2% Celangulins EC on Birds. Acta Agric. Boreali-Occident. Sin. 2000, 9, 75–77. (In Chinese) [Google Scholar]
- Kim, J.-Y.; Son, E.; Kim, D.-S. One New Veratramine-Type Alkaloid from Veratrum Maackii Var. Japonicum and Antioxidative Activities of Isolated Compounds. Nat. Prod. Commun. 2020, 15, 1–5. [Google Scholar] [CrossRef]
- Qu, A.; Wu, Q.; Su, J.; Li, C.; Yang, L.; Wang, Z.; Wang, Z.; Li, Z.; Ruan, X.; Zhao, Y.; et al. A Review on the Composition and Biosynthesis of Alkaloids and on the Taxonomy, Domestication, and Cultivation of Medicinal Fritillaria Species. Agronomy 2022, 12, 1844. [Google Scholar] [CrossRef]
- Feng, Y.; Wang, Y.; Geng, Z.-F.; Zhang, D.; Borjigidai, A.; Du, S.-S. Contact Toxicity and Repellent Efficacy of Valerianaceae spp. to Three Stored-Product Insects and Synergistic Interactions between Two Major Compounds Camphene and Bornyl Acetate. Ecotoxicol. Environ. Saf. 2019, 190, 110106. [Google Scholar] [CrossRef]
- Zhang, W.; Li, G.H.; Xing, Y. Control Effect of Veratrine on Two Kinds of Sapsucking Pests. China Plant Prot. 2021, 41, 87–89+103. (In Chinese) [Google Scholar] [CrossRef]
- Wang, X.; Su, H.; Wang, J.; Li, G.; Feng, H.; Zhang, J. Monitoring of Insecticide Resistance for Apolygus lucorum Populations in the Apple Orchard in China. Crop Prot. 2023, 170, 106279. [Google Scholar] [CrossRef]
- Vinson, S.B. Impact of the Invasion of the Imported Fire Ant: Impact of the IFA. Insect Sci. 2013, 20, 439–455. [Google Scholar] [CrossRef] [PubMed]
- Wurm, Y.; Wang, J.; Riba-Grognuz, O.; Corona, M.; Nygaard, S.; Hunt, B.G.; Ingram, K.K.; Falquet, L.; Nipitwattanaphon, M.; Gotzek, D.; et al. The Genome of the Fire Ant Solenopsis invicta. Proc. Natl. Acad. Sci. USA 2011, 108, 5679–5684. [Google Scholar] [CrossRef] [PubMed]
- Pan, F.; Lu, Y.; Wang, L. Toxicity and Sublethal Effects of Sulfoxaflor on the Red Imported Fire Ant, Solenopsis invicta. Ecotoxicol. Environ. Saf. 2017, 139, 377–383. [Google Scholar] [CrossRef] [PubMed]
- Vinson, S.B. Invasion of the Red Imported Fire Ant (Hymenoptera: Formicidae): Spread, Biology, and Impact. Am. Entomol. 1997, 43, 23–39. [Google Scholar] [CrossRef]
- Chen, S.; Ding, F.; Hao, M.; Jiang, D. Mapping the Potential Global Distribution of Red Imported Fire Ant (Solenopsis invicta Buren) Based on a Machine Learning Method. Sustainability 2020, 12, 10182. [Google Scholar] [CrossRef]
- Li, M.; Zhao, H.; Xian, X.; Zhu, J.; Chen, B.; Jia, T.; Wang, R.; Liu, W. Geographical Distribution Pattern and Ecological Niche of Solenopsis invicta Buren in China under Climate Change. Diversity 2023, 15, 607. [Google Scholar] [CrossRef]
- Wang, L.; Zeng, L.; Xu, Y.; Lu, Y. Prevalence and Management of Solenopsis invicta in China. NeoBiota 2020, 54, 89–124. [Google Scholar] [CrossRef]
- Wang, L.; Xu, Y.; Zeng, L.; Lu, Y. Impact of the Red Imported Fire Ant Solenopsis invicta Buren on Biodiversity in South China: A Review. J. Integr. Agric. 2019, 18, 788–796. [Google Scholar] [CrossRef]
- Shen, L.; Wen, C.; Chen, X.; Hua, Y.; Du, C.; Cai, J.; Wen, X.; Wang, L.; Wang, C. Paving Behavior in Ants and Its Potential Application in Monitoring Two Urban Pest Ants, Solenopsis invicta and Tapinoma melanocephalum. Insects 2023, 14, 219. [Google Scholar] [CrossRef] [PubMed]
- Sterling, W. Fortuitous Biological Suppression of the Boll Weevil by the Red Imported Fire Ant. Environ. Entomol. 1978, 7, 564–568. [Google Scholar] [CrossRef]
- Jones, D.; Sterling, W. Manipulation of Red Imported Fire Ants in a Trap Crop for Boll Weevil Suppression. Environ. Entomol. 1979, 8, 1073–1077. [Google Scholar] [CrossRef]
- Bessin, R.; Reagan, T. Cultivar Resistance and Arthropod Predation of Sugarcane Borer (Lepidoptera: Pyralidae) Affects Incidence of Deadhearts in Louisiana Sugarcane. J. Econ. Entomol. 1993, 86, 929–932. [Google Scholar] [CrossRef]
- Reagan, T.; Coburn, G.; Hensley, S. Effects of Mirex on the Arthropod Fauna of a Louisiana Sugarcane Field. Environ. Entomol. 1972, 1, 588–591. [Google Scholar] [CrossRef]
- Negm, A.; Hensley, S. The Relationship of Arthropod Predators to Crop Damage Inflicted by the Sugarcane Borer. J. Econ. Entomol. 1967, 60, 1503–1505. [Google Scholar] [CrossRef]
- Lee, J.-H.; Johnson, S.; Wright, V. Quantitative Survivorship Analysis of the Velvetbean Caterpillar (Lepidoptera: Noctuidae) Pupae in Soybean Fields in Louisiana. Environ. Entomol. 1990, 19, 978–986. [Google Scholar] [CrossRef]
- Morrill, W. Red Imported Fire Ant Foraging in a Greenhouse. Environ. Entomol. 1977, 6, 416–418. [Google Scholar] [CrossRef]
- Wang, L.; Zhao, F.; Tao, Q.; Li, J.; Xu, Y.; Li, Z.; Lu, Y. Toxicity and Sublethal Effect of Triflumezopyrim Against Red Imported Fire Ant (Hymenoptera: Formicidae). J. Econ. Entomol. 2020, 113, 1753–1760. [Google Scholar] [CrossRef]
- Xu, Y.; Huang, J.; Zhou, A.; Zeng, L. Prevalence of Solenopsis invicta (Hymenoptera: Formicidae) Venom Allergic Reactions in Mainland China. Fla. Entomol. 2012, 95, 961–965. [Google Scholar] [CrossRef]
- Thiel, S.; Köhler, H.-R. A Sublethal Imidacloprid Concentration Alters Foraging and Competition Behaviour of Ants. Ecotoxicology 2016, 25, 814–823. [Google Scholar] [CrossRef] [PubMed]
- Wang, L.; Zeng, L.; Chen, J. Sublethal Effect of Imidacloprid on Solenopsis invicta (Hymenoptera: Formicidae) Feeding, Digging, and Foraging Behavior. Environ. Entomol. 2015, 44, 1544–1552. [Google Scholar] [CrossRef] [PubMed][Green Version]
- Wang, L.; Zeng, L.; Chen, J. Impact of Imidacloprid on New Queens of Imported Fire Ants, Solenopsis invicta (Hymenoptera: Formicidae). Sci. Rep. 2015, 5, 17938. [Google Scholar] [CrossRef] [PubMed]
- Xiong, T.; Qiu, X.; Ling, S.; Liu, J.; Zeng, X. Interaction of Fipronil and the Red Imported Fire Ant (Solenopsis invicta): Toxicity Differences and Detoxification Responses. J. Insect Physiol. 2019, 115, 20–26. [Google Scholar] [CrossRef]
- Ipser, R.; Gardner, W. Impact of Broadcast Applications of Hydramethylnon and Fipronil on Red Imported Fire Ant (Hymenoptera: Formicidae) and Nontarget Arthropods. J. Entomol. Sci. 2010, 45, 58–61. [Google Scholar] [CrossRef]
- Du, C.; Lv, H.; Wang, L.; Mao, L.; Li, L.; Yang, X.; Wang, C. Foraging Behaviors of Red Imported Fire Ants (Hymenoptera: Formicidae) in Response to Bait Containing Different Concentrations of Fipronil, Abamectin, or Indoxacarb. Insects 2023, 14, 852. [Google Scholar] [CrossRef]
- Zhang, B.; Zhang, L.; Cui, R.; Zeng, X.; Gao, X. Cloning and Expression of Multiple Cytochrome P450 Genes: Induction by Fipronil in Workers of the Red Imported Fire Ant (Solenopsis invicta Buren). PLoS ONE 2016, 11, e0150915. [Google Scholar] [CrossRef]
- Siddiqui, J.A.; Zhang, Y.; Luo, Y.; Bamisile, B.S.; Rehman, N.U.; Islam, W.; Qasim, M.; Jiang, Q.; Xu, Y. Comprehensive Detoxification Mechanism Assessment of Red Imported Fire Ant (Solenopsis invicta) against Indoxacarb. Molecules 2022, 27, 870. [Google Scholar] [CrossRef]
- Liang, M.; Zhang, S.; Zheng, X.; Deng, J.; Yang, J.; Liang, Y.; Li, Z.-Q.; Yue, X.; Lu, Y.; Xu, Y.; et al. Efficacy of Matrine, Rotenone, and Pyrethrin against Red Imported Fire Ant Solenopsis invicta (Hymenoptera: Formicidae) and Their Impact on Aquatic Organisms. Environ. Entomol. 2022, 51, 948–957. [Google Scholar] [CrossRef]
- Wickham, J.; Chadwick, P.; Stewart, D. Factors Which Influence the Knockdown Effect of Insecticide Products. Pestic. Sci. 1974, 5, 657–664. [Google Scholar] [CrossRef]
- Liang, M.; Shuang, Y.; Deng, J.; Peng, L.; Zhang, S.; Zhang, C.; Xu, Y.; Lu, Y.; Wang, L. Toxicity and Horizontal Transfer of Bifenthrin and Dimefluthrin against the Red Imported Fire Ant, Solenopsis invicta Buren (Hymenoptera: Formicidae), and the Efficacy of Their Dust Applications in the Field. J. Integr. Agric. 2022, 22, 1465–1476. [Google Scholar] [CrossRef]
- Jiang, W.; Soeprono, A.; Rust, M.K.; Gan, J. Ant Control Efficacy of Pyrethroids and Fipronil on Outdoor Concrete Surfaces: Ant Control Efficacy of Pyrethroids and Fipronil. Pest Manag. Sci. 2014, 70, 271–277. [Google Scholar] [CrossRef] [PubMed]
- Buczkowski, G. A Comparison of Insecticide Susceptibility Levels in 12 Species of Urban Pest Ants with Special Focus on the Odorous House Ant, Tapinoma Sessile. Pest Manag. Sci. 2021, 77, 2948–2954. [Google Scholar] [CrossRef] [PubMed]
- Oi, D.H.; Williams, D.F. Toxicity and Repellency of Potting Soil Treated with Bifenthrin and Tefluthrin to Red Imported Fire Ants (Hymenoptera: Formicidae). J. Econ. Entomol. 1996, 89, 1526–1530. [Google Scholar] [CrossRef]
- Elek, M.; Torma, A.; Kovács, J.; Somogyi, A.; Lőrinczi, G. Threat, Signal or Waste? Meaning of Corpses in Two Dulotic Ant Species. J. Insect Behav. 2016, 29, 432–448. [Google Scholar] [CrossRef]
- Elek, M.; Markó, B.; Erős, K.; Babik, H.; Ślipiński, P.; Czechowski, W. Cues or Meaningless Objects? Differential Responses of the Ant Formica Cinerea to Corpses of Competitors and Enslavers. Anim. Behav. 2014, 91, 53–59. [Google Scholar] [CrossRef]
- Neoh, K.-B.; Yeoh, B.H.; Lee, C.-Y. Mortality Patterns in Coptotermes gestroi (Blattodea: Rhinotermitidae) Following Horizontal Transfer of Nonrepellent and Repellent Insecticides: Effects of Donor: Recipient Ratio and Exposure Time. J. Econ. Entomol. 2014, 107, 1563–1572. [Google Scholar] [CrossRef]
- Bhatta, D.; Henderson, G. Horizontal Transfer of Spinosad in Coptotermes formosanus (Isoptera: Rhinotermitidae). J. Econ. Entomol. 2016, 109, tow094. [Google Scholar] [CrossRef]
- Wiltz, B.A.; Suiter, D.R.; Gardner, W.A. Activity of Bifenthrin, Chlorfenapyr, Fipronil, and Thiamethoxam Against Red Imported Fire Ants (Hymenoptera: Formicidae). J. Econ. Entomol. 2010, 103, 754–761. [Google Scholar] [CrossRef]
- Zhang, L.; Wang, L.; Chen, J.; Zhang, J.; He, Y.; Lu, Y.; Cai, J.; Chen, X.; Wen, X.; Xu, Z.; et al. Toxicity, Horizontal Transfer, and Physiological and Behavioral Effects of Cycloxaprid against Solenopsis invicta (Hymenoptera: Formicidae). Pest Manag. Sci. 2022, 78, 2228–2239. [Google Scholar] [CrossRef]
- Barbieri, R.; Lester, P.; Miller, A.; Ryan, K. A Neurotoxic Pesticide Changes the Outcome of Aggressive Interactions between Native and Invasive Ants. Proc. Biol. Sci. R. Soc. 2013, 280, 20132157. [Google Scholar] [CrossRef] [PubMed]
- Ning, D.; Yang, F.; Xiao, Q.; Ran, H.; Xu, Y. A Simple and Efficient Method for Preventing Ant Escape (Hymenoptera: Formicidae). Myrmecol. News 2019, 29, 57–65. [Google Scholar] [CrossRef]
- Wang, L.; Chen, J. Fatty Amines from Little Black Ants, Monomorium Minimum, and Their Biological Activities against Red Imported Fire Ants, Solenopsis invicta. J. Chem. Ecol. 2015, 41, 708–715. [Google Scholar] [CrossRef] [PubMed]
- Buczkowski, G. Trap–Treat–Release: Horizontal Transfer of Fipronil in Field Colonies of Black Carpenter Ants, Camponotus pennsylvanicus. Pest Manag. Sci. 2019, 75, 2195–2201. [Google Scholar] [CrossRef]





| Pesticides | Numbers of Workers | Time after Treatment (hours) | Regression Equation (1) | LD25 (95% CI) (ng/ant) | LD50 (95% CI) (ng/ant) | LD95 (95% CI) (ng/ant) | Standard Error | χ2 | df | p-Value |
|---|---|---|---|---|---|---|---|---|---|---|
| Azadirachtin | 120 | 12 | Y = 2.615 X + 1.132 | 0.204 (0.179~0.228) | 0.369 (0.332~0.413) | 1.571 (1.265~2.071) | 0.180 | 23.501 | 28 | 0.708 |
| 24 | Y = 3.396 X + 2.375 | 0.126 (0.113~0.140) | 0.200 (0.183~0.218) | 0.610 (0.520~0.746) | 0.238 | 25.944 | 28 | 0.576 | ||
| 36 | Y = 3.639 X + 2.892 | 0.105 (0.093~0.116) | 0.160 (0.147~0.174) | 0.454 (0.390~0.556) | 0.284 | 26.697 | 28 | 0.535 | ||
| 48 | Y = 3.968 X + 3.275 | 0.101 (0.090~0.111) | 0.149 (0.138~0.162) | 0.388 (0.335~0.472) | 0.326 | 25.900 | 28 | 0.579 | ||
| Celangulin | 120 | 12 | Y = 2.685 X + 2.866 | 0.048 (0.042~0.054) | 0.086 (0.075~0.102) | 0.351 (0.250~0.587) | 0.244 | 36.130 | 28 | 0.139 |
| 24 | Y = 3.998 X + 5.337 | 0.031 (0.027~0.035) | 0.046 (0.042~0.051) | 0.119 (0.098~0.159) | 0.304 | 50.115 | 28 | 0.006 | ||
| 36 | Y = 3.772 X + 5.321 | 0.026 (0.022~0.029) | 0.039 (0.035~0.043) | 0.106 (0.087~0.142) | 0.316 | 46.304 | 28 | 0.016 | ||
| 48 | Y = 3.915 X + 5.679 | 0.024 (0.020~0.027) | 0.035 (0.032~0.039) | 0.093 (0.077~0.126) | 0.342 | 50.706 | 28 | 0.005 | ||
| Veratramine | 120 | 12 | Y = 0.460 X − 2.547 | 11,755.790 | * | * | 0.184 | 118.27 | 28 | <0.0001 |
| 24 | Y = 1.348 X − 3.688 | 172.088 (117.776~259.926) | 544.610 (340.822~1313.733) | 9041.335 (2855.794~108,809.374) | 0.149 | 77.207 | 28 | <0.0001 | ||
| 36 | Y = 1.576 X − 3.734 | 87.370 (62.217~114.368) | 234.074 (177.387~339.071) | 2588.682 (1305.057~8398.921) | 0.140 | 65.041 | 28 | <0.0001 | ||
| 48 | Y = 1.632 X − 3.598 | 61.947 (38.885~85.373) | 160.470 (118.469~232.609) | 1634.820 (823.643~5833.635) | 0.137 | 95.179 | 28 | <0.0001 |
| Pesticides | Concentration (mg/L) | Numbers of Workers | Regression Equation (1) | LT25 (95% CI) (h) | LT50 (95% CI) (h) | LT95 (95% CI) (h) | Standard Error | χ2 | df | p-Value |
|---|---|---|---|---|---|---|---|---|---|---|
| Azadirachtin | 1 | 120 | Y = 5.252 X − 4.659 | 5.736 (2.068~7.744) | 7.709 (4.001~9.440) | 15.856 (13.993~21.868) | 1.494 | 3.199 | 22 | 1.000 |
| 0.5 | 120 | Y = 2.917 X − 2.740 | 5.105 (2.637~7.261) | 8.693 (5.689~11.049) | 31.841 (26.307~43.379) | 0.382 | 31.130 | 22 | 0.093 | |
| 0.25 | 120 | Y = 1.915 X − 2.349 | 7.485 (4.573~10.031) | 16.839 (13.430~19.739) | 121.642 (84.794~225.448) | 0.269 | 17.383 | 22 | 0.742 | |
| 0.125 | 120 | Y = 1.994 X − 3.551 | 27.719 (22.285~33.394) | 60.410 (46.981~100.087) | 403.803 (191.132~2204.853) | 0.319 | 30.909 | 22 | 0.098 | |
| Celangulin | 0.125 | 120 | Y = 4.051 X − 4.035 | 6.751 (4.010~8.820) | 9.905 (7.099~11.970) | 25.227 (21.105~34.141) | 0.493 | 43.276 | 22 | 0.004 |
| 0.063 | 120 | Y = 1.455 X − 1.687 | 4.965 (0.144~10.201) | 14.433 (3.681~21.097) | 194.821 (81.880~*) | 0.263 | 72.207 | 22 | <0.0001 | |
| 0.042 | 120 | Y = 2.080 X − 2.964 | 12.615 (9.326~15.326) | 26.618 (23.261~30.389) | 164.431 (111.778~311.827) | 0.272 | 18.712 | 22 | 0.663 | |
| 0.031 | 120 | Y = 1.925 X − 3.334 | 24.067 (19.879~27.895) | 53.918 (44.451~74.239) | 385.491 (207.476~1231.782) | 0.304 | 23.493 | 22 | 0.374 | |
| Veratramine | 500 | 120 | Y = 3.414 X − 4.737 | 15.486 (11.635~18.541) | 24.407 (20.767~28.126) | 74.021 (57.031~116.236) | 0.305 | 55.526 | 22 | <0.0001 |
| 200 | 120 | Y = 2.952 X − 4.936 | 27.755 (23.432~31.731) | 46.967 (40.323~59.841) | 169.399 (110.8807~384.383) | 0.369 | 34.883 | 22 | 0.04 | |
| 100 | 120 | Y = 3.106 X − 5.434 | 34.086 (28.339~41.136) | 56.202 (45.495~87.904) | 190.278 (110.718~730.029) | 0.419 | 52.931 | 22 | <0.0001 | |
| 50 | 120 | Y = 1.027 X − 2.455 | 54.316 * | 246.601 * | 9871 * | 0.324 | 102.523 | 22 | <0.0001 |
| Pesticides | Concentration (μg mL−1) | Numbers of Workers | Regression Equation (1) | KT25 (95% CI) (min) | KT50 (95% CI) (min) | KT95 (95% CI) (min) | Standard Error | χ2 | df | p-Value |
|---|---|---|---|---|---|---|---|---|---|---|
| Azadirachtin | 500 | 300 | Y = 8.229 X − 6.381 | 4.937 (4.447~5.326) | 5.963 (5.554~6.362) | 9.449 (8.565~10.945) | 0.283 | 692.822 | 58 | <0.0001 |
| 100 | 300 | Y = 6.504 X − 6.821 | 8.811 (8.192~9.357) | 11.187 (10.617~11.764) | 20.027 (18.422~22.297) | 0.157 | 1123.680 | 118 | <0.0001 | |
| 50 | 300 | Y = 5.134 X − 5.974 | 10.774 (9.949~11.527) | 14.581 (13.734~15.487) | 30.493 (27.337~35.098) | 0.115 | 1411.892 | 136 | <0.0001 | |
| 10 | 300 | Y = 5.362 X − 7.383 | 17.834 (16.911~18.703) | 23.825 (22.796~24.958) | 48.286 (44.054~54.062) | 0.124 | 973.064 | 154 | <0.0001 | |
| Celangulin | 500 | 300 | Y = 10.238 X − 8.690 | 6.067 (5.836~6.273) | 7.061 (6.858~7.264) | 10.221 (9.761~10.815) | 0.341 | 215.920 | 64 | <0.0001 |
| 100 | 300 | Y = 9.699 X − 9.029 | 7.268 (6.078~8.091) | 8.530 (7.578~9.456) | 12.605 (11.062~16.221) | 0.267 | 4376.928 | 88 | <0.0001 | |
| 50 | 300 | Y = 0.442 X − 5.110 | 10.038 (9.783~10.273) | 11.565 (11.357~11.772) | 15.287 (14.944~15.680) | 0.011 | 291.248 | 112 | <0.0001 | |
| 10 | 300 | Y = 8.896 X − 11.465 | 16.332 (15.990~16.653) | 19.447 (19.144~19.749) | 29.768 (28.979~30.669) | 0.181 | 433.508 | 184 | <0.0001 |
Disclaimer/Publisher’s Note: The statements, opinions and data contained in all publications are solely those of the individual author(s) and contributor(s) and not of MDPI and/or the editor(s). MDPI and/or the editor(s) disclaim responsibility for any injury to people or property resulting from any ideas, methods, instructions or products referred to in the content. |
© 2023 by the authors. Licensee MDPI, Basel, Switzerland. This article is an open access article distributed under the terms and conditions of the Creative Commons Attribution (CC BY) license (https://creativecommons.org/licenses/by/4.0/).
Share and Cite
Liang, Y.; Liang, M.; Chen, H.; Hong, J.; Song, Y.; Yue, K.; Lu, Y. The Effect of Botanical Pesticides Azadirachtin, Celangulin, and Veratramine Exposure on an Invertebrate Species Solenopsis invicta (Hymenoptera: Formicidae). Toxins 2024, 16, 6. https://doi.org/10.3390/toxins16010006
Liang Y, Liang M, Chen H, Hong J, Song Y, Yue K, Lu Y. The Effect of Botanical Pesticides Azadirachtin, Celangulin, and Veratramine Exposure on an Invertebrate Species Solenopsis invicta (Hymenoptera: Formicidae). Toxins. 2024; 16(1):6. https://doi.org/10.3390/toxins16010006
Chicago/Turabian StyleLiang, Yuling, Mingrong Liang, Huimei Chen, Jingxin Hong, Yunbo Song, Kuo Yue, and Yongyue Lu. 2024. "The Effect of Botanical Pesticides Azadirachtin, Celangulin, and Veratramine Exposure on an Invertebrate Species Solenopsis invicta (Hymenoptera: Formicidae)" Toxins 16, no. 1: 6. https://doi.org/10.3390/toxins16010006
APA StyleLiang, Y., Liang, M., Chen, H., Hong, J., Song, Y., Yue, K., & Lu, Y. (2024). The Effect of Botanical Pesticides Azadirachtin, Celangulin, and Veratramine Exposure on an Invertebrate Species Solenopsis invicta (Hymenoptera: Formicidae). Toxins, 16(1), 6. https://doi.org/10.3390/toxins16010006

