Salinity as an Abiotic Stressor for Eliciting Bioactive Compounds in Marine Microalgae
Abstract
1. Introduction
2. Results and Discussion
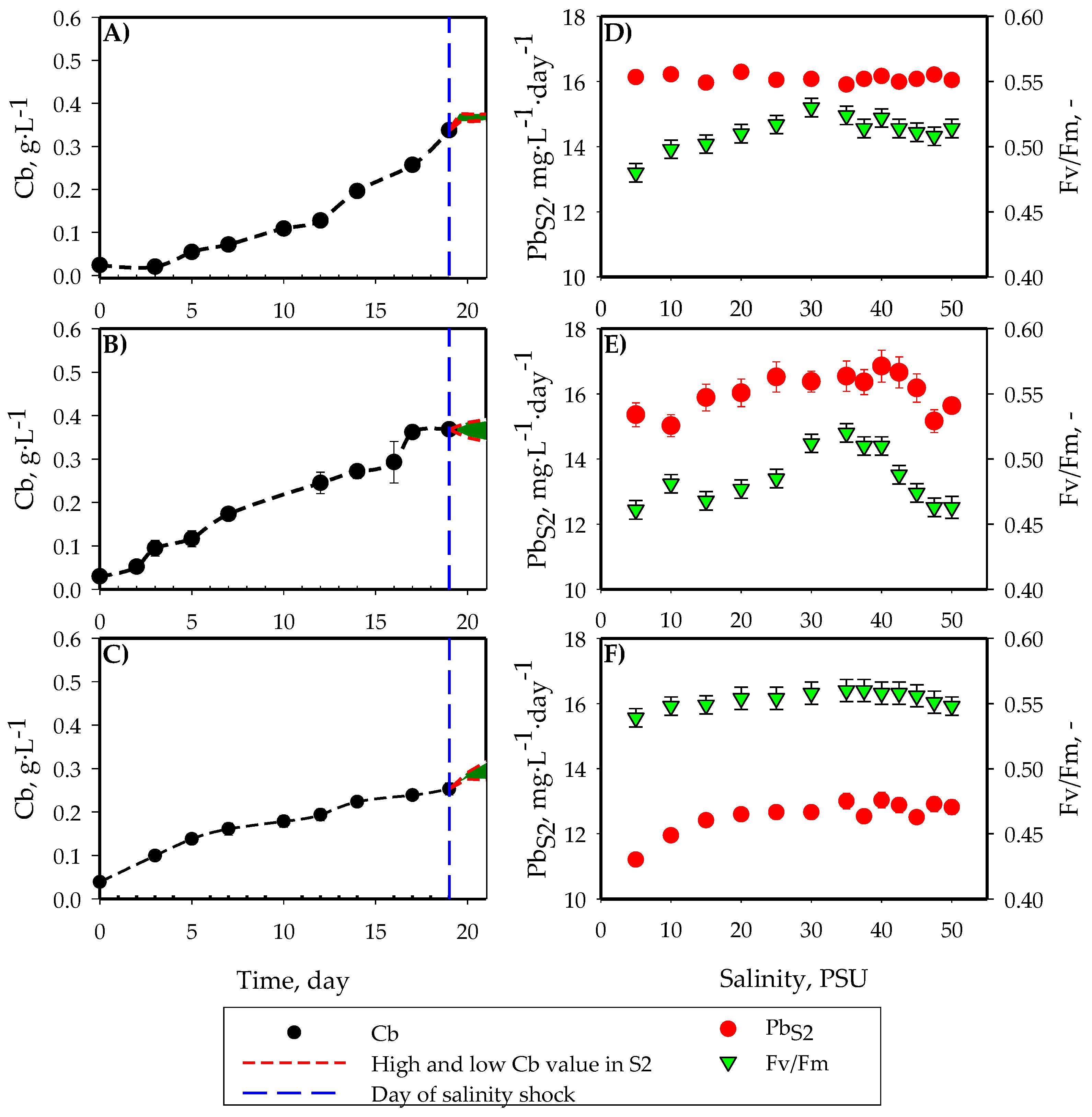
2.1. Influence of Salinity on Culture Growth
2.2. Influence of Salinity on Carotenoid Production
2.3. Influence of Salinity on Fatty Acids
2.4. Influence of Salinity on the Haemolytic Activity of Microalgae
3. Conclusions
4. Materials and Methods
4.1. Microalgae Species and Inoculums
4.2. Optimal Salinity Conditions Established (S1)
4.3. Metabolic Response to Saline Shocks (S2)
4.4. Kinetic Parameters
4.5. Analytical Measurements
4.6. Statistical Analysis
Author Contributions
Funding
Institutional Review Board Statement
Informed Consent Statement
Data Availability Statement
Conflicts of Interest
References
- Daneshvar, E.; Wicker, R.J.; Show, P.-L.; Bhatnagar, A. Biologically-mediated carbon capture and utilization by microalgae towards sustainable CO2 biofixation and biomass valorization—A review. Chem. Eng. J. 2022, 427, 130884. [Google Scholar] [CrossRef]
- Allewaert, C.C.; Vanormelingen, P.; Daveloose, I.; Verstraete, T.; Vyverman, W. Intraspecific trait variation affecting astaxanthin productivity in two Haematococcus (Chlorophyceae) species. Algal Res. 2017, 21, 191–202. [Google Scholar] [CrossRef]
- Shetty, P.; Gitau, M.M.; Maróti, G. Salinity stress responses and adaptation mechanisms in eukaryotic green microalgae. Cells 2019, 8, 1657. [Google Scholar] [CrossRef]
- Tang, D.Y.Y.; Khoo, K.S.; Chew, K.W.; Tao, Y.; Ho, S.-H.; Show, P.L. Potential utilization of bioproducts from microalgae for the quality enhancement of natural products. Bioresour. Technol. 2020, 304, 122997. [Google Scholar] [CrossRef] [PubMed]
- Assunção, J.; Guedes, A.C.; Malcata, F.X. Biotechnological and Pharmacological Applications of Biotoxins and Other Bioactive Molecules from Dinoflagellates. Mar. Drugs 2017, 15, 393. [Google Scholar] [CrossRef] [PubMed]
- Chisti, Y. Biodiesel from microalgae. Biotechnol. Adv. 2007, 25, 294–306. [Google Scholar] [CrossRef]
- Lafarga, T.; Acién, G. Microalgae for the Food Industry: From Biomass Production to the Development of Functional Foods. Foods 2022, 11, 5. [Google Scholar] [CrossRef]
- Abdelfattah, A.; Ali, S.S.; Ramadan, H.; El-Aswar, E.I.; Eltawab, R.; Ho, S.H.; Elsamahy, T.; Li, S.; El-Sheekh, M.M.; Schagerl, M.; et al. Microalgae-based wastewater treatment: Mechanisms, challenges, recent advances, and future prospects. Environ. Sci. Ecotechnol. 2023, 13, 100205. [Google Scholar] [CrossRef]
- Maurya, R.; Zhu, X.; Valverde-Pérez, B.; Ravi Kiran, B.; General, T.; Sharma, S.; Kumar Sharma, A.; Thomsen, M.; Venkata Mohan, S.; Angelidaki, I.; et al. Advances in microalgal research for valorization of industrial wastewater. Bioresour. Technol. 2021, 343, 126128. [Google Scholar] [CrossRef]
- Farrag, M.M.S.; Abdelmgeed, A.M.; Moustafa, M.A.; Osman, A.G.M. Improving the water quality of fish aquaculture effluents after treatment by microalgae. Desalin. Water Treat. 2024, 317, 100155. [Google Scholar] [CrossRef]
- Yaacob, N.S.; Abdullah, H.; Ahmad, M.F.; Maniyam, M.N.; Sjahrir, F. Microalgae Biotechnology: Emerging Biomedical Applications; Elsevier Inc.: Amsterdam, The Netherlands, 2022. [Google Scholar]
- Esakkimuthu, S.; Siddiqui, S.A.; Cherif, M.; Saadaoui, I. Exploring strategies to enhance microalgae nutritional quality for functional poultry-sourced food products. Bioresour. Technol. Rep. 2024, 25, 101746. [Google Scholar] [CrossRef]
- Ishika, T.; Bahri, P.A.; Laird, D.W.; Moheimani, N.R. The effect of gradual increase in salinity on the biomass productivity and biochemical composition of several marine, halotolerant, and halophilic microalgae. J. Appl. Phycol. 2018, 30, 1453–1464. [Google Scholar] [CrossRef]
- Kirst, G.O. Salinity tolerance of eukaryotic marine algae. Annu. Rev. Plant Physiol. Plant Mol. Biol. 1990, 41, 21–53. [Google Scholar] [CrossRef]
- Ren, Y.; Sun, H.; Deng, J.; Huang, J.; Chen, F. Carotenoid Production from Microalgae: Biosynthesis, Salinity Responses and Novel Biotechnologies. Mar Drugs. 2021, 19, 713. [Google Scholar] [CrossRef]
- Zittelli, G.C.; Lauceri, R.; Faraloni, C.; Benavides, A.M.S.; Torzillo, G. Valuable pigments from microalgae: Phycobiliproteins, primary carotenoids, and fucoxanthin. Photochem. Photobiol. Sci. 2023, 22, 1733–1789. [Google Scholar] [CrossRef]
- Ben-Amotz, A.; Sussman, I.; Avron, M. Glycerol production by Dunaliella. In New Trends in Research and Utilization of Solar Energy through Biological Systems; Mislin, H., Bachofen, R., Eds.; Birkhäuser: Basel, Switzerland, 1982; EXS 43: Experientia Supplementum, 43. [Google Scholar] [CrossRef]
- Hellebust, J.A. Effect of salinity on photosynthesis and mannitol synthesis in the green flagellate Platymonas suecica. Botany 1976, 54, 1735–1741. [Google Scholar] [CrossRef]
- Wang, H.L.; Postier, B.L.; Burnap, R.L. Polymerase chain reaction-based mutageneses identify key transporters belonging to multigene families involved in Na+ and pH homeostasis of Synechocystis sp. PCC 6803. Mol. Microbiol. 2002, 44, 1493–1506. [Google Scholar] [CrossRef]
- Singh, R.P.; Yadav, P.; Kumar, A.; Hashem, A.; Avila-Quezada, G.D.; Abd_Allah, E.F.; Gupta, R.K. Salinity-Induced Physiochemical Alterations to Enhance Lipid Content in Oleaginous Microalgae Scenedesmus sp. BHU1 via Two-Stage Cultivation for Biodiesel Feedstock. Microorganisms 2023, 11, 2064. [Google Scholar] [CrossRef]
- Flores-Leñero, A.; Vargas-Torres, V.; Paredes-Mella, J.; Norambuena, L.; Fuenzalida, G.; Lee-Chang, K.; Mardones, J.I. Heterosigma akashiwo in Patagonian Fjords: Genetics, Growth, Pigment Signature and Role of PUFA and ROS in Ichthyotoxicity. Toxins 2022, 14, 577. [Google Scholar] [CrossRef]
- Liyanaarachchi, V.C.; Premaratne, M.; Ariyadasa, T.U.; Nimarshana, P.H.V.; Malik, A. Two-stage cultivation of microalgae for production of high-value compounds and biofuels: A review. Algal Res. 2021, 57, 102353. [Google Scholar] [CrossRef]
- Tafreshi, A.H.; Shariati, M. Pilot culture of three strains of Dunaliella salina for β-carotene production in open ponds in the central region of Iran. World J. Microbiol. Biotechnol. 2006, 22, 1003–1006. [Google Scholar] [CrossRef]
- Xia, L.; Ge, H.; Zhou, X.; Zhang, D.; Hu, C. Photoautotrophic outdoor two-stage cultivation for oleaginous microalgae Scenedesmus obtusus XJ-15. Bioresour. Technol. 2013, 144, 261–267. [Google Scholar] [CrossRef] [PubMed]
- Chen, H.-H.; Xue, L.-L.; Liang, M.-H.; Jiang, J.-G. Sodium azide intervention, salinity stress and two-step cultivation of Dunaliella tertiolecta for lipid accumulation. Enzyme Microb. Technol. 2019, 127, 1–5. [Google Scholar] [CrossRef]
- Rearte, T.A.; Figueroa, F.L.; Gómez-Serrano, C.; Vélez, C.G.; Marsili, S.; Iorio, A.d.F.; González-López, C.V.; Cerón-García, M.C.; Abdala, R.; Acién, F.G. Optimization of the production of lipids and carotenoids in the microalga Golenkinia aff. Brevispicula. Algal Res. 2020, 51, 102004. [Google Scholar] [CrossRef]
- Eggert, A.; Raimund, S.; Michalik, D.; West, J.; Karsten, U. Ecophysiological performance of the primitive red alga Dixoniella grisea (Rhodellophyceae) to irradiance, temperature and salinity stress: Growth responses and the osmotic role of mannitol. Phycol. 2007, 46, 22–28. [Google Scholar] [CrossRef]
- López-Rosales, L.; Gallardo-Rodríguez, J.J.; Sánchez-Mirón, A.; Cerón-García, M.D.C.; Belarbi, E.H.; García-Camacho, F.; Molina-Grima, E. Simultaneous effect of temperature and irradiance on growth and okadaic acid production from the marine dinoflagellate Prorocentrum belizeanum. Toxins 2014, 6, 229–253. [Google Scholar] [CrossRef]
- Torzillo, G.; Faraloni, C.; Silva, A.M.; Kopecký, J.; Pilný, J.; Masojídek, J. Photoacclimation of Phaeodactylum tricornutum (Bacillariophyceae) cultures grown outdoors in photobioreactors and open ponds. Eur. J. Phycol. 2012, 47, 169–181. [Google Scholar] [CrossRef]
- Darvehei, P.; Bahri, P.A.; Moheimani, N.R. Model development for the growth of microalgae: A review. Renew. Sustain. Energy Rev. 2018, 97, 233–258. [Google Scholar] [CrossRef]
- De Boer, M.; Tyl, M.R.; van Rijssel, M. Effects of salinity and nutrient conditions on growth and haemolytic activity of Fibrocapsa japonica (Raphidophyceae). Aquat. Microb. Ecol. 2004, 37, 171–181. [Google Scholar] [CrossRef]
- Xing, S.; Zhang, X.; Guan, H.; Li, H.; Liu, W. Predictive model for growth of Leuconostoc mesenteroides in Chinese cabbage juices with different salinities. LWT 2022, 173, 114264. [Google Scholar] [CrossRef]
- Mehmet, K.; Mehmet, A. Studies on Growth of Marine Microalgae in Batch Cultures: II. Isochrysis galbana (Haptophyta). Asian J. Plant Sci. 2005, 4, 639–641. [Google Scholar] [CrossRef]
- Morton, S.L.; Norris, D.R.; Bomber, J.W. Effect of temperature, salinity and light intensity on the growth and seasonality of toxic dinoflagellates associated with ciguatera. J. Exp. Mar. Bio. Ecol. 1992, 157, 79–90. [Google Scholar] [CrossRef]
- Hotos, G.N.; Avramidou, D. The Effect of Various Salinities and Light Intensities on the Growth Performance of Five Locally Isolated Microalgae [Amphidinium carterae, Nephroselmis sp., Tetraselmis sp. (var. red pappas), Asteromonas gracilis and Dunaliella sp.] in Laboratory Batch Cultures. J. Mar. Sci. Eng. 2021, 9, 11. [Google Scholar] [CrossRef]
- Haque, S.M.; Onoue, Y. Effects of salinity on growth and toxin production of a noxious phytoflagellate, Heterosigma akashiwo (Raphidophyceae). Bot. Mar. 2002, 45, 356–363. [Google Scholar] [CrossRef]
- Martínez, R.; Orive, E.; Laza-Martínez, A.; Seoane, S. Growth response of six strains of Heterosigma akashiwo to varying temperature, salinity and irradiance conditions. J. Plankton Res. 2010, 32, 529–538. [Google Scholar] [CrossRef]
- Bui, Q.T.N.; Kim, H.; Park, H.; Ki, J.-S. Salinity Affects Saxitoxins (STXs) Toxicity in the Dinoflagellate Alexandrium pacificum, with Low Transcription of SXT-Biosynthesis Genes sxtA4 and sxtG. Toxins 2021, 13, 733. [Google Scholar] [CrossRef]
- Mehariya, S.; Plöhn, M.; Leon-Vaz, A.; Patel, A.; Funk, C. Improving the content of high value compounds in Nordic Desmodesmus microalgal strains. Bioresour. Technol. 2022, 359, 127445. [Google Scholar] [CrossRef]
- Yu, C.; Hu, Y.; Zhang, Y.; Luo, W.; Zhang, J.; Xu, P.; Qian, J.; Li, J.; Yu, J.; Liu, J.; et al. Concurrent enhancement of biomass production and phycocyanin content in salt-stressed Arthrospira platensis: A glycine betaine- supplementation approach. Chemosphere 2024, 353, 141387. [Google Scholar] [CrossRef]
- Moriasi, D.N.; Arnold, J.G.; Liew, M.; Bingner, R.L.; Harmel, R.D.; Veith, T.L. Model Evaluation Guidelines for Systematic Quantification of Accuracy in Watershed Simulations. Trans. ASABE 2007, 50, 885–900. [Google Scholar] [CrossRef]
- Ross, T. Indices for performance evaluation of predictive models in food microbiology. J. Appl. Bacteriol. 1996, 81, 501–508. [Google Scholar] [CrossRef]
- Paliwal, C.; Mitra, M.; Bhayani, K.; Bharadwaj, S.V.V.; Ghosh, T.; Dubey, S.; Mishra, S. Abiotic stresses as tools for metabolites in microalgae. Bioresour. Technol. 2017, 244 Pt 2, 1216–1226. [Google Scholar] [CrossRef] [PubMed]
- Seoane, S.; Zapata, M.; Orive, E. Growth rates and pigment patterns of haptophytes isolated from estuarine waters. J. Sea Res. 2009, 62, 286–294. [Google Scholar] [CrossRef]
- Krinsky, N.I.; Johnson, E.J. Carotenoid actions and their relation to health and disease. Mol. Asp. Med. 2005, 26, 459–516. [Google Scholar] [CrossRef] [PubMed]
- Muthuirulappan, S.; Francis, S.P. Anti-cancer mechanism and possibility of nano-suspension formulations for a marine algae product fucoxanthin. Asian Pac. J. Cancer Prev. 2013, 14, 2213–2216. [Google Scholar] [CrossRef]
- González-Cardoso, M.; Cerón-García, M.; Navarro-López, E.; Molina-Miras, A.; Sánchez-Mirón, A.; Contreras-Gómez, A.; García-Camacho, F. Alternatives to Classic Solvents for the Isolation of Bioactive Compounds from Chrysochromulina rotalis. Bioresour. Technol. 2023, 379, 129057. [Google Scholar] [CrossRef] [PubMed]
- Smaoui, S.; Barkallah, M.; Ben Hlima, H.; Fendri, I.; Khaneghah, A.M.; Michaud, P.; Abdelkafi, S. Microalgae Xanthophylls: From Biosynthesis Pathway and Production Techniques to Encapsulation Development. Foods 2021, 10, 2835. [Google Scholar] [CrossRef]
- Zhao, Y.; Wang, H.-P.; Han, B.; Yu, X. Coupling of abiotic stresses and phytohormones for the production of lipids and high-value by-products by microalgae: A review. Bioresour. Technol. 2019, 274, 549–556. [Google Scholar] [CrossRef]
- Zapata, M.; Fraga, S.; Rodríguez, F.; Garrido, J. Pigment-based chloroplast types in dinoflagellates. Mar. Ecol. Prog. Ser. 2012, 465, 33–52. [Google Scholar] [CrossRef]
- Johansen, J.E.; Svec, W.A.; Liaaen-Jensen, S.; Haxo, F.T. Carotenoids of the dinophyceae. Phytochemistry 1974, 13, 2261–2271. [Google Scholar] [CrossRef]
- Molina-Miras, A.; López-Rosales, L.; Sánchez-Mirón, A.; Cerón-García, M.; Seoane-Parra, S.; García-Camacho, F.; Molina-Grima, E. Long-term culture of the marine dinoflagellate microalga Amphidinium carterae in an indoor LED-lighted raceway photobioreactor: Production of carotenoids and fatty acids. Bioresour. Technol. 2018, 265, 257–267. [Google Scholar] [CrossRef]
- Kichouh-Aiadi, S.; Gallardo-Rodríguez, J.J.; Cerón-García, M.C.; López-Rosales, L.; García-Camacho, F.; Sánchez-Mirón, A. Exploring the potential of epigenetic chemicals to increase metabolite production in the dinoflagellate microalga Amphidinium carterae. J.Appl. Phycol. 2024, 36, 1169–1179. [Google Scholar] [CrossRef]
- Ruivo, M.; Amorim, A.; Cartaxana, P. Effects of growth phase and irradiance on phytoplankton pigment ratios: Implications for chemotaxonomy in coastal waters. J. Plankton Res. 2011, 33, 1012–1022. [Google Scholar] [CrossRef]
- Latasa, M.; Berdalet, E. Effect of nitrogen or phosphorus starvation on pigment composition of cultured Heterocapsa sp. J. Plankton Res. 1994, 16, 83–94. [Google Scholar] [CrossRef]
- Macías-de la Rosa, A.; González-Cardoso, M.Á.; Cerón-García, M.d.C.; López-Rosales, L.; Gallardo-Rodríguez, J.J.; Seoane, S.; Sánchez-Mirón, A.; García-Camacho, F. Bioactives Overproduction through Operational Strategies in the Ichthyotoxic Microalga Heterosigma akashiwo Culture. Toxins 2023, 15, 349. [Google Scholar] [CrossRef] [PubMed]
- Haris, N.; Manan, H.; Jusoh, M.; Khatoon, H.; Katayama, T.; Kasan, N.A. Effect of different salinity on the growth performance and proximate composition of isolated indigenous microalgae species. Aquac. Rep. 2022, 22, 100925. [Google Scholar] [CrossRef]
- Ra, C.H.; Kang, C.-H.; Kim, N.K.; Lee, C.-G.; Kim, S.-K. Cultivation of four microalgae for biomass and oil production using a two-stage culture strategy with salt stress. Renew. Energy 2015, 80, 117–122. [Google Scholar] [CrossRef]
- Bigelow, N.; Barker, J.; Ryken, S.; Patterson, J.; Hardin, W.; Barlow, S.; Deodato, C.; Cattolico, R.A. Chrysochromulina sp.: A proposed lipid standard for the algal biofuel industry and its application to diverse taxa for screening lipid content. Algal Res. -Biomass Biofuels Bioprod. 2013, 2, 385–393. [Google Scholar] [CrossRef]
- Khoeyi, Z.A.; Seyfabadi, J.; Ramezanpour, Z. Effect of light intensity and photoperiod on biomass and fatty acid composition of the microalgae, Chlorella vulgaris. Aquac. Int. 2011, 20, 41–49. [Google Scholar] [CrossRef]
- Reitan, K.I.; Rainuzzo, J.R.; Olsen, Y. Effect of nutrient limitation on fatty acid and lipid content of marine microalgae. J. Phycol. 1994, 30, 972–979. [Google Scholar] [CrossRef]
- Fal, S.; Aasfar, A.; Rabie, R.; Smouni, A.; Arroussi, H.E. Salt induced oxidative stress alters physiological, biochemical and metabolomic responses of green microalga Chlamydomonas reinhardtii. Heliyon 2022, 8, e08811. [Google Scholar] [CrossRef]
- Mansour, M.P.; Frampton, D.M.F.; Nichols, P.D.; Volkman, J.K.; Blackburn, S.I. Lipid and fatty acid yield of nine stationary-phase microalgae: Applications and unusual C24–C28 polyunsaturated fatty acids. J. Appl. Phycol. 2005, 17, 287–300. [Google Scholar] [CrossRef]
- Molina-Miras, A.; López-Rosales, L.; Sánchez-Mirón, A.; López-Rodríguez, M.; Cerón-García, M.; García-Camacho, F.; Molina-Grima, E. Influence of culture medium recycling on the growth of a marine dinoflagellate microalga and bioactives production in a raceway photobioreactor. Algal Res. 2020, 47, 101820. [Google Scholar] [CrossRef]
- Kobayashi, J.; Kubota, T. Bioactive metabolites from marine dinoflagellates. In Comprehensive Natural Products II; Elsevier: Oxford, UK, 2010; pp. 263–325. [Google Scholar] [CrossRef]
- Abreu, A.C.; Molina-Miras, A.; Aguilera-Sáez, L.M.; López-Rosales, L.; Cerón-García, M.d.C.; Sánchez-Mirón, A.; Olmo-García, L.; Carrasco-Pancorbo, A.; García-Camacho, F.; Molina-Grima, E.; et al. Production of Amphidinols and Other Bioproducts of Interest by the Marine Microalga Amphidinium carterae Unraveled by Nuclear Magnetic Resonance Metabolomics Approach Coupled to Multivariate Data Analysis. J. Agric. Food Chem. 2019, 67, 9667–9682. [Google Scholar] [CrossRef] [PubMed]
- Gallardo-Rodríguez, J.; Astuya-Villalón, A.; Avello, V.; Llanos-Rivera, A.; Krock, B.; Agurto-Muñoz, C.; Sánchez-Mirón, A.; García-Camacho, F. Production of extracts with anaesthetic activity from the culture of Heterosigma akashiwo in pilot-scale photobioreactors. Algal Res. 2020, 45, 101760. [Google Scholar] [CrossRef]
- La Rosa, A.M.-D.; López-Rosales, L.; Cerón-García, M.; Molina-Miras, A.; Soriano-Jerez, Y.; Sánchez-Mirón, A.; Seoane, S.; García-Camacho, F. Assessment of the marine microalga Chrysochromulina rotalis as bioactive feedstock cultured in an easy-to-deploy light-emitting-diode-based tubular photobioreactor. Bioresour. Technol. 2023, 389, 129818. [Google Scholar] [CrossRef]
- Lim, P.T.; Ogata, T. Salinity effect on growth and toxin production of four tropical Alexandrium species (Dinophyceae). Toxicon 2005, 45, 699–710. [Google Scholar] [CrossRef] [PubMed]
- Guillard, R.R.; Ryther, J.H. Studies of marine planktonic diatoms. I. cyclotella nana Hustedt, and Detonula confervacea (cleve). Gran. Can. J. Microbiol. 1962, 8, 229–239. [Google Scholar] [CrossRef]
- Zhu, C.J.; Lee, Y.K. Determination of biomass dry weight of marine microalgae. J. Appl. Phycol. 1997, 9, 189–194. [Google Scholar] [CrossRef]
- Molina-Miras, A.; Morales-Amador, A.; de Vera, C.; López-Rosales, L.; Sánchez-Mirón, A.; Souto, M.; Fernández, J.; Norte, M.; García-Camacho, F.; Molina-Grima, E. A pilot-scale bioprocess to produce amphidinols from the marine microalga Amphidinium carterae: Isolation of a novel analogue. Algal Res. 2018, 31, 87–98. [Google Scholar] [CrossRef]
- Cerón-García, M.C.; González-López, C.V.; Camacho-Rodríguez, J.; López-Rosales, L.; García-Camacho, F.; Molina-Grima, E. Maximizing carotenoid extraction from microalgae used as food additives and determined by liquid chromatography (HPLC). Food Chem. 2018, 257, 316–324. [Google Scholar] [CrossRef]
- Hemker, F.; Zielasek, F.; Jahns, P. Combined high light and salt stress enhances accumulation of PsbS and zeaxanthin in Chlamydomonas reinhardtii. Physiol. Plant. 2024, 176, e14233. [Google Scholar] [CrossRef] [PubMed]
- Rodríguez-Ruiz, J.; Belarbi, E.-H.; Sánchez, J.L.G.; Alonso, D.L. Rapid simultaneous lipid extraction and transesterification for fatty acid analyses. Biotechnol. Tech. 1998, 12, 689–691. [Google Scholar] [CrossRef]






| Microalgae | Salinity, PSU | [NO3]0−1, μM | [NO3]F−1, μM | [PO4]0−3, μM | [PO4]F−3, μM |
|---|---|---|---|---|---|
| C. rotalis | 5 | 893.62 ± 2.61 | 1.92 ± 0.20 | 176.43 ± 0.05 | 0.00 ± 0.00 |
| 10 | 897.66 ± 1.87 | 0.88 ± 0.02 | 174.71 ± 0.23 | 0.61 ± 0.05 | |
| 20 | 882.41 ± 5.23 | 1.08 ± 0.05 | 180.12 ± 0.72 | 0.12 ± 0.01 | |
| 30 | 880.03 ± 0.12 | 1.18 ± 0.24 | 182.34 ± 0.05 | 0.00 ± 0.00 | |
| 40 | 893.60 ± 2.16 | 0.24 ± 0.03 | 180.00 ± 0.60 | 1.03 ± 0.05 | |
| 50 | 872.42 ± 0.83 | 0.88 ± 0.05 | 183.70 ± 1.45 | 0.47 ± 0.03 | |
| A. carterae | 5 | 873.10 ± 3.25 | 0.46 ± 0.10 | 181.09 ± 0.05 | 0.55 ± 0.09 |
| 10 | 887.66 ± 5.57 | 2.08 ± 0.02 | 179.22 ± 0.03 | 0.10 ± 0.05 | |
| 20 | 892.41 ± 3.26 | 0.08 ± 0.02 | 180.04 ± 1.23 | 0.00 ± 0.00 | |
| 30 | 883.69 ± 3.57 | 2.98 ± 0.54 | 181.11 ± 0.08 | 0.00 ± 0.00 | |
| 40 | 893.45 ± 7.44 | 0.00 ± 0.00 | 189.10 ± 0.00 | 0.00 ± 0.00 | |
| 50 | 880.66 ± 4.10 | 0.18 ± 0.02 | 186.65 ± 0.02 | 0.00 ± 0.03 | |
| H. akashiwo | 5 | 883.09 ± 6.14 | 0.00 ± 0.00 | 188.66 ± 0.75 | 0.00 ± 0.00 |
| 10 | 877.43 ± 1.00 | 0.03 ± 0.01 | 189.03 ± 3.03 | 0.06 ± 0.00 | |
| 20 | 889.07 ± 2.49 | 0.01 ± 0.00 | 182.25 ± 1.27 | 1.23 ± 0.01 | |
| 30 | 880.47 ± 0.66 | 0.18 ± 0.01 | 180.05 ± 0.25 | 0.72 ± 0.01 | |
| 40 | 878.23 ± 7.06 | 0.59 ± 0.03 | 184.70 ± 4.09 | 0.09 ± 0.01 | |
| 50 | 882.29 ± 4.03 | 0.00 ± 0.00 | 183.00 ± 1.75 | 1.98 ± 0.06 |
| Microalgae | RMSE | Af | Bf | r2 | (Ref.) |
|---|---|---|---|---|---|
| C. rotalis | 0.434 | 1.027 | 1.002 | 0.953 | This work |
| A. carterae | 1.051 | 1.184 | 1.110 | 0.938 | This work |
| H. akashiwo | 0.397 | 1.044 | 1.003 | 0.938 | This work |
| A. pacificum | 1.059 | 1.000 | 0.999 | 0.999 | [38] |
| Desmodesmus sp. | 0.018 | 1.032 | 0.997 | 0.977 | [39] |
| A. platensis | 0.010 | 1.005 | 1.049 | 0.972 | [40] |
Disclaimer/Publisher’s Note: The statements, opinions and data contained in all publications are solely those of the individual author(s) and contributor(s) and not of MDPI and/or the editor(s). MDPI and/or the editor(s) disclaim responsibility for any injury to people or property resulting from any ideas, methods, instructions or products referred to in the content. |
© 2024 by the authors. Licensee MDPI, Basel, Switzerland. This article is an open access article distributed under the terms and conditions of the Creative Commons Attribution (CC BY) license (https://creativecommons.org/licenses/by/4.0/).
Share and Cite
Macías-de la Rosa, A.; López-Rosales, L.; Contreras-Gómez, A.; Sánchez-Mirón, A.; García-Camacho, F.; Cerón-García, M.d.C. Salinity as an Abiotic Stressor for Eliciting Bioactive Compounds in Marine Microalgae. Toxins 2024, 16, 425. https://doi.org/10.3390/toxins16100425
Macías-de la Rosa A, López-Rosales L, Contreras-Gómez A, Sánchez-Mirón A, García-Camacho F, Cerón-García MdC. Salinity as an Abiotic Stressor for Eliciting Bioactive Compounds in Marine Microalgae. Toxins. 2024; 16(10):425. https://doi.org/10.3390/toxins16100425
Chicago/Turabian StyleMacías-de la Rosa, Adrián, Lorenzo López-Rosales, Antonio Contreras-Gómez, Asterio Sánchez-Mirón, Francisco García-Camacho, and María del Carmen Cerón-García. 2024. "Salinity as an Abiotic Stressor for Eliciting Bioactive Compounds in Marine Microalgae" Toxins 16, no. 10: 425. https://doi.org/10.3390/toxins16100425
APA StyleMacías-de la Rosa, A., López-Rosales, L., Contreras-Gómez, A., Sánchez-Mirón, A., García-Camacho, F., & Cerón-García, M. d. C. (2024). Salinity as an Abiotic Stressor for Eliciting Bioactive Compounds in Marine Microalgae. Toxins, 16(10), 425. https://doi.org/10.3390/toxins16100425

