Electromechanical Modeling of Vibration-Based Piezoelectric Nanogenerator with Multilayered Cross-Section for Low-Power Consumption Devices
Abstract
1. Introduction
2. Analytical Modeling of the Nanogenerator
2.1. Design
2.2. Finite Element Method (FEM) Models
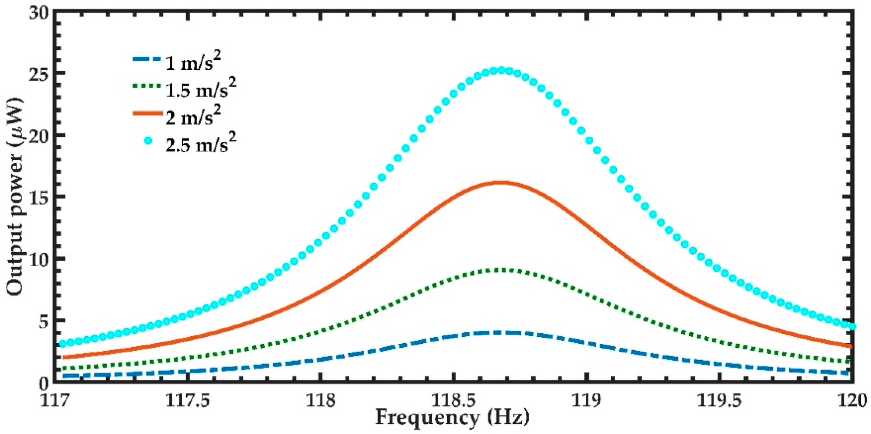
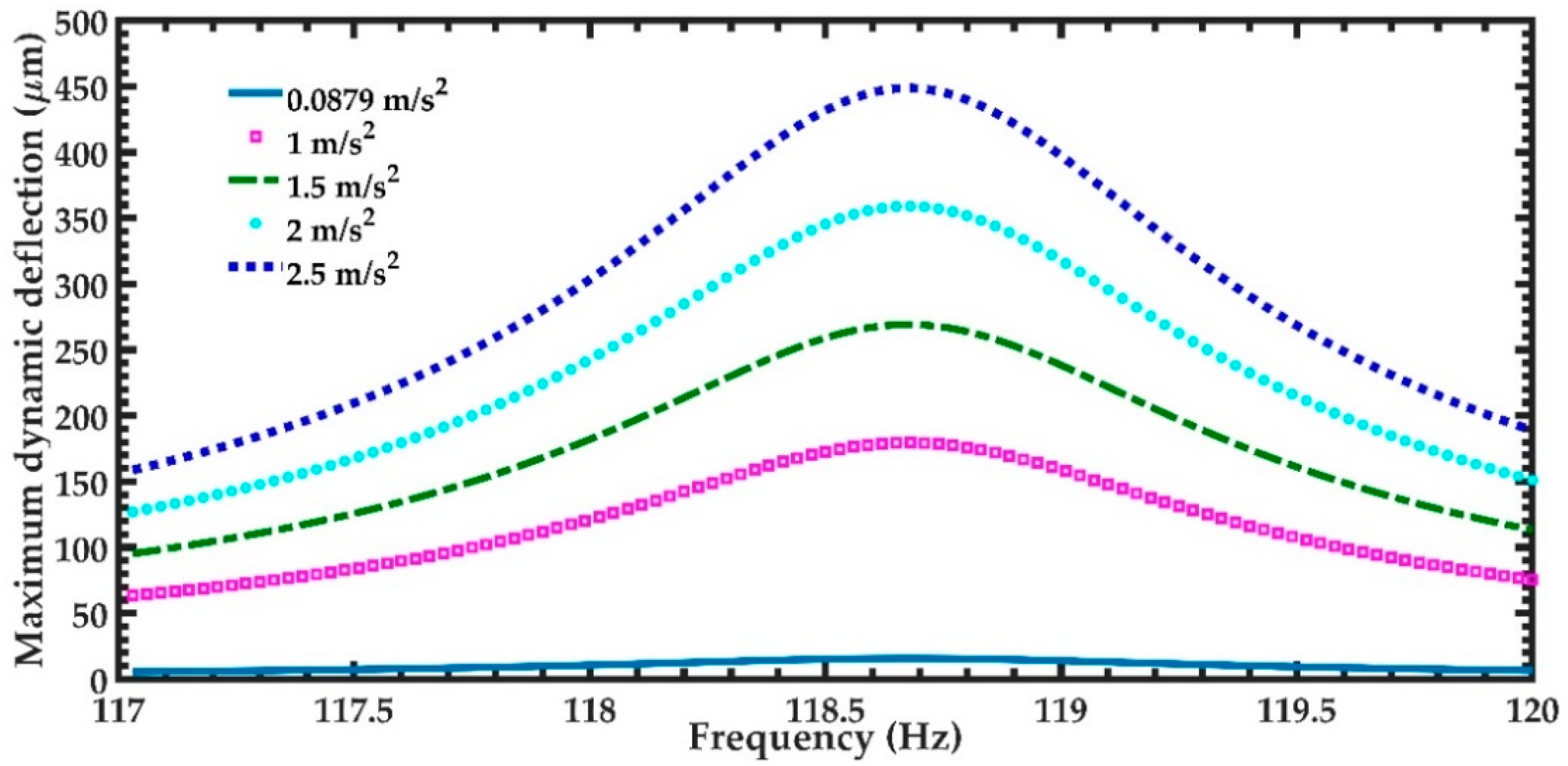
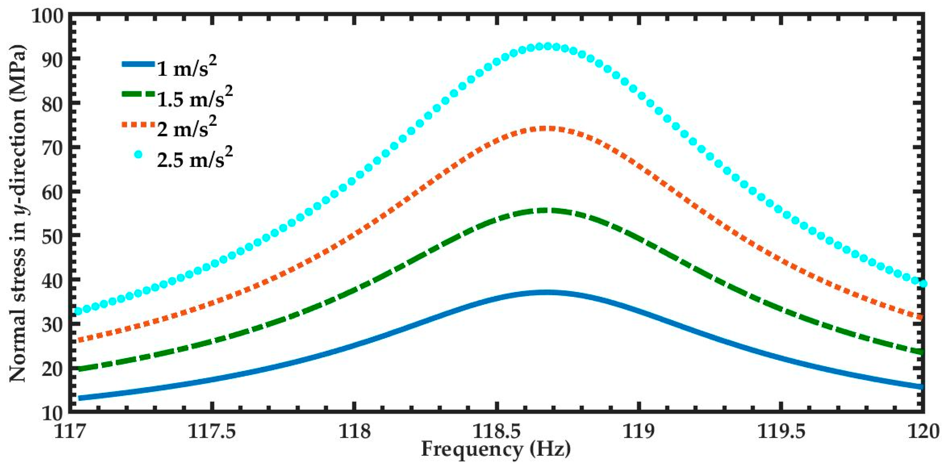
3. Results and Discussion
4. Conclusions
Author Contributions
Funding
Acknowledgments
Conflicts of Interest
Appendix A
References
- Mallick, D.; Constantinou, P.; Podder, P.; Roy, S. Multi-frequency MEMS electromagnetic energy harvesting. Sens. Actuators A Phys. 2017, 264, 247–259. [Google Scholar] [CrossRef]
- Li, X.; Upadrashta, D.; Yu, K.; Yang, Y. Analytical modeling and validation of multi-mode piezoelectric energy harvester. Mech. Syst. Signal Process. 2019, 124, 613–631. [Google Scholar] [CrossRef]
- Zhang, H.; Marty, F.; Xia, X.; Zi, Y.; Bourouina, T.; Galayko, D.; Basset, P. Employing a MEMS plasma switch for conditioning high-voltage kinetic energy harvesters. Nat. Commun. 2020, 11, 3221. [Google Scholar] [CrossRef]
- Debnath, B.; Kumar, R. A new Tapered-L shaped springs based MEMS piezoelectric vibration energy harvester designed for small rolling bearing fault detection. Microsyst. Technol. 2020, 26, 2407–2422. [Google Scholar] [CrossRef]
- Saxena, S.; Sharma, R.; Pant, B.D. Fabrication process for very-low frequency operation of guided two-beam piezoelectric energy harvester. Microsyst. Technol. 2020, 26, 2479–2486. [Google Scholar] [CrossRef]
- Liu, J.; Zuo, H.; Xia, W.; Luo, Y.; Yao, D.; Chen, Y.; Wang, K.; Li, Q. Wind energy harvesting using piezoelectric macro fiber composites based on flutter mode. Microelectron. Eng. 2020, 231, 111333. [Google Scholar] [CrossRef]
- Yuan, H.; Lei, T.; Qin, Y.; Yang, R. Flexible electronic skins based on piezoelectric nanogenerators and piezotronics. Nano Energy 2019, 59, 84–90. [Google Scholar] [CrossRef]
- Jenkins, K.; Kelly, S.; Nguyen, V.; Wu, Y.; Yang, R. Piezoelectric diphenylalanine peptide for greatly improved flexible nanogenerators. Nano Energy 2018, 51, 317–323. [Google Scholar] [CrossRef]
- Ding, X.; Cao, H.; Zhang, X.; Li, M.; Liu, Y. Large Scale Triboelectric Nanogenerator and Self-Powered Flexible Sensor for Human Sleep Monitoring. Sensors 2018, 18, 1713. [Google Scholar] [CrossRef]
- Ali, S.; Khan, S.; Bermak, A. All-Printed Human Activity Monitoring and Energy Harvesting Device for Internet of Thing Applications. Sensors 2019, 19, 1197. [Google Scholar] [CrossRef]
- Rao, J.; Chen, Z.; Zhao, D.; Yin, Y.; Wang, X.; Yi, F. Recent Progress in Self-Powered Skin Sensors. Sensors 2019, 19, 2763. [Google Scholar] [CrossRef]
- Nguyen, V.; Kelly, S.; Yang, R. Piezoelectric peptide-based nanogenerator enhanced by single-electrode triboelectric nanogenerator. APL Mater. 2017, 5, 074108. [Google Scholar] [CrossRef]
- Nguyen, V.; Zhu, R.; Yang, R. Environmental effects on nanogenerators. Nano Energy 2015, 14, 49–61. [Google Scholar] [CrossRef]
- Blokhina, E.; El Aroudi, A.; Alarcon, E.; Galayko, D. Nonlinearity in Energy Harvesting Systems; Blokhina, E., El Aroudi, A., Alarcon, E., Galayko, D., Eds.; Springer International Publishing: Cham, Switzerland, 2016; ISBN 978-3-319-20354-6. [Google Scholar]
- Nunes-Pereira, J.; Costa, P.; Lanceros-Mendez, S. Piezoelectric Energy Production; Elsevier Ltd.: Amsterdam, The Netherlands, 2018; Volume 3–5, ISBN 9780128095973. [Google Scholar]
- Beeby, S.P.; Torah, R.N.; Tudor, M.J.; Glynne-Jones, P.; O’Donnell, T.; Saha, C.R.; Roy, S. A micro electromagnetic generator for vibration energy harvesting. J. Micromech. Microeng. 2007, 17, 1257–1265. [Google Scholar] [CrossRef]
- Jia, Y.; Wei, X.; Xu, L.; Wang, C.; Lian, P.; Xue, S.; Al-Saadi, A.; Shi, Y. Multiphysics vibration FE model of piezoelectric macro fibre composite on carbon fibre composite structures. Compos. Part B Eng. 2019, 161, 376–385. [Google Scholar] [CrossRef]
- Zhang, G.; Gao, S.; Liu, H.; Zhang, W. Design and performance of hybrid piezoelectric-electromagnetic energy harvester with trapezoidal beam and magnet sleeve. J. Appl. Phys. 2019, 125. [Google Scholar] [CrossRef]
- Homayouni-Amlashi, A.; Mohand-Ousaid, A.; Rakotondrabe, M. Analytical Modelling and Optimization of a Piezoelectric Cantilever Energy Harvester with In-Span Attachment. Micromachines 2020, 11, 59. [Google Scholar] [CrossRef] [PubMed]
- Tao, K.; Xue, B.; Li, Q.; Hu, W.; Shimon, L.J.M.; Makam, P.; Si, M.; Yan, X.; Zhang, M.; Cao, Y.; et al. Stable and optoelectronic dipeptide assemblies for power harvesting. Mater. Today 2019, 30, 10–16. [Google Scholar] [CrossRef]
- Yin, X.; Liu, D.; Zhou, L.; Li, X.; Xu, G.; Liu, L.; Li, S.; Zhang, C.; Wang, J.; Wang, Z.L. A Motion Vector Sensor via Direct-Current Triboelectric Nanogenerator. Adv. Funct. Mater. 2020, 30, 2002547, in press. [Google Scholar] [CrossRef]
- Feng, Y.; Jiang, T.; Liang, X.; An, J.; Wang, Z.L. Cylindrical triboelectric nanogenerator based on swing structure for efficient harvesting of ultra-low-frequency water wave energy. Appl. Phys. Rev. 2020, 7, 021401. [Google Scholar] [CrossRef]
- Wu, Z.; Cheng, T.; Wang, Z.L. Self-Powered Sensors and Systems Based on Nanogenerators. Sensors 2020, 20, 2925. [Google Scholar] [CrossRef] [PubMed]
- Wu, C.; Huang, H.; Li, R.; Fan, C. Research on the Potential of Spherical Triboelectric Nanogenerator for Collecting Vibration Energy and Measuring Vibration. Sensors 2020, 20, 1063. [Google Scholar] [CrossRef] [PubMed]
- Chen, J.; Zhang, C.; Xuan, W.; Yu, L.; Dong, S.; Xie, Y.; Yin, W.; Luo, J. Triboelectric Nanogenerator-Based Self-Powered Resonant Sensor for Non-Destructive Defect Detection. Sensors 2019, 19, 3262. [Google Scholar] [CrossRef] [PubMed]
- Akhtar, F.; Rehmani, M.H. Energy replenishment using renewable andtraditional energy resources for sustainable wireless sensor networks: A review. Renew. Sustain. Energy Rev. 2015, 1, 769–784. [Google Scholar] [CrossRef]
- Aleksandrova, M.; Kolev, G.; Vucheva, Y.; Pathan, H.; Denishev, K. Characterization of piezoelectric microgenerator with nanobranched ZnO grown on a polymer coated flexible substrate. Appl. Sci. 2017, 7, 890. [Google Scholar] [CrossRef]
- Prušáková, L.; Novák, P.; Kulha, P.; Očenášek, J.; Savková, J.; Pastorek, L.; Šutta, P. Modeling and fabrication of single cantilever piezoelectric microgenerator with optimized Zno active layer. Thin Solid Films 2015, 591, 305–310. [Google Scholar] [CrossRef]
- Gu, L.; Liu, J.; Cui, N.; Xu, Q.; Du, T.; Zhang, L.; Wang, Z.; Long, C.; Qin, Y. Enhancing the current density of a piezoelectric nanogenerator using a three-dimensional intercalation electrode. Nat. Commun. 2020, 11, 1030. [Google Scholar] [CrossRef] [PubMed]
- Bairagi, S.; Ghosh, S.; Ali, S.W. A fully sustainable, self-poled, bio-waste based piezoelectric nanogenerator: Electricity generation from pomelo fruit membrane. Sci. Rep. 2020, 10, 12121. [Google Scholar] [CrossRef]
- Koç, M.; Paralı, L.; San, O. Fabrication and vibrational energy harvesting characterization of flexible piezoelectric nanogenerator (PEN) based on PVDF/PZT. Polym. Test. 2020, 90, 106695. [Google Scholar] [CrossRef]
- Lee, D.W.; Jeong, D.G.; Kim, J.H.; Kim, H.S.; Murillo, G.; Lee, G.H.; Song, H.C.; Jung, J.H. Polarization-controlled PVDF-based hybrid nanogenerator for an effective vibrational energy harvesting from human foot. Nano Energy 2020, 76, 105066. [Google Scholar] [CrossRef]
- Yang, P.K.; Chou, S.A.; Hsu, C.H.; Mathew, R.J.; Chiang, K.H.; Yang, J.Y.; Chen, Y.T. Tin disulfide piezoelectric nanogenerators for biomechanical energy harvesting and intelligent human-robot interface applications. Nano Energy 2020, 75, 104879. [Google Scholar] [CrossRef]
- Manjula, Y.; Kumar, R.R.; Raju, P.M.S.; Kumar, G.A.; Rao, T.V.; Akshaykranth, A.; Supraja, P. Piezoelectric flexible nanogenerator based on ZnO nanosheet networks for mechanical energy harvesting. Chem. Phys. 2020, 533, 110699. [Google Scholar] [CrossRef]
- Qian, F.; Zhou, S.; Zuo, L. Improving the off-resonance energy harvesting performance using dynamic magnetic preloading. Acta Mech. Sin. 2020, 36, 624–634. [Google Scholar] [CrossRef]
- Roundy, S.; Wright, P.K. A piezoelectric vibration based generator for wireless electronics. Smart Mater. Struct. 2004, 13, 1131. [Google Scholar] [CrossRef]
- Martínez-Cisneros, E.; Velosa-Moncada, L.A.; Del Angel-Arroyo, J.A.; Aguilera-Cortés, L.A.; Cerón-Álvarez, C.A.; Herrera-May, A.L. Electromechanical Modeling of MEMS-Based Piezoelectric Energy Harvesting Devices for Applications in Domestic Washing Machines. Energies 2020, 13, 617. [Google Scholar] [CrossRef]
- Elvira-Hernández, E.A.; Uscanga-González, L.A.; de León, A.; López-Huerta, F.; Herrera-May, A.L. Electromechanical Modeling of a Piezoelectric Vibration Energy Harvesting Microdevice Based on Multilayer Resonator for Air Conditioning Vents at Office Buildings. Micromachines 2019, 10, 211. [Google Scholar] [CrossRef]
- Qin, Y.; Wei, T.; Zhao, Y.; Chen, H. Simulation and experiment on bridge-shaped nonlinear piezoelectric vibration energy harvester. Smart Mater. Struct. 2019, 28, 045015. [Google Scholar] [CrossRef]
- Abdelkefi, A.; Barsallo, N. Nonlinear analysis and power improvement of broadband low-frequency piezomagnetoelastic energy harvesters. Nonlinear Dyn. 2016, 83, 41–56. [Google Scholar] [CrossRef]
- Dutoit, N.E.; Wardle, B.L.; Kim, S.-G. Design Considerations for MEMS-Scale Piezoelectric Mechanical Vibration Energy Harvesters. Integr. Ferroelectr. 2005, 71, 121–160. [Google Scholar] [CrossRef]
- Damya, A.; Abbaspour Sani, E.; Rezazadeh, G. An innovative piezoelectric energy harvester using clamped–clamped beam with proof mass for WSN applications. Microsyst. Technol. 2020, 26, 3203–3211. [Google Scholar] [CrossRef]
- Wang, Z.; Matova, S.; Elfrink, R.; Jambunathan, M.; de Nooijer, C.; van Schaijk, R.; Vullers, R.J.M. A piezoelectric vibration harvester based on clamped-guided beams. In Proceedings of the 2012 IEEE 25th International Conference on Micro Electro Mechanical Systems (MEMS), Paris, France, 29 January–2 February 2012; pp. 1201–1204. [Google Scholar] [CrossRef]
- Pan, C.T.; Liu, Z.H.; Chen, Y.C. Study of broad bandwidth vibrational energy harvesting system with optimum thickness of PET substrate. Curr. Appl. Phys. 2012, 12, 684–696. [Google Scholar] [CrossRef]
- Panda, P.K. Review: Environmental friendly lead-free piezoelectric materials. J. Mater. Sci. 2009, 44, 5049–5062. [Google Scholar] [CrossRef]
- Lee, L.T.; Mohamed, M.A.; Yahya, I.; Kulothungan, J.; Muruganathan, M.; Mizuta, H. Comparison of piezoelectric energy harvesting performance using silicon and graphene cantilever beam. Microsyst. Technol. 2018, 24, 3783–3789. [Google Scholar] [CrossRef]
- Rao, S.S. Vibration of Continuous Systems, 2nd ed.; Wiley: Hoboken, NJ, USA, 2020. [Google Scholar]
- Herrera-May, A.L.; García-Ramírez, P.J.; Aguilera-Cortés, L.A.; Plascencia-Mora, H.; García-González, L.; Manjarrez, E.; Narducci, M.; Figueras, E. Analytical modeling for the bending resonant frequency of sensors based on micro and nanoresonators with complex structural geometry. IEEE Sens. J. 2011, 11, 1361–1374. [Google Scholar] [CrossRef]
- Vasiliev, V.; Morozov, E. Mechanics and Analysis of Composite Materials, 1st ed.; Elsevier: Amsterdam, The Netherlands, 2001. [Google Scholar]
- Weaver, W., Jr.; Timoshenko, S.P.; Young, D.H. Vibration Problems in Engineering, 5th ed.; John Wiley & Sons: New York, NY, USA, 1990. [Google Scholar]
- Bauchau, O.A.; Craig, J.I. Euler-Bernoulli beam theory. In Structural Analysis. Solid Mechanics and Its Applications; Bauchau, O.A., Craig, J.I., Eds.; Springer: Dordrecht, The Netherlands, 2009; Volume 163. [Google Scholar] [CrossRef]
- Craig, R.R., Jr. Mechanics of Materials, 1st ed.; Wiley: New York, NY, USA, 1996. [Google Scholar]
- Cimalla, V.; Foerster, C.; Will, F.; Tonisch, K.; Brueckner, K.; Stephan, R.; Mein, M.E.; Ambacher, O.; Aperathitis, E. Pulsed mode operation of strained microelectromechanical resonators in air. Appl. Phys. Lett. 2006, 88, 253501. [Google Scholar] [CrossRef]
- Vignola, J.F.; Judge, J.A.; Jarzynski, J.; Zalalutdinov, M.; Houston, B.H.; Baldwin, J.W. Effect of viscous loss on mechanical resonators designed for mass detection. Appl. Phys. Lett. 2006, 88, 041921. [Google Scholar] [CrossRef]
- Blom, F.R.; Bouwstra, S.; Elwenspoek, M.; Fluitman, J.H.J. Dependence of the quality factor of micromachined silicon beam resonators on pressure and geometry. J. Vac. Sci. Technol. B Microelectron. Nanom. Struct. 1992, 10, 19. [Google Scholar] [CrossRef]
- Kuang, Y.; Daniels, A.; Zhu, M. A sandwiched piezoelectric transducer with flex end-caps for energy harvesting in large force environments. J. Phys. D Appl. Phys. 2017, 50, 345501. [Google Scholar] [CrossRef]
- Ong, C.W.; Zong, D.G.; Aravind, M.; Choy, C.L.; Lu, D.R. Tensile strength of zinc oxide films measured by a microbridge method. J. Mater. Res. 2003, 18, 2464–2472. [Google Scholar] [CrossRef]
- Champagne, M.F.; Huneault, M.A.; Roux, C.; Peyrel, W. Reactive compatibilization of polypropylene/polyethylene terephthalate blends. Polym. Eng. Sci. 1999, 39, 976–984. [Google Scholar] [CrossRef]

















| Geometric Parameter | Magnitude | 
|---|---|
| L1 = L5 | 4 mm | 
| L2= L4 | 3 mm | 
| L3 | 38 mm | 
| t1S1 = t2S1 = t3S1 = t1S5 = t2S5 = t3S5 | 100 nm | 
| t4S1 = t4S2 = t4S3 = t4S4 = t4S5 | 125 μm | 
| t5S3 | 910 μm | 
| h1S1 = h1S5 | 100 nm | 
| h2S1 = h2S5 | 200 nm | 
| h3S1 = h3S5 | 300 nm | 
| h4S1 = h4S2 = h4S3 = h4S4 = h4S5 | 125.3 μm | 
| h5S3 | 1035.3 μm | 
| Parameter | Magnitude | 
|---|---|
| M0 = M1 | 14.5893 × 10−6 Nm | 
| R0 = R1 | 3.9499 × 10−3 N | 
| ωS1 = ωS5 | 24.1883 × 10−3 N/m | 
| ωS2 = ωS4 | 24.0345 × 10−3 N/m | 
| ωS3 | 199.0056 N/m | 
| (EIz)S1 = (EIz)S5 | 6.8714 × 10−6 Nm2 | 
| (EIz)S2 = (EIz)S4 | 5.4687 × 10−6 Nm2 | 
| (EIz)S3 | 3.1044 × 10−3 Nm2 | 
| Material Property | PET | Aluminum | ZnO | 
|---|---|---|---|
| Young modulus E (GPa) | 2.4 | 71 | 137 | 
| Density ρ (k/m3) | 1400 | 2770 | 5665 | 
| Poisson ratio υ | 0.36 | 0.33 | 0.34 | 
| ZnO piezoelectric stress matrix (e) | 
| ZnO piezoelectric dielectric matrix (εr) under the constant strain. | 
| Acceleration (m/s2) | Total Output Power (µW) | Total Output Power Density (W/m3) | 
|---|---|---|
| 8.79 × 10−2 | 62.36 × 10−3 | 101.82 × 10−3 | 
| 1.0 | 8.06 | 13.16 | 
| 1.5 | 18.14 | 29.62 | 
| 2.0 | 32.28 | 52.71 | 
| 2.5 | 50.44 | 82.36 | 
© 2020 by the authors. Licensee MDPI, Basel, Switzerland. This article is an open access article distributed under the terms and conditions of the Creative Commons Attribution (CC BY) license (http://creativecommons.org/licenses/by/4.0/).
Share and Cite
Elvira-Hernández, E.A.; Anaya-Zavaleta, J.C.; Martínez-Cisneros, E.; López-Huerta, F.; Aguilera-Cortés, L.A.; Herrera-May, A.L. Electromechanical Modeling of Vibration-Based Piezoelectric Nanogenerator with Multilayered Cross-Section for Low-Power Consumption Devices. Micromachines 2020, 11, 860. https://doi.org/10.3390/mi11090860
Elvira-Hernández EA, Anaya-Zavaleta JC, Martínez-Cisneros E, López-Huerta F, Aguilera-Cortés LA, Herrera-May AL. Electromechanical Modeling of Vibration-Based Piezoelectric Nanogenerator with Multilayered Cross-Section for Low-Power Consumption Devices. Micromachines. 2020; 11(9):860. https://doi.org/10.3390/mi11090860
Chicago/Turabian StyleElvira-Hernández, Ernesto A., Juan C. Anaya-Zavaleta, Eustaquio Martínez-Cisneros, Francisco López-Huerta, Luz Antonio Aguilera-Cortés, and Agustín L. Herrera-May. 2020. "Electromechanical Modeling of Vibration-Based Piezoelectric Nanogenerator with Multilayered Cross-Section for Low-Power Consumption Devices" Micromachines 11, no. 9: 860. https://doi.org/10.3390/mi11090860
APA StyleElvira-Hernández, E. A., Anaya-Zavaleta, J. C., Martínez-Cisneros, E., López-Huerta, F., Aguilera-Cortés, L. A., & Herrera-May, A. L. (2020). Electromechanical Modeling of Vibration-Based Piezoelectric Nanogenerator with Multilayered Cross-Section for Low-Power Consumption Devices. Micromachines, 11(9), 860. https://doi.org/10.3390/mi11090860
 
        




 
                         
       