Dual-Band MIMO Antenna for 5G/WLAN Mobile Terminals
Abstract
1. Introduction
2. Antenna Geometry
3. Antenna Analysis
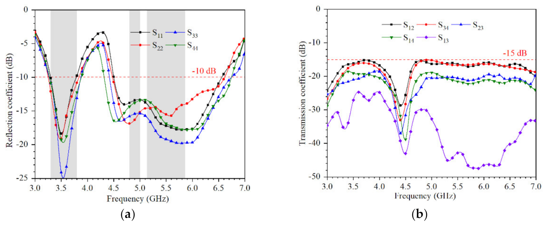
4. Experimental Results and Discussion
5. Conclusions
Author Contributions
Funding
Institutional Review Board Statement
Informed Consent Statement
Data Availability Statement
Conflicts of Interest
References
- Jamshed, M.A.; Ur-Rehman, M.; Frnda, J.; Althuwayb, A.A.; Nauman, A.; Cengiz, K. Dual Band and Dual Diversity Four-Element MIMO Dipole for 5G Handsets. Sensors 2021, 21, 767. [Google Scholar] [CrossRef] [PubMed]
- Seyyedesfahlan, M.; Uzun, A.; Skrivervik, A.K.; Tekin, I. Wideband Multiport Antennas. Sensors 2020, 20, 6960. [Google Scholar] [CrossRef]
- Ojaroudi Parchin, N.; Jahanbakhsh Basherlou, H.; Abd-Alhameed, R.A. Design of Multi-Mode Antenna Array for Use in Next-Generation Mobile Handsets. Sensors 2020, 20, 2447. [Google Scholar] [CrossRef]
- Liu, D.Q.; Zhang, M.; Luo, H.J.; Wen, H.L.; Wang, J. Dual-Band Platform-Free PIFA for 5G MIMO Application of Mobile Devices. IEEE Trans. Antennas Propag. 2018, 66, 6328–6333. [Google Scholar] [CrossRef]
- Liu, Y.; Cui, W.; Jia, Y.; Ren, A. Hepta-Band Metal-Frame Antenna for LTE/WWAN Full-Screen Smartphone. IEEE Antennas Wirel. Propag. Lett. 2020, 19, 1241–1245. [Google Scholar] [CrossRef]
- Barani, I.R.R.; Wong, K. Integrated Inverted-F and Open-Slot Antennas in the Metal-Framed Smartphone for 2 × 2 LTE LB and 4 × 4 LTE M/HB MIMO Operations. IEEE Trans. Antennas Propag. 2018, 66, 5004–5012. [Google Scholar] [CrossRef]
- Jehangir, S.S.; Sharawi, M.S. A Compact Single-layer Four-port Orthogonally Polarized Yagi-like MIMO Antenna System. IEEE Trans. Antennas Propag. 2020, 68, 6372–6377. [Google Scholar] [CrossRef]
- Sun, L.; Li, Y.; Zhang, Z.; Wang, H. Self-Decoupled MIMO Antenna Pair with Shared Radiator for 5G Smartphones. IEEE Trans. Antennas Propag. 2020, 68, 3423–3432. [Google Scholar] [CrossRef]
- Wong, K.; Chang, H.; Chen, J.; Wang, K. Three Wideband Monopolar Patch Antennas in a Y-shape Structure for 5G Multi-Input–Multi-Output Access Points. IEEE Antennas Wirel. Propag. Lett. 2020, 19, 393–397. [Google Scholar] [CrossRef]
- Zhang, X.; Li, Y.; Wang, W.; Shen, W. Ultra-Wideband 8-Port MIMO Antenna Array for 5G Metal-Frame Smartphones. IEEE Access 2019, 7, 72273–72282. [Google Scholar] [CrossRef]
- Chen, H.; Tsai, Y.; Sim, C.; Kuo, C. Broadband Eight-Antenna Array Design for Sub-6 GHz 5G NR Bands Metal-Frame Smartphone Applications. IEEE Antennas Wirel. Propag. Lett. 2020, 19, 1078–1082. [Google Scholar] [CrossRef]
- Guo, J.; Cui, L.; Li, C.; Sun, B. Side-Edge Frame Printed Eight-Port Dual-Band Antenna Array for 5G Smartphone Applications. IEEE Trans. Antennas Propag. 2018, 66, 7412–7417. [Google Scholar] [CrossRef]
- Huang, J.; Dong, G.; Cai, J.; Li, H.; Liu, G. A Quad-Port Dual-Band MIMO Antenna Array for 5G Smartphone Applications. Electronics 2021, 10, 542. [Google Scholar] [CrossRef]
- Jabire, A.H.; Ghaffar, A.; Li, X.J.; Abdu, A.; Saminu, S.; Alibakhshikenari, M.; Falcone, F.; Limiti, E. Metamaterial Based Design of Compact UWB/MIMO Monopoles Antenna with Characteristic Mode Analysis. Appl. Sci. 2021, 11, 1542. [Google Scholar] [CrossRef]
- Kumar, P.; Urooj, S.; Alrowais, F. Design and Implementation of Quad-Port MIMO Antenna with Dual-Band Elimination Characteristics for Ultra-Wideband Applications. Appl. Sci. 2020, 10, 1715. [Google Scholar] [CrossRef]
- Serghiou, D.; Khalily, M.; Singh, V.; Araghi, A.; Tafazolli, R. Sub-6 GHz Dual-band 8 × 8 MIMO Antenna for 5G Smartphones. IEEE Antennas Wirel. Propag. Lett. 2020, 19, 1546–1550. [Google Scholar] [CrossRef]
- Xu, Z.; Deng, C. High-isolated MIMO Antenna Design Based on Pattern Diversity for 5G Mobile Terminals. IEEE Antennas Wirel. Propag. Lett. 2020, 19, 467–471. [Google Scholar] [CrossRef]
- Ren, Z.; Zhao, A.; Wu, S. MIMO Antenna with Compact Decoupled Antenna Pairs for 5G Mobile Terminals. IEEE Antennas Wirel. Propag. Lett. 2019, 18, 1367–1371. [Google Scholar] [CrossRef]
- Saurabh, A.K.; Rathore, P.S.; Meshram, M.K. Compact Wideband Four-Element MIMO Antenna with High Isolation. Electron. Lett. 2020, 56, 117–119. [Google Scholar] [CrossRef]
- Li, Y.; Sim, C.; Luo, Y.; Yang, G. High-Isolation 3.5 GHz Eight-Antenna MIMO Array Using Balanced Open-Slot Antenna Element for 5G Smartphones. IEEE Trans. Antennas Propag. 2019, 67, 3820–3830. [Google Scholar] [CrossRef]
- Ojaroudi Parchin, N.; Jahanbakhsh Basherlou, H.; Al-Yasir, Y.I.A.; Abdulkhaleq, A.M.; Patwary, M.; Abd-Alhameed, R.A. A New CPW-Fed Diversity Antenna for MIMO 5G Smartphones. Electronics 2020, 9, 261. [Google Scholar] [CrossRef]
- Sun, L.; Li, Y.; Zhang, Z.; Feng, Z. Wideband 5G MIMO Antenna with Integrated Orthogonal-Mode Dual-Antenna Pairs for Metal-Rimmed Smartphones. IEEE Trans. Antennas Propag. 2020, 68, 2494–2503. [Google Scholar] [CrossRef]



















| Reference | Operating Band (GHz) | Isolation (dB) | ECC | Efficiency (%) | Size (mm3) |
|---|---|---|---|---|---|
| [3] | 2.45–2.65 3.4–3.75 5.6–6 | 11 | <0.01 | 40–65 50–70 60–80 | 20.5 × 6.5 × 0.8 |
| [4] | 3.3–6 | 11 | <0.1 | 40–71 | 15 × 6 × 3 |
| [10] | 3.3–3.6 4.8–5.0 | 10 | <0.15 | >60 | 7 × 15.5 × 0.8 |
| [11] | 3.3–6.0 | 12 | <0.11 | >50 | 9 × 7 × 2 |
| [13] | 3.4–3.6 4.8–5 | 16.5 | <0.02 | >70 | 14.9 × 7 × 0.8 |
| [18] | 3.4–3.6 | 17 | <0.1 | 58 | 25 × 3.5 × 0.8 |
| Proposed | 3.3–3.84 4.61–5.91 | 15 | <0.02 | >70 | 14.9 × 7 × 0.8 |
Publisher’s Note: MDPI stays neutral with regard to jurisdictional claims in published maps and institutional affiliations. |
© 2021 by the authors. Licensee MDPI, Basel, Switzerland. This article is an open access article distributed under the terms and conditions of the Creative Commons Attribution (CC BY) license (https://creativecommons.org/licenses/by/4.0/).
Share and Cite
Huang, J.; Dong, G.; Cai, Q.; Chen, Z.; Li, L.; Liu, G. Dual-Band MIMO Antenna for 5G/WLAN Mobile Terminals. Micromachines 2021, 12, 489. https://doi.org/10.3390/mi12050489
Huang J, Dong G, Cai Q, Chen Z, Li L, Liu G. Dual-Band MIMO Antenna for 5G/WLAN Mobile Terminals. Micromachines. 2021; 12(5):489. https://doi.org/10.3390/mi12050489
Chicago/Turabian StyleHuang, Jianlin, Guiting Dong, Qibo Cai, Zhizhou Chen, Limin Li, and Gui Liu. 2021. "Dual-Band MIMO Antenna for 5G/WLAN Mobile Terminals" Micromachines 12, no. 5: 489. https://doi.org/10.3390/mi12050489
APA StyleHuang, J., Dong, G., Cai, Q., Chen, Z., Li, L., & Liu, G. (2021). Dual-Band MIMO Antenna for 5G/WLAN Mobile Terminals. Micromachines, 12(5), 489. https://doi.org/10.3390/mi12050489

