High-Gain Wideband Circularly Polarised Fabry–Perot Resonator Array Antenna Using a Single-Layered Pixelated PRS for Millimetre-Wave Applications †
Abstract
1. Introduction
2. Proposed Wideband Single-Layered PRS FPRA Antenna
2.1. Proposed PRS Structure
2.2. Feeding Antenna
3. Design and Characterisation of the Single-Element Antenna
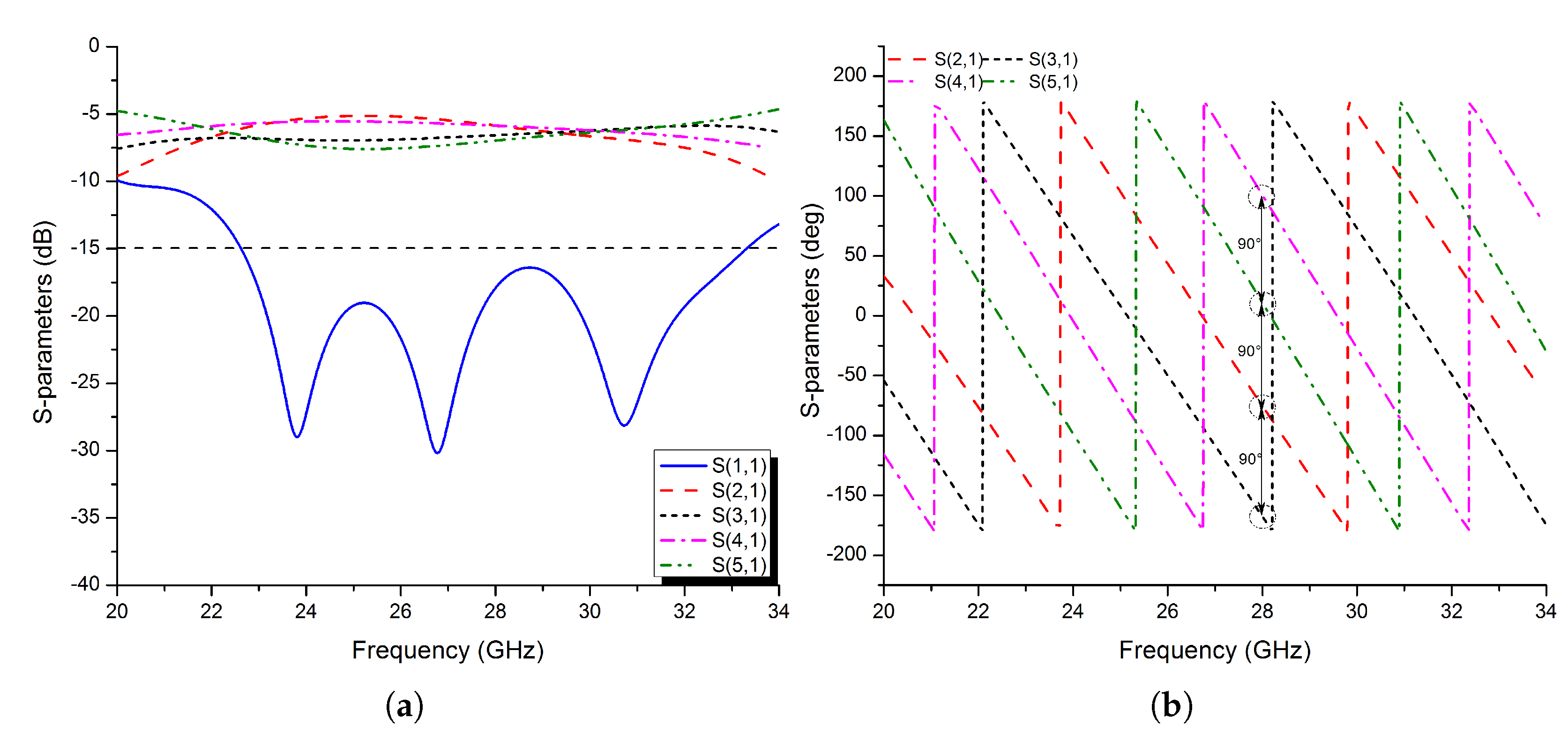
4. Design and Characterisation of 2 × 2 Elliptical Patch Antenna Sub-Array
4.1. Sequential Feeding Technique for 2 × 2 Sub-Array
4.2. 2 × 2 Antenna Array Configuration
5. Fabrication and Measurement Results of the 2 × 2 Elliptical Patch Antenna Sub-Array
6. Conclusions
Author Contributions
Funding
Data Availability Statement
Conflicts of Interest
References
- Melouki, N.; Hocini, A.; Denidni, T.A.; Fegriche, F.Z. High gain and Wideband Antenna using a synthesized PRS layer for Millimeter-Wave Applications. In Proceedings of the 2021 IEEE 19th International Symposium on Antenna Technology and Applied Electromagnetics (ANTEM), Winnipeg, MB, Canada, 8–11 August 2021; pp. 1–2. [Google Scholar]
- Mahajan, M.; Jyoti, R.; Sood, K.; Sharma, S.B. A method of generating simultaneous contoured and pencil beams from single shaped reflector antenna. IEEE Trans. Antennas Propag. 2013, 61, 5297–5301. [Google Scholar] [CrossRef]
- Deguchi, H.; Tsuji, M.; Shigesawa, H. Compact low-cross-polarization horn antennas with serpentine-shaped taper. IEEE Trans. Antennas Propag. 2004, 52, 2510–2516. [Google Scholar] [CrossRef]
- Cheng, Y.J.; Guo, Y.X.; Liu, Z.G. W-band large-scale high-gain planar integrated antenna array. IEEE Trans. Antennas Propag. 2014, 62, 3370–3373. [Google Scholar] [CrossRef]
- Hosseini, A.; de Flaviis, F.; Capolino, F. A 60 GHz simple-to-fabricate single-layer planar Fabry–Pérot cavity antenna. IET Microw. Antennas Propag. 2015, 9, 313–318. [Google Scholar] [CrossRef]
- Wang, N.; Liu, Q.; Wu, C.; Talbi, L.; Zeng, Q.; Xu, J. Wideband Fabry-Perot resonator antenna with two complementary FSS layers. IEEE Trans. Antennas Propag. 2014, 62, 2463–2471. [Google Scholar]
- Tran, H.H.; Nguyen, T.K. K-band planar and low-profile Fabry-Perot cavity antenna with a coupled strip-slitline feed structure. Appl. Comput. Electromagn. Soc. J. (ACES) 2017, 32, 542–547. [Google Scholar]
- Liu, Z.-G.; Cao, Z.-X.; Wu, L.-N. Compact low-profile circularly polarized Fabry–Perot resonator antenna fed by linearly polarized microstrip patch. IEEE Antennas Wirel. Propag. Lett. 2015, 15, 524–527. [Google Scholar] [CrossRef]
- Cheng, Y.-F.; Shao, W.; Ding, X.; Yu, M.-X. Design of tilted-beam Fabry-Perot antenna with aperiodic partially reflective surface. Appl. Comput. Electromagn. Soc. J. (ACES) 2017, 32, 397–404. [Google Scholar]
- Ge, Y.; Esselle, K.P.; Bird, T.S. The use of simple thin partially reflective surfaces with positive reflection phase gradients to design wideband, low-profile EBG resonator antennas. IEEE Trans. Antennas Propag. 2011, 60, 743–750. [Google Scholar] [CrossRef]
- Decoster, B.; Maes, S.; Cuiñas, I.; Sánchez, M.G.; Caldeirinha, R.; Verhaevert, J. Dual-band single-layer fractal frequency selective surface for 5G applications. Electronics 2021, 10, 2880. [Google Scholar] [CrossRef]
- Alwareth, H.; Ibrahim, I.M.; Zakaria, Z.; Al-Gburi, A.J.A.; Ahmed, S.; Nasser, Z.A. A wideband high-gain microstrip array antenna integrated with frequency-selective surface for Sub-6 GHz 5G applications. Micromachines 2022, 13, 1215. [Google Scholar] [CrossRef] [PubMed]
- Abdelghani, M.L.; Attia, H.; Denidni, T.A. Dual-and wideband Fabry–Pérot resonator antenna for WLAN applications. IEEE Antennas Wirel. Propag. Lett. 2016, 16, 473–476. [Google Scholar] [CrossRef]
- Mateo-Segura, C.; Feresidis, A.P.; Goussetis, G. Bandwidth enhancement of 2-D leaky-wave antennas with double-layer periodic surfaces. IEEE Trans. Antennas Propag. 2013, 62, 586–593. [Google Scholar] [CrossRef]
- Wang, N.; Xu, J.; Zeng, Q. Broadband EBG resonator antenna using a combination of different dielectric substrates. In Proceedings of the 2013 IEEE Antennas and Propagation Society International Symposium (APSURSI), Orlando, FL, USA, 7–13 July 2013; pp. 894–895. [Google Scholar]
- Lu, Y.-F.; Lin, Y.-C. Design and implementation of broadband partially reflective surface antenna. In Proceedings of the 2011 IEEE International Symposium on Antennas and Propagation (APSURSI), Spokane, WA, USA, 3–8 July 2011; pp. 2250–2253. [Google Scholar]
- Kanjanasit, K.; Wang, C. A broadband resonant cavity antenna using a metamaterial based on double-side identical arrays. In Proceedings of the 2017 IEEE Conference on Antenna Measurements & Applications (CAMA), Tsukuba, Japan, 4–6 December 2017; pp. 51–54. [Google Scholar]
- Lian, R.; Tang, Z.; Yin, Y. Design of a broadband polarization-reconfigurable Fabry–Perot resonator antenna. IEEE Antennas Wirel. Propag. Lett. 2017, 17, 122–125. [Google Scholar] [CrossRef]
- Pourmohammadi, P.; Volski, V.; Vandenbosch, G.A.E. Medium-Sized Highly Coupled Planar Arrays with Maximum Aperture Efficiency. Sensors 2021, 21, 5925. [Google Scholar] [CrossRef] [PubMed]
- Wu, J.; Cheng, Y.J.; Fan, Y. Millimeter-wave wideband high-efficiency circularly polarized planar array antenna. IEEE Trans. Antennas Propag. 2015, 64, 535–542. [Google Scholar] [CrossRef]
- Zhang, Y.; Hong, W.; Mittra, R. 45 GHz wideband circularly polarized planar antenna array using inclined slots in modified short-circuited SIW. IEEE Trans. Antennas Propag. 2018, 67, 1669–1680. [Google Scholar] [CrossRef]
- Lin, W.; Ziolkowski, R.W.; Baum, T.C. 28 GHz compact omnidirectional circularly polarized antenna for device-to-device communications in the future 5G systems. IEEE Trans. Antennas Propag. 2017, 65, 6904–6914. [Google Scholar] [CrossRef]
- Wang, Y.; Li, J.; Huang, L.; Jing, Y.; Georgakopoulos, A.; Demestichas, P. 5G mobile: Spectrum broadening to higher-frequency bands to support high data rates. IEEE Veh. Technol. Mag. 2014, 9, 39–46. [Google Scholar] [CrossRef]
- Pi, Z.; Khan, F. An introduction to millimeter-wave mobile broadband systems. IEEE Commun. Mag. 2011, 49, 101–107. [Google Scholar] [CrossRef]
- Al-Gburi, A.J.A.; Zakaria, Z.; Alsariera, H.; Akbar, M.F.; Ibrahim, I.M.; Ahmad, K.S.; Ahmad, S.; Al-Bawri, S.S. Broadband Circular Polarised Printed Antennas for Indoor Wireless Communication Systems: A Comprehensive Review. Micromachines 2022, 13, 1048. [Google Scholar] [CrossRef] [PubMed]
- Chen, H.; Shao, Y.; Zhang, Y.; Zhang, C.; Zhang, Z. A low-profile broadband circularly polarized mmWave antenna with special-shaped ring slot. IEEE Antennas Wirel. Propag. Lett. 2019, 18, 1492–1496. [Google Scholar] [CrossRef]
- Park, S.-J.; Park, S.-O. LHCP and RHCP substrate integrated waveguide antenna arrays for millimeter-wave applications. IEEE Antennas Wirel. Propag. Lett. 2016, 16, 601–604. [Google Scholar] [CrossRef]
- Lang, Y.; Qu, S.-W.; Chen, J.-X. Wideband circularly polarized substrate integrated cavity-backed antenna array. IEEE Antennas Wirel. Propag. Lett. 2014, 13, 1513–1516. [Google Scholar] [CrossRef]
- Yang, S.-L.S.; Chair, R.; Kishk, A.A.; Lee, K.-F.; Luk, K.-M. Study on sequential feeding networks for subarrays of circularly polarized elliptical dielectric resonator antenna. IEEE Trans. Antennas Propag. 2007, 55, 321–333. [Google Scholar] [CrossRef]
- Huang, J. A Ka-band circularly polarized high-gain microstrip array antenna. IEEE Trans. Antennas Propag. 1995, 43, 113–116. [Google Scholar] [CrossRef]
- Akbari, M.; Gupta, S.; Farahani, M.; Sebak, A.R.; Denidni, T.A. Analytic study on CP enhancement of millimeter wave DR and patch subarray antennas. Int. J. RF Microw. Comput.-Aided Eng. 2017, 27, E21053. [Google Scholar] [CrossRef]
- Meng, F.; Sharma, S.K. A wideband resonant cavity antenna with compact partially reflective surface. IEEE Trans. Antennas Propag. 2019, 68, 1155–1160. [Google Scholar] [CrossRef]
- Leger, L.; Serier, C.; Chantalat, R.; Thevenot, M.; Monedière, T.; Jecko, B. 1D dielectric electromagnetic band gap (EBG) resonator antenna design. Annales des télécommunications 2004, 59, 242–260. [Google Scholar] [CrossRef]
- Melouki, N.; Hocini, A.; Denidni, T.A. Performance enhancement of a compact patch antenna using an optimized EBG structure. Chin. J. Phys. 2021, 69, 219–229. [Google Scholar] [CrossRef]
- Hocini, A.; Melouki, N.; Denidni, T.A. Modeling and simulation of an antenna with optimized AMC reflecting layer for gain and front-to-back ratio enhancement for 5G applications. J. Phys. Conf. Ser. 2020, 1492, 012006. [Google Scholar] [CrossRef]
- Melouki, N.; Hocini, A.; Denidni, T.A. Performance enhancement of an ultra-wideband antenna using a compact topology optimized single frequency selective surface-layer as a reflector. Int. J. RF Microw. Comput.-Aided Eng. 2022, 32, E23097. [Google Scholar] [CrossRef]
- Garg, R.; Bhartia, P.; Bahl, I.J.; Ittipiboon, A. Microstrip Antenna Design Handbook; Artech House: Norwood, MA, USA, 2001. [Google Scholar]
- Asaadi, M.; Sebak, A. High-gain low-profile circularly polarized slotted SIW cavity antenna for MMW applications. IEEE Antennas Wirel. Propag. Lett. 2016, 16, 752–755. [Google Scholar] [CrossRef]
- Kesavan, A.; Al-Hassan, M.; Mabrouk, I.B.; Denidni, T.A. Wideband circular polarized dielectric resonator antenna array for millimeter-wave applications. Sensors 2021, 21, 3614. [Google Scholar] [CrossRef] [PubMed]




















| Parameter | Wsub2 | w1 | w2 | l1 | l2 | 
| Value (mm) | 10 | 2.4 | 0.9 | 10 | 3.3 | 
| Parameter | l3 | ws | ls | RWP | RLP | 
| Value (mm) | 1.1 | 1.4 | 3.1 | 3.5 | 2.5 | 
| Cavity Spacing hc (mm) | |S11|<−10 dB BW (GHz) | 3− dB Gain Bandwidth (GHz) | Cavity Spacing hc (mm) | |S11|<−10 dB BW (GHz) | −3 dB Gain Bandwidth (GHz) | 
|---|---|---|---|---|---|
| 5.3 | 27.6–32.8 (17.22%) | 26.70–32.52 (19.65%) | 5.7 | 25.81–32.05 (21.57%) | 25.15–32 (24%) | 
| 5.4 | 27.15–32.54 (18.06%) | 26.50–32.29 (19.73%) | 5.8 | 25.45–31.95 (22.66%) | 24.81–31.80 (24.69%) | 
| 5.5 | 26.66–32.33 (19.22%) | 26.05–32.14 (20.95%) | 5.9 | 25.10–31.90 (23.86%) | 24.50-31.63 (25.42%) | 
| 5.6 | 26.2–32.17 (20.45%) | 25.57–32.09 (22.60%) | 6 | 24.77–31.5 (23.92%) | 24.33–31.33 (25.15%) | 
| Z0 (Ohm) | 58.9 | 63.3 | 78.1 | 66.2 | 72.8 | 50 | 
| Width (mm) | 0.43 | 0.39 | 0.26 | 0.36 | 0.30 | 0.55 | 
| Length (mm) | 1.73 | 1.74 | 3.5 | 3.48 | 1.75 | Variable | 
| Ref. No | Antenna Type | S11 <−10 dB (%) | −3 dB Gain BW (%) | AR BW (%) | Max Gain (dBi) | Efficiency (%) | 
|---|---|---|---|---|---|---|
| [28] | 4 × 4 SIW | 21.7 | 20.83 | 8.9 | 17.9 | N/A | 
| [31] | 2 × 2 Parallel patch | 38.1 | N/A | 24.15 | 12.89 | 85 | 
| [38] | 4 × 4 SIW slot | 4.6 | 6.56 | 10.7 | 16 | 96 | 
| [39] | 2 × 2 DRA | 33.8 | 10.16 | 5 | 9.5 | N/A | 
| This work | 2 × 2 Parallel Elliptical patch | 48.58 | 22.42 | 21.75 | 17.12 | 90 | 
| Publisher’s Note: MDPI stays neutral with regard to jurisdictional claims in published maps and institutional affiliations. | 
© 2022 by the authors. Licensee MDPI, Basel, Switzerland. This article is an open access article distributed under the terms and conditions of the Creative Commons Attribution (CC BY) license (https://creativecommons.org/licenses/by/4.0/).
Share and Cite
Melouki, N.; Hocini, A.; Fegriche, F.Z.; PourMohammadi, P.; Naseri, H.; Iqbal, A.; Denidni, T.A. High-Gain Wideband Circularly Polarised Fabry–Perot Resonator Array Antenna Using a Single-Layered Pixelated PRS for Millimetre-Wave Applications. Micromachines 2022, 13, 1658. https://doi.org/10.3390/mi13101658
Melouki N, Hocini A, Fegriche FZ, PourMohammadi P, Naseri H, Iqbal A, Denidni TA. High-Gain Wideband Circularly Polarised Fabry–Perot Resonator Array Antenna Using a Single-Layered Pixelated PRS for Millimetre-Wave Applications. Micromachines. 2022; 13(10):1658. https://doi.org/10.3390/mi13101658
Chicago/Turabian StyleMelouki, Noureddine, Abdesselam Hocini, Fatima Zahra Fegriche, Peyman PourMohammadi, Hassan Naseri, Amjad Iqbal, and Tayeb A. Denidni. 2022. "High-Gain Wideband Circularly Polarised Fabry–Perot Resonator Array Antenna Using a Single-Layered Pixelated PRS for Millimetre-Wave Applications" Micromachines 13, no. 10: 1658. https://doi.org/10.3390/mi13101658
APA StyleMelouki, N., Hocini, A., Fegriche, F. Z., PourMohammadi, P., Naseri, H., Iqbal, A., & Denidni, T. A. (2022). High-Gain Wideband Circularly Polarised Fabry–Perot Resonator Array Antenna Using a Single-Layered Pixelated PRS for Millimetre-Wave Applications. Micromachines, 13(10), 1658. https://doi.org/10.3390/mi13101658
 
        


 
       