A Normalized Model of a Microelectromechanical Relay Calibrated by Laser-Doppler Vibrometry
Abstract
1. Introduction
2. Materials and Methods
2.1. Device Description
2.2. Free Space Model
2.3. Experiment
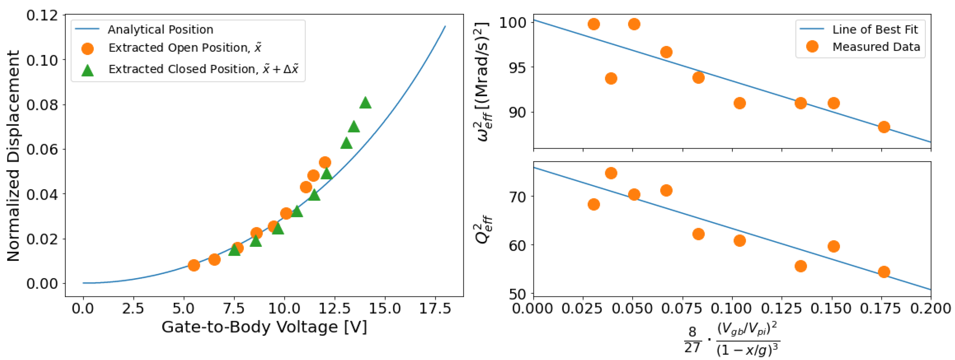
2.4. Extracting Model Parameters
2.5. Contact Model
3. Results
3.1. Velocity and Displacement Data
3.2. Parameter Extraction
3.3. Model Validation
4. Conclusions
Author Contributions
Funding
Data Availability Statement
Acknowledgments
Conflicts of Interest
Abbreviations
| MEM | Microelectromechanical |
| FEA | Finite element analysis |
| LDV | Laser Doppler vibrometry |
Appendix A. Practical Modeling Details
References
- Rebeiz, G.M. RF MEMS: Theory, Design, and Technology; John Wiley & Sons Inc.: Hoboken, NJ, USA, 2004. [Google Scholar]
- Rebeiz, G.; Muldavin, J. RF MEMS switches and switch circuits. IEEE Microw. Mag. 2001, 2, 59–71. [Google Scholar] [CrossRef]
- Spencer, M.; Chen, F.; Wang, C.C.; Nathanael, R.; Fariborzi, H.; Gupta, A.; Kam, H.; Pott, V.; Jeon, J.; Liu, T.J.K.; et al. Demonstration of Integrated Micro-Electro-Mechanical Relay Circuits for VLSI Applications. IEEE J.-Solid-State Circuits 2011, 46, 308–320. [Google Scholar] [CrossRef]
- Fariborzi, H.; Spencer, M.; Karkare, V.; Jeon, J.; Nathanael, R.; Wang, C.; Chen, F.; Kam, H.; Pott, V.; Liu, T.J.K.; et al. Analysis and demonstration of MEM-relay power gating. In Proceedings of the 2010 IEEE Custom Integrated Circuits Conference (CICC), San Jose, CA, USA, 19–22 September 2010; pp. 1–4. [Google Scholar] [CrossRef][Green Version]
- Liu, T.J.K.; Sikder, U.; Kato, K.; Stojanovic, V. There is plenty of room at the top. In Proceedings of the 2017 IEEE 30th International Conference on Micro Electro Mechanical Systems (MEMS), Las Vegas, NV, USA, 22–26 January 2017; IEEE: Piscataway, NJ, USA, 2017; pp. 1–4. [Google Scholar] [CrossRef]
- Li, R.; Alhadrami, R.; Fariborzi, H. BEOL NEM Relay Based Sequential Logic Circuits. In Proceedings of the 2019 IEEE International Symposium on Circuits and Systems (ISCAS), Sapporo, Japan, 26–29 May 2019; IEEE: Piscataway, NJ, USA, 2019; pp. 1–4. [Google Scholar] [CrossRef]
- Chen, F.; Kam, H.; Markovic, D.; Liu, T.J.K.; Stojanovic, V.; Alon, E. Integrated circuit design with NEM relays. In Proceedings of the 2008 IEEE/ACM International Conference on Computer-Aided Design, San Jose, CA, USA, 10–13 November 2008; pp. 750–757. [Google Scholar] [CrossRef]
- Bazigos, A.; Ayala, C.L.; Fernandez-Bolanos, M.; Pu, Y.; Grogg, D.; Hagleitner, C.; Rana, S.; Qin, T.T.; Pamunuwa, D.; Ionescu, A.M. Analytical Compact Model in Verilog-A for Electrostatically Actuated Ohmic Switches. IEEE Trans. Electron Devices 2014, 61, 2186–2194. [Google Scholar] [CrossRef]
- Rana, S.; Qin, T.; Bazigos, A.; Grogg, D.; Despont, M.; Ayala, C.L.; Hagleitner, C.; Ionescu, A.M.; Canegallo, R.; Pamunuwa, D. Energy and Latency Optimization in NEM Relay-Based Digital Circuits. IEEE Trans. Circuits Syst. I Regul. Pap. 2014, 61, 2348–2359. [Google Scholar] [CrossRef]
- Fariborzi, H.; Chen, F.; Stojanovic, V.; Nathanael, R.; Jeon, J.; Liu, T.J.K. Design and demonstration of micro-electro-mechanical relay multipliers. In Proceedings of the Solid State Circuits Conference (A-SSCC), 2011 IEEE Asian, Jeju, Korea, 14–16 November 2011; pp. 117–120. [Google Scholar] [CrossRef]
- Chimento, F.; Mora, N.; Bellini, M.; Stevanovic, I.; Tomarchio, S. A simplified spice based IGBT model for power electronics modules evaluation. In Proceedings of the IECON 2011—37th Annual Conference of the IEEE Industrial Electronics Society, Melbourne, VIC, Australia, 7–10 November 2011; pp. 1155–1160, ISSN 1553-572X. [Google Scholar] [CrossRef]
- Mitter, C.; Hefner, A.; Chen, D.; Lee, F. Insulated gate bipolar transistor (IGBT) modeling using IG-SPICE. IEEE Trans. Ind. Appl. 1994, 30, 24–33. [Google Scholar] [CrossRef]
- Enz, C. An MOS transistor model for RF IC design valid in all regions of operation. IEEE Trans. Microw. Theory Tech. 2002, 50, 342–359. [Google Scholar] [CrossRef]
- Košel, V.; Držík, M.; Šatka, A.; Chlpík, J.; Glavanovics, A.; Donoval, D. Transient thermo-mechanical analysis of smart power switches by a laser Doppler vibrometer and numerical simulations. Meas. Sci. Technol. 2011, 22, 015704. [Google Scholar] [CrossRef]
- Ohler, B. Cantilever spring constant calibration using laser Doppler vibrometry. Rev. Sci. Instrum. 2007, 78, 063701. [Google Scholar] [CrossRef] [PubMed]
- Massad, J.; Sumali, H.; Epp, D.; Dyck, C. Modeling, simulation, and testing of the mechanical dynamics of an RF MEMS switch. In Proceedings of the 2005 International Conference on MEMS, NANO and Smart Systems, Banff, AB, Canada, 24–27 July 2005; pp. 237–240. [Google Scholar] [CrossRef]
- Shekhar, S.; Vinoy, K.J.; Ananthasuresh, G.K. Surface-Micromachined Capacitive RF Switches with Low Actuation Voltage and Steady Contact. J. Microelectromech. Syst. 2017, 26, 643–652. [Google Scholar] [CrossRef]
- Ye, Z.A.; Almeida, S.; Rusch, M.; Perlas, A.; Zhang, W.; Sikder, U.; Jeon, J.; Stojanovic, V.; Liu, T.J.K. Demonstration of 50-mV Digital Integrated Circuits with Microelectromechanical Relays. In Proceedings of the 2018 IEEE International Electron Devices Meeting (IEDM), San Francisco, CA, USA, 1–5 December 2018; IEEE: Piscataway, NJ, USA, 2018; pp. 4.1.1–4.1.4. [Google Scholar] [CrossRef]
- Polytec OFV 5000 Datasheet on Advanced Test Equipment Website. Available online: https://www.atecorp.com/products/polytec/ofv-5000 (accessed on 14 July 2022).
- Veijola, T. Simple but Accurate Models for Squeeze-film Dampers. In Proceedings of the 2007 IEEE SENSORS, Atlanta, GA, USA, 28–31 October 2007; pp. 83–86, ISSN 1930-0395. [Google Scholar] [CrossRef]






Publisher’s Note: MDPI stays neutral with regard to jurisdictional claims in published maps and institutional affiliations. |
© 2022 by the authors. Licensee MDPI, Basel, Switzerland. This article is an open access article distributed under the terms and conditions of the Creative Commons Attribution (CC BY) license (https://creativecommons.org/licenses/by/4.0/).
Share and Cite
Marvin, J.; Jang, M.; Contreras, D.; Spencer, M. A Normalized Model of a Microelectromechanical Relay Calibrated by Laser-Doppler Vibrometry. Micromachines 2022, 13, 1728. https://doi.org/10.3390/mi13101728
Marvin J, Jang M, Contreras D, Spencer M. A Normalized Model of a Microelectromechanical Relay Calibrated by Laser-Doppler Vibrometry. Micromachines. 2022; 13(10):1728. https://doi.org/10.3390/mi13101728
Chicago/Turabian StyleMarvin, Jessica, Michael Jang, Daniel Contreras, and Matthew Spencer. 2022. "A Normalized Model of a Microelectromechanical Relay Calibrated by Laser-Doppler Vibrometry" Micromachines 13, no. 10: 1728. https://doi.org/10.3390/mi13101728
APA StyleMarvin, J., Jang, M., Contreras, D., & Spencer, M. (2022). A Normalized Model of a Microelectromechanical Relay Calibrated by Laser-Doppler Vibrometry. Micromachines, 13(10), 1728. https://doi.org/10.3390/mi13101728

