Modeling and Mathematical Investigation of Blood-Based Flow of Compressible Rate Type Fluid with Compressibility Effects in a Microchannel
Abstract
1. Introduction
2. Flow Model
3. Solution of the Problem
4. Discussion
5. Main Findings
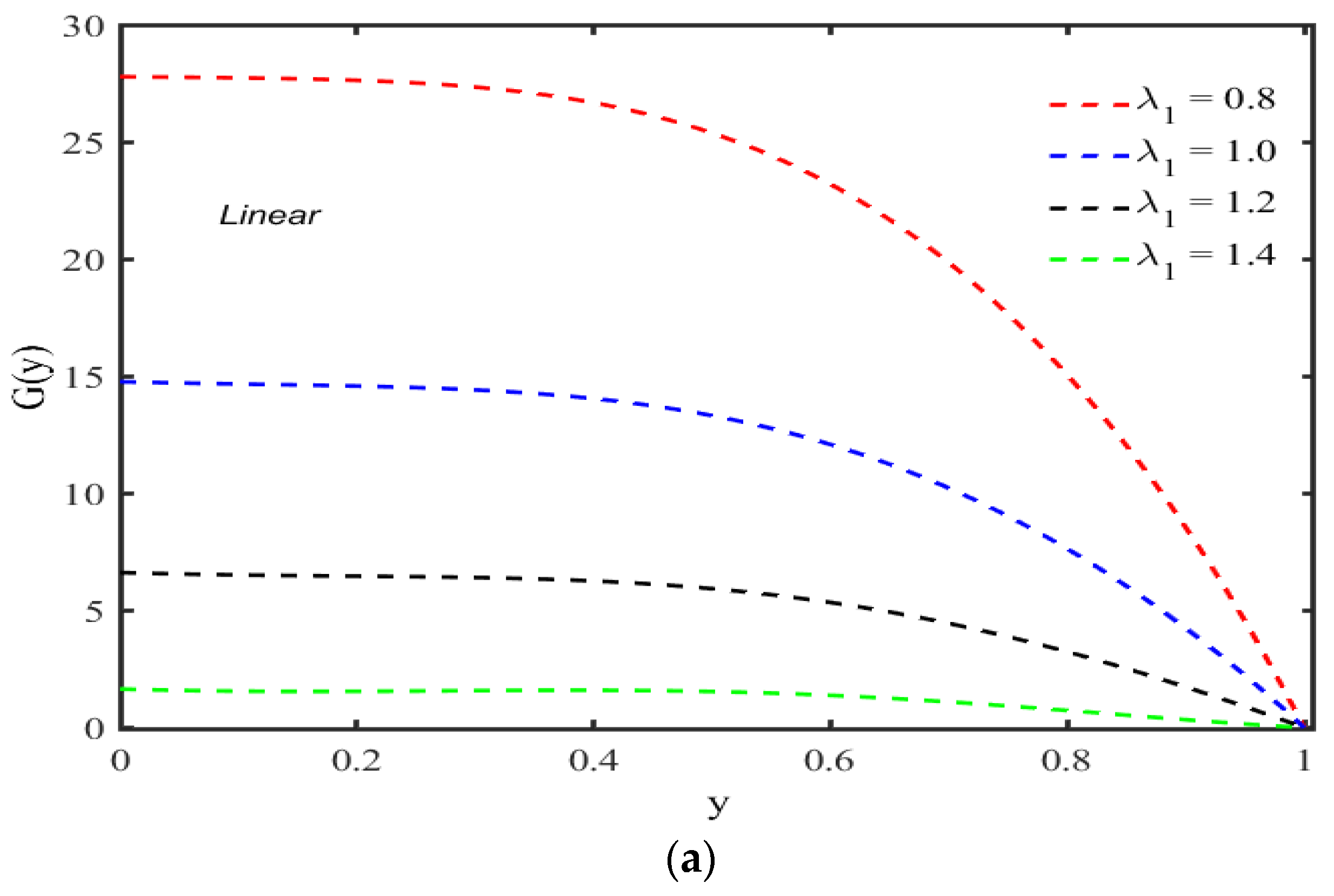
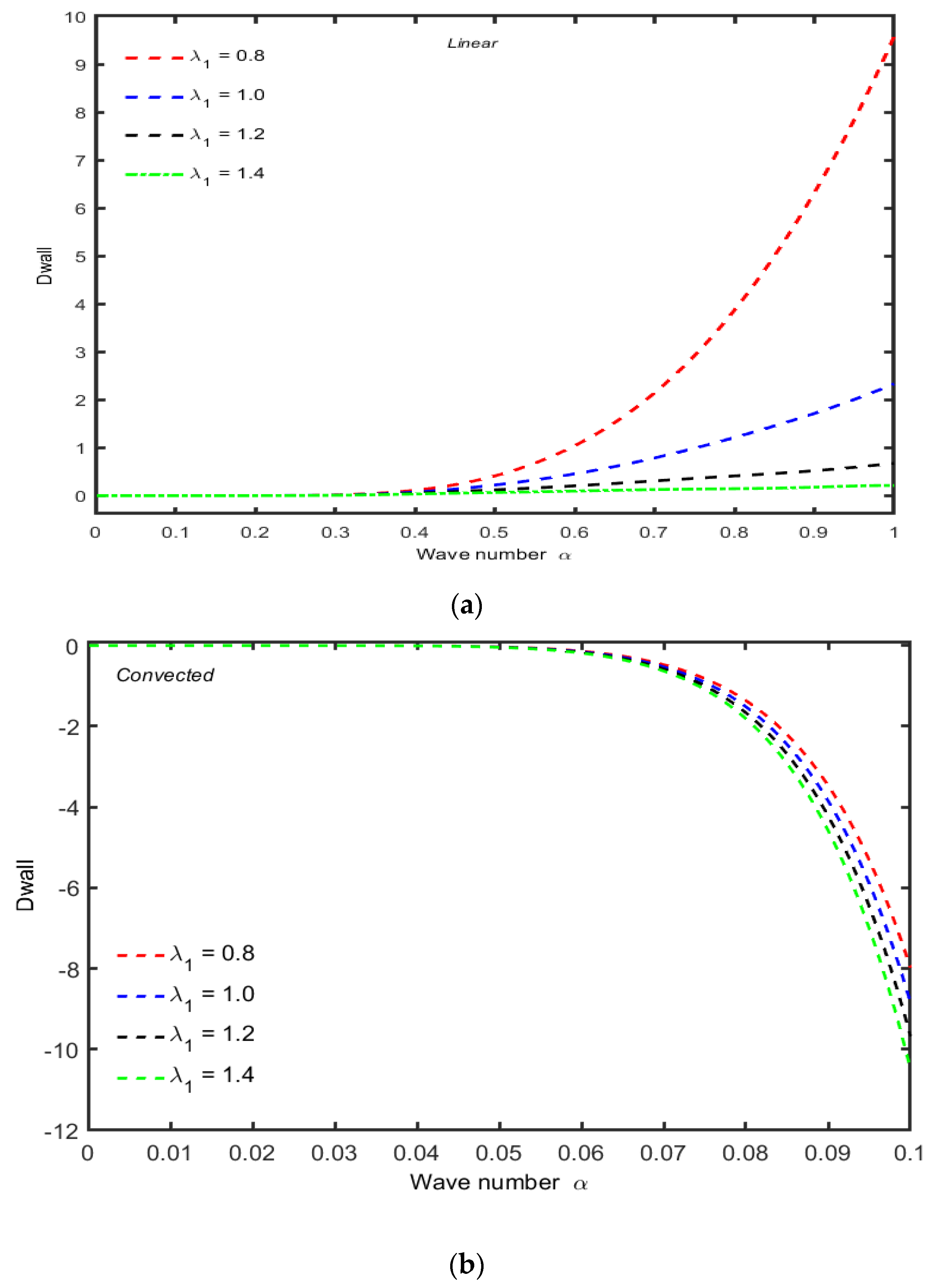
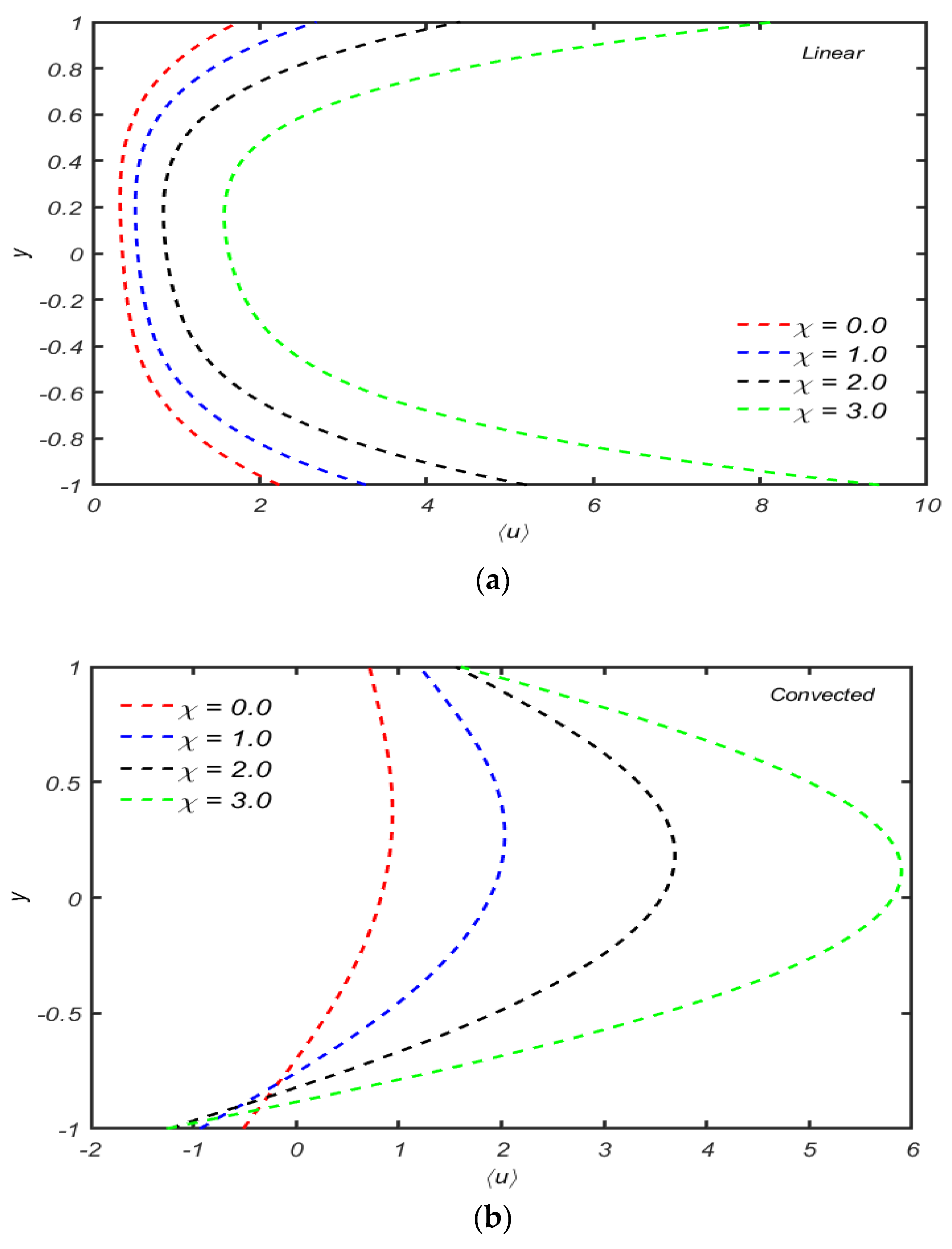
- The impact of various parameters on the perturbation function reports contrary results between the linear and upper convected Maxwell fluid. It is observed that the Maxwell parameters have decreasing effects on for the linear model, while the Maxwell parameter have increasing effects on for the convected model.
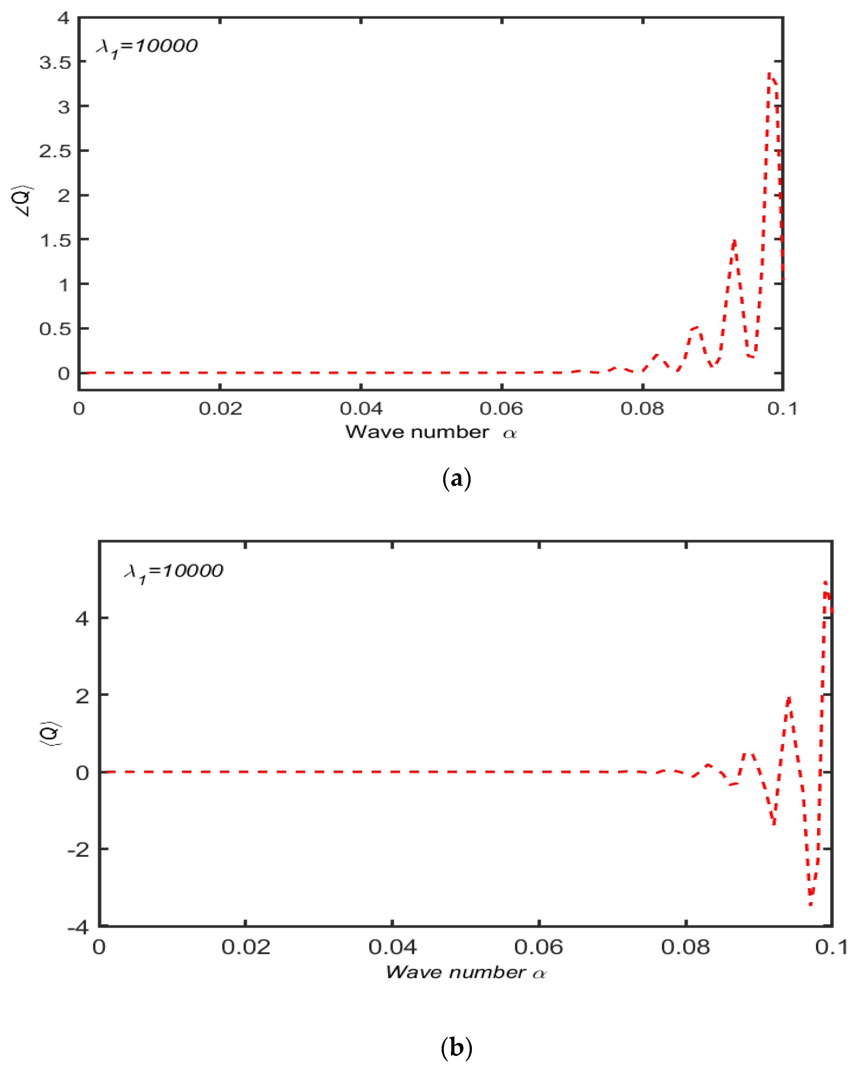
- The effectiveness of different parameters on with wave number are different for both the upper convected as well as linear Maxwell fluid model.
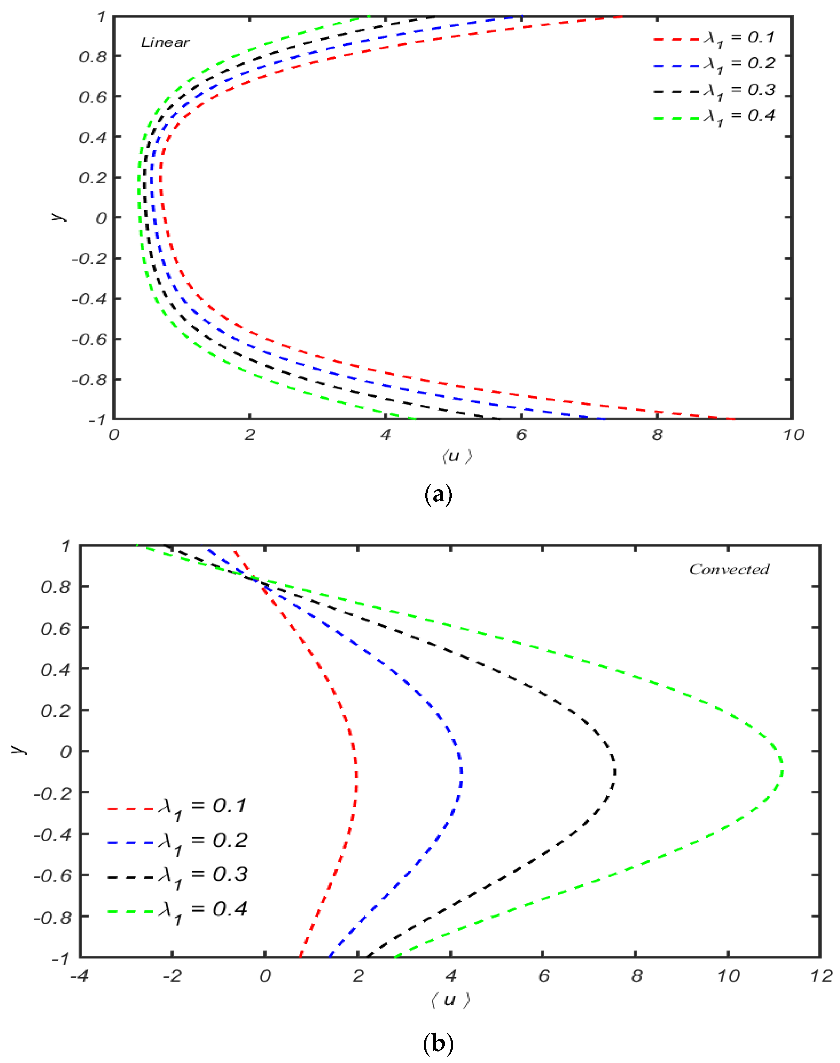
- It is observed that the Maxwell parameters have increasing effects on for the linear model, while the Maxwell parameters have decreasing effects on for the convected Maxwell fluid model.
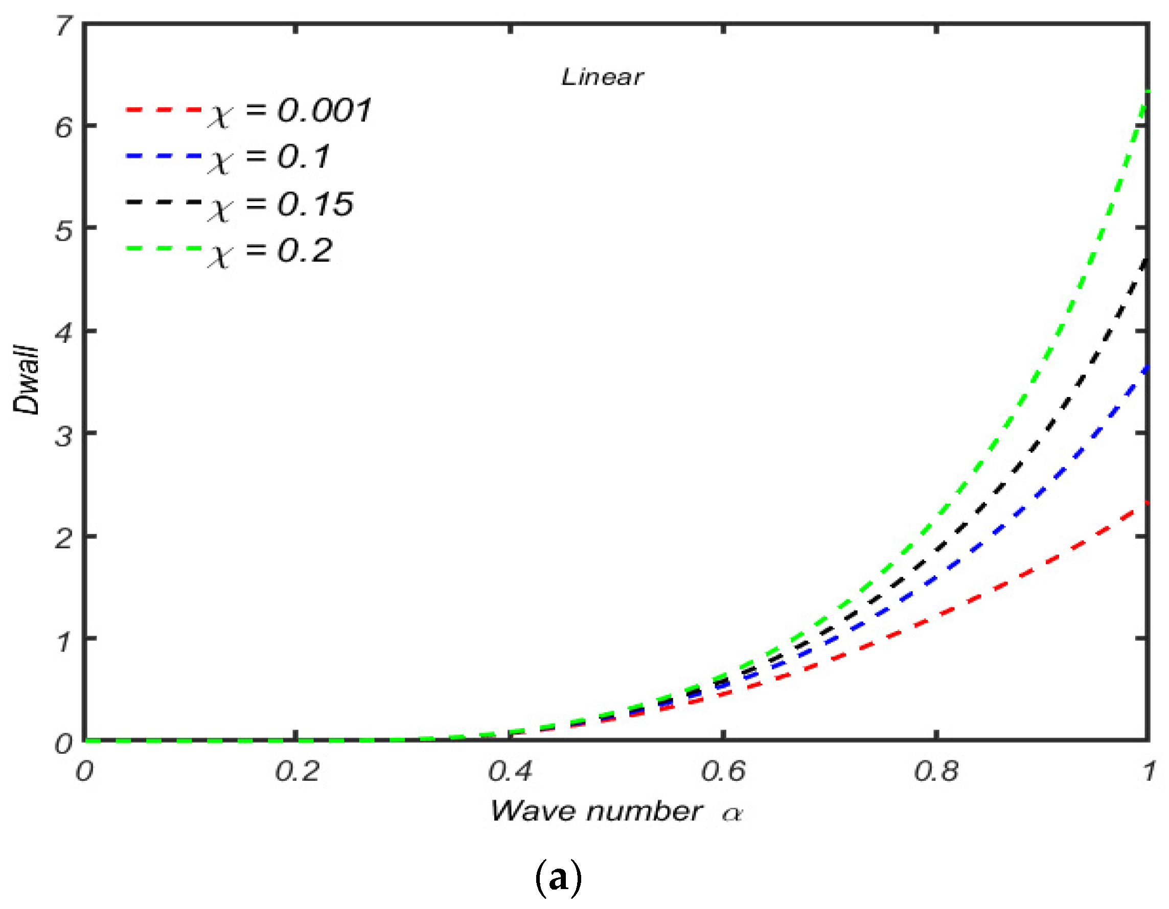
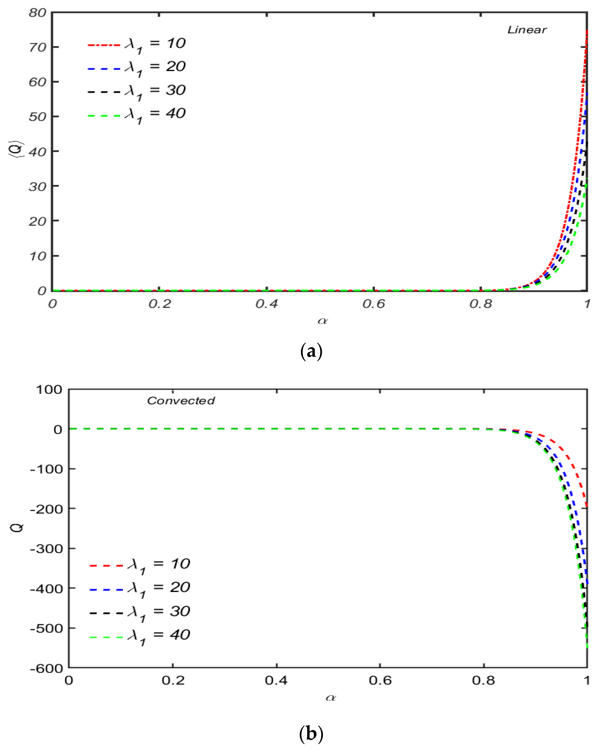
- The influences of different parameters on the net flow rate with wave number and compressibility χ are different for linear and upper convected Maxwell fluid. It is observed that the Maxwell parameter has increasing effects on the net flow rate for the linear model, while the Maxwell parameters have decreasing effects on for the convected model.
Author Contributions
Funding
Institutional Review Board Statement
Informed Consent Statement
Data Availability Statement
Acknowledgments
Conflicts of Interest
Nomenclature
| First Rivilin–Ericksen tensor | Amplitude of peristaltic wave | ||
| Wave speed | Dimensionless width of the channel | ||
| Compressibility parameter | Extra stress tensor | ||
| Velocity of field | Axial velocity | ||
| Relaxation time | Density | ||
| Reynold number | Amplitude ratio | ||
| Wave parameter | Flow rate |
References
- Latham, T.K. Fluid Motion in a Peristaltic Pump. Master’s Thesis, Massachusetts Institute of Technology, Cambridge, UK, 1966. [Google Scholar]
- Narla, V.K.; Tripathi, D.; Bég, O.A. Electro-Osmosis Modulated Viscoelastic Embryo Transport in Uterine Hydrodynamics: Mathematical Modeling. J. Biomech. Eng. 2019, 141, 021003. [Google Scholar] [CrossRef] [PubMed]
- Ahmad, I.; Ali, N.; Abbasi, A.; Aziz, W.; Hussain, M.; Ahmad, M.; Taj, M.; Zaman, Q. Flow of a Burger’s Fluid in a Channel Induced by Peristaltic Compliant Walls. J. Appl. Math. 2014, 2014, 236483. [Google Scholar] [CrossRef][Green Version]
- Ali, N.; Javid, K.; Sajid, M.; Bég, O.A. Numerical simulation of peristaltic flow of a biorheological fluid with shear-dependent viscosity in a curved channel. Comput. Methods Biomech. Biomed. Eng. 2015, 19, 614–627. [Google Scholar] [CrossRef] [PubMed]
- Reddy, M.G.; Reddy, K.V.; Makinde, O.D. Hydromagnetic peristaltic motion of a reacting and radiating couple stress fluid in an inclined asymmetric channel filled with a porous medium. Alex. Eng. J. 2016, 55, 1841–1853. [Google Scholar] [CrossRef]
- Tanveer, A.; Hayat, T.; Alsaadi, F.; Alsaedi, A. Mixed convection peristaltic flow of Eyring-Powell nanofluid in a curved channel with compliant walls. Comput. Biol. Med. 2017, 82, 71–79. [Google Scholar] [CrossRef]
- Javed, T.; Ahmed, B.; Ali, N.; Hamid, A.H. Finite element analysis of the hydromagnetic peristaltic flow in a porous-saturated channel at moderate reynolds numbers. J. Porous Media 2017, 20, 841–857. [Google Scholar] [CrossRef]
- Tripathi, D.; Sharma, A.; Bég, O.A. Electrothermal transport of nanofluids via peristaltic pumping in a finite micro-channel: Effects of Joule heating and Helmholtz-Smoluchowski velocity. Int. J. Heat Mass Transf. 2017, 111, 138–149. [Google Scholar] [CrossRef]
- Hayat, T.; Asghar, S.; Tanveer, A.; Alsaedi, A. Chemical reaction in peristaltic motion of MHD couple stress fluid in channel with Soret and Dufour effects. Results Phys. 2018, 10, 69–80. [Google Scholar] [CrossRef]
- Javid, K.; Ali, N.; Asghar, Z. Numerical simulation of the peristaltic motion of a viscous fluid through a complex wavy non-uniform channel with magnetohydrodynamic effects. Phys. Scr. 2019, 94, 115226. [Google Scholar] [CrossRef]
- Javid, K.; Waqas, M.; Asghar, Z.; Ghaffari, A. A theoretical analysis of Biorheological fluid flowing through a complex wavy convergent channel under porosity and electro-magneto-hydrodynamics Effects. Comput. Methods Programs Biomed. 2020, 191, 105413. [Google Scholar] [CrossRef]
- Prakash, J.; Tripathi, D.; Bég, O.A. Comparative study of hybrid nanofluids in microchannel slip flow induced by electroosmosis and peristalsis. Appl. Nanosci. 2020, 10, 1693–1706. [Google Scholar] [CrossRef]
- Chen, W.I. Influence of Ultrasonic Energy upon the Rate of Flow of Liquids through Porous Media; West Virginia University: Morgantown, WV, USA, 1969. [Google Scholar]
- Cherskiy, N.V. The Effect of Ultrasound on Permeability of Rocks to Water; Earth Sciences: Yokosuka, Japan, 1977. [Google Scholar]
- Duhon, R.D. An Investigation of the Effect of Ultrasonic Energy on the Flow of Fluids in Porous Media. Ph.D. Thesis, The University of Oklahoma, Norman, OK, USA, 1964. [Google Scholar]
- Ganiev, R.F.; Ukrainskii, L.E.; Frolov, K.V. Wave mechanism for the acceleration of a liquid flowing in capillaries and porous media. Sov. Phys. Dokl. 1989, 34, 519. [Google Scholar]
- Aarts, A.C.T.; Ooms, G. Net flow of compressible viscous liquids induced by travelling waves in porous media. J. Eng. Math. 1998, 34, 435–450. [Google Scholar] [CrossRef]
- Tsiklauri, D.; Beresnev, I. Non-Newtonian effects in the peristaltic flow of a Maxwell fluid. Phys. Rev. E 2001, 64, 036303. [Google Scholar] [CrossRef]
- Hayat, T.; Ali, N.; Asghar, S. An analysis of peristaltic transport for flow of a Jeffrey fluid. Acta Mech. 2007, 193, 101–112. [Google Scholar] [CrossRef]
- Mekheimer, K.S.; Abdel-Wahab, A.N. Net Annulus Flow of a Compressible Viscous Liquid with Peristalsis. J. Aerosp. Eng. 2012, 25, 660–669. [Google Scholar] [CrossRef]
- Mekheimer, K.S.; Abdel-Wahab, A.N. Effect of wall compliance on compressible fluid transport induced by a surface acoustic wave in a microchannel. Numer. Methods Partial. Differ. Equ. 2009, 27, 621–636. [Google Scholar] [CrossRef]
- Abbasi, A.; Ahmad, I.; Ali, N.; Hayat, T. An analysis of peristaltic motion of compressible convected Maxwell fluid. AIP Adv. 2016, 6, 15119. [Google Scholar] [CrossRef]
- Abdelsalam, S.I.; Vafai, K. Combined effects of magnetic field and rheological properties on the peristaltic flow of a compressible fluid in a microfluidic channel. Eur. J. Mech.-B/Fluids 2017, 65, 398–411. [Google Scholar] [CrossRef]
- Hajji, H.; Kolsi, L.; Askri, F.; Maatki, C.; Hassen, W.; Borjini, M.N. Heat transfer and flow structure through a backward and forward-facing step micro-channels equipped with obstacles. Therm. Sci. 2021, 25, 2483–2492. [Google Scholar] [CrossRef]
- Hajji, H.; Kolsi, L.; Ghachem, K.; Maatki, C.; Borjini, M.N. Numerical simulation of a microfluidic biosensor for C-reactive protein detection into a microchannel with considering electrothermal effect. Alex. Eng. J. 2020, 59, 1649–1659. [Google Scholar] [CrossRef]
- Aissa, A.; Slimani, M.E.A.; Mebarek-Oudina, F.; Fares, R.; Zaim, A.; Kolsi, L.; Sahnoun, M.; Ganaoui, M.E. Pressure-Driven Gas Flows in Micro Channels with a Slip Boundary: A Numerical Investigation. Fluid Dyn. Mater. Process. 2020, 16, 147–159. [Google Scholar] [CrossRef]
- Hajji, H.; Kolsi, L.; Hassen, W.; Al-Rashed, A.A.; Borjini, M.N.; Aichouni, M.A. Finite element simulation of antigen-antibody transport and adsorption in a microfluidic chip. Phys. E Low-Dimens. Syst. Nanostruct. 2018, 104, 177–186. [Google Scholar] [CrossRef]
- Dehkordi, K.G.; Karimipour, A.; Afrand, M.; Toghraie, D.; Isfahani, A.H.M. The Electric Field and Microchannel Type Effects on H2O/Fe3O4 Nanofluid Boiling Process: Molecular Dynamics Study. Int. J. Thermophys. 2020, 41, 132. [Google Scholar] [CrossRef]
- Ajili, S.H.; Haratian, M.; Karimipour, A.; Bach, Q.-V. Non-uniform Slab Heating Pattern in a Preheating Furnace to Reduce Fuel Consumption: Burners’ Load Distribution Effects Through Semitransparent Medium via Discreet Ordinates’ Thermal Radiation and k–ε Turbulent Model. Int. J. Thermophys. 2020, 41, 128. [Google Scholar] [CrossRef]
- Asgari, A.; Nguyen, Q.; Karimipour, A.; Bach, Q.-V.; Hekmatifar, M.; Sabetvand, R. Develop Molecular Dynamics Method to Simulate the Flow and Thermal Domains of H2O/Cu Nanofluid in a Nanochannel Affected by an External Electric Field. Int. J. Thermophys. 2020, 41, 126. [Google Scholar] [CrossRef]
- Farzinpour, M.; Toghraie, D.; Mehmandoust, B.; Aghadavoudi, F.; Karimipour, A. Molecular dynamics simulation of ferronanofluid behavior in a nanochannel in the presence of constant and time-dependent magnetic fields. J. Therm. Anal. 2020, 141, 2625–2633. [Google Scholar] [CrossRef]
- Ahmed, S.; Xu, H. Forced convection with unsteady pulsating flow of a hybrid nanofluid in a microchannel in the presence of EDL, magnetic and thermal radiation effects. Int. Commun. Heat Mass Transf. 2020, 120, 105042. [Google Scholar] [CrossRef]
- Wu, H.; Beni, M.H.; Moradi, I.; Karimipour, A.; Kalbasi, R.; Rostami, S. Heat transfer analysis of energy and exergy improvement in water-tube boiler in steam generation process. J. Therm. Anal. 2020, 139, 2791–2799. [Google Scholar] [CrossRef]
- Yan, S.-R.; Shirani, N.; Zarringhalam, M.; Toghraie, D.; Nguyen, Q.; Karimipour, A. Prediction of boiling flow characteristics in rough and smooth microchannels using molecular dynamics simulation: Investigation the effects of boundary wall temperatures. J. Mol. Liq. 2020, 306, 112937. [Google Scholar] [CrossRef]
- Zhang, Y.; Xie, G.; Karimipour, A. Comprehensive analysis on the effect of asymmetric heat fluxes on microchannel slip flow and heat transfer via a lattice Boltzmann method. Int. Commun. Heat Mass Transf. 2020, 118, 104856. [Google Scholar] [CrossRef]
- Rostami, S.; Ahmadi-Danesh-Ashtiani, H.; Toghraie, D.; Fazaeli, R. A statistical method for simulation of boiling flow inside a Platinum microchannel. Phys. A Stat. Mech. Its Appl. 2020, 548, 123879. [Google Scholar] [CrossRef]
- Nadeem, S.; Ahmad, S.; Muhammad, N. Cattaneo-Christov flux in the flow of a viscoelastic fluid in the presence of Newtonian heating. J. Mol. Liq. 2017, 237, 180–184. [Google Scholar] [CrossRef]
- Nadeem, S.; Ahmad, S.; Muhammad, N.; Mustafa, M. Chemically reactive species in the flow of a Maxwell fluid. Results Phys. 2017, 7, 2607–2613. [Google Scholar] [CrossRef]
- Nadeem, S.; Khan, M.N.; Muhammad, N.; Ahmad, S. Mathematical analysis of bio-convective micropolar nanofluid. J. Comput. Des. Eng. 2019, 6, 233–242. [Google Scholar] [CrossRef]
- Nadeem, S.; Akbar, N.S. Peristaltic Flow of a Jeffrey Fluid with Variable Viscosity in an Asymmetric Channel. Z. Für Nat. A 2009, 64, 713–722. [Google Scholar] [CrossRef]
- Tripathi, D.; Bég, O.A. A Numerical Study of Oscillating Peristaltic Flow of Generalized Maxwell Viscoelastic Fluids Through a Porous Medium. Transp. Porous Media 2012, 95, 337–348. [Google Scholar] [CrossRef]
- Bird, R.B.; Armstrong, R.C.; Hassager, O. Dynamics of Polymeric Liquids; Fluid Mechanics: Tampa, FL, USA, 1987; Volume 1. [Google Scholar]
- Morrison, F.A. Introduction, How Much do I Need to Learn about Rheology? Understanding Rheology; Oxford University Press: New York, NY, USA, 2001; pp. 1–11. [Google Scholar]
- Fung, Y.C.; Yih, C.S. Peristaltic Transport. Trans. ASME J. Appl. Mech. 1968, 35, 669–675. [Google Scholar] [CrossRef]
- Nazeer, M.; Hussain, F.; Khan, M.I.; Rehman, A.U.; El-Zahar, E.R.; Chu, Y.-M.; Malik, M. Theoretical study of MHD electro-osmotically flow of third-grade fluid in micro channel. Appl. Math. Comput. 2022, 420, 126868. [Google Scholar] [CrossRef]
- Zhao, T.; Khan, M.I.; Chu, Y. Artificial neural networking (ANN) analysis for heat and entropy generation in flow of non-Newtonian fluid between two rotating disks. Math. Methods Appl. Sci. 2021; in press. [Google Scholar] [CrossRef]
- Chu, Y.-M.; Shankaralingappa, B.; Gireesha, B.; Alzahrani, F.; Khan, M.I.; Khan, S.U. Combined impact of Cattaneo-Christov double diffusion and radiative heat flux on bio-convective flow of Maxwell liquid configured by a stretched nano-material surface. Appl. Math. Comput. 2022, 419, 126883. [Google Scholar] [CrossRef]
- Zhao, T.H.; Castillo, O.; Jahanshahi, H.; Yusuf, A.; Alassafi, M.O.; Alsaadi, F.E.; Chu, Y.M. A fuzzy-based strategy to suppress the novel coronavirus (2019-NCOV) massive outbreak. Appl. Comput. Math. 2021, 20, 160–176. [Google Scholar]
- Chu, Y.-M.; Nazir, U.; Sohail, M.; Selim, M.M.; Lee, J.-R. Enhancement in Thermal Energy and Solute Particles Using Hybrid Nanoparticles by Engaging Activation Energy and Chemical Reaction over a Parabolic Surface via Finite Element Approach. Fractal Fract. 2021, 5, 119. [Google Scholar] [CrossRef]
- Verma, A.K.; Gautam, A.K.; Bhattacharyya, K.; Pop, I. Entropy generation analysis of Falkner–Skan flow of Maxwell nanofluid in porous medium with temperature-dependent viscosity. Pramana 2021, 95, 69. [Google Scholar] [CrossRef]
- Yadav, D.; Al-Siyabi, M.; Awasthi, M.K.; Al-Nadhairi, S.; Al-Rahbi, A.; Al-Subhi, M.; Ragoju, R.; Bhattacharyya, K. Chemical Reaction and Internal Heating Effects on the Double Diffusive Convection in Porous Membrane Enclosures Soaked with Maxwell Fluid. Membranes 2022, 12, 338. [Google Scholar] [CrossRef]
- Gautam, A.K.; Rajput, S.; Bhattacharyya, K.; Pandey, A.K.; Chamkha, A.J.; Begum, M. Comparative study of two non-Newtonian fluids with bioconvective induced MHD flow in presence of multiple slips, heat source/sink and nonlinear thermal radiation. Chem. Eng. J. Adv. 2022, 12, 100365. [Google Scholar] [CrossRef]
- Shahid, M.; Javed, H.M.A.; Ahmad, M.I.; Qureshi, A.A.; Khan, M.I.; Alnuwaiser, M.A.; Ahmed, A.; Khan, M.A.; Tag-ElDin, E.S.M.; Shahid, A.; et al. A Brief Assessment on Recent Developments in Efficient Electrocatalytic Nitrogen Reduction with 2D Non-Metallic Nanomaterials. Nanomaterials 2022, 12, 3413. [Google Scholar] [CrossRef]
- Abbasi, A.; Farooq, W.; Tag-ElDin, E.S.M.; Khan, S.U.; Khan, M.I.; Guedri, K.; Elattar, S.; Waqas, M.; Galal, A.M. Heat transport exploration for hybrid nanoparticle (Cu, Fe3O4)-based blood flow via tapered complex wavy curved channel with slip features. Micromachines 2022, 13, 1415. [Google Scholar] [CrossRef]
- Mamatha, S.U.; Devi, R.L.V.R.; Ahammad, N.A.; Shah, N.A.; Rao, B.M.; Raju, C.S.K.; Khan, M.I.; Guedri, K. Multi-linear regression of triple diffusive convectively heated boundary layer flow with suction and injection: Lie group transformations. Int. J. Mod. Phys. B, 2022; in press. [Google Scholar] [CrossRef]
- Kiranakumar, H.V.; Thejas, R.; Naveen, C.S.; Khan, M.I.; Prasanna, G.D.; Reddy, S.; Oreijah, M.; Guedri, K.; Bafakeeh, O.T.; Jameel, M. A review on electrical and gas-sensing properties of reduced graphene oxide-metal oxide nanocomposites. Biomass Convers. Biorefin. 2022; in press. [Google Scholar] [CrossRef]
- Waqas, H.; Oreijah, M.; Guedri, K.; Khan, S.U.; Yang, S.; Yasmin, S.; Khan, M.I.; Bafakeeh, O.T.; Tag-ElDin, E.S.M.; Galal, A.M. Gyrotactic Motile Microorganisms Impact on Pseudoplastic Nanofluid Flow over a Moving Riga Surface with Exponential Heat Flux. Crystals 2022, 12, 1308. [Google Scholar] [CrossRef]












Publisher’s Note: MDPI stays neutral with regard to jurisdictional claims in published maps and institutional affiliations. |
© 2022 by the authors. Licensee MDPI, Basel, Switzerland. This article is an open access article distributed under the terms and conditions of the Creative Commons Attribution (CC BY) license (https://creativecommons.org/licenses/by/4.0/).
Share and Cite
Guedri, K.; Lashin, M.M.A.; Abbasi, A.; Khan, S.U.; Tag-ElDin, E.S.M.; Khan, M.I.; Khalil, F.; Galal, A.M. Modeling and Mathematical Investigation of Blood-Based Flow of Compressible Rate Type Fluid with Compressibility Effects in a Microchannel. Micromachines 2022, 13, 1750. https://doi.org/10.3390/mi13101750
Guedri K, Lashin MMA, Abbasi A, Khan SU, Tag-ElDin ESM, Khan MI, Khalil F, Galal AM. Modeling and Mathematical Investigation of Blood-Based Flow of Compressible Rate Type Fluid with Compressibility Effects in a Microchannel. Micromachines. 2022; 13(10):1750. https://doi.org/10.3390/mi13101750
Chicago/Turabian StyleGuedri, Kamel, Maha M. A. Lashin, Aamar Abbasi, Sami Ullah Khan, El Sayed Mohamed Tag-ElDin, Muhammad Ijaz Khan, Fozia Khalil, and Ahmed M. Galal. 2022. "Modeling and Mathematical Investigation of Blood-Based Flow of Compressible Rate Type Fluid with Compressibility Effects in a Microchannel" Micromachines 13, no. 10: 1750. https://doi.org/10.3390/mi13101750
APA StyleGuedri, K., Lashin, M. M. A., Abbasi, A., Khan, S. U., Tag-ElDin, E. S. M., Khan, M. I., Khalil, F., & Galal, A. M. (2022). Modeling and Mathematical Investigation of Blood-Based Flow of Compressible Rate Type Fluid with Compressibility Effects in a Microchannel. Micromachines, 13(10), 1750. https://doi.org/10.3390/mi13101750

