Study of New Mini-Channel Trans-Critical CO2 Heat Pump Gas Cooler
Abstract
:1. Introduction
2. Physical Model
3. Structural Strength Analysis
4. Numerical Model
4.1. Data Reduction
4.2. Reliability Verification
4.3. Grid Independence
5. Results and Discussion
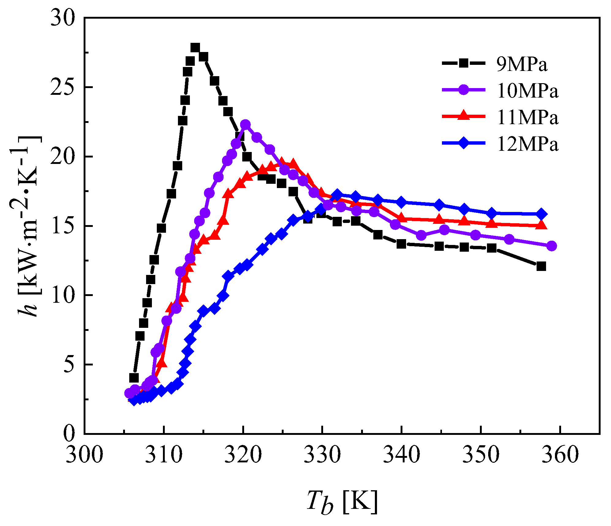
5.1. Effect of Cooling Pressure of CO2 on Heat Transfer
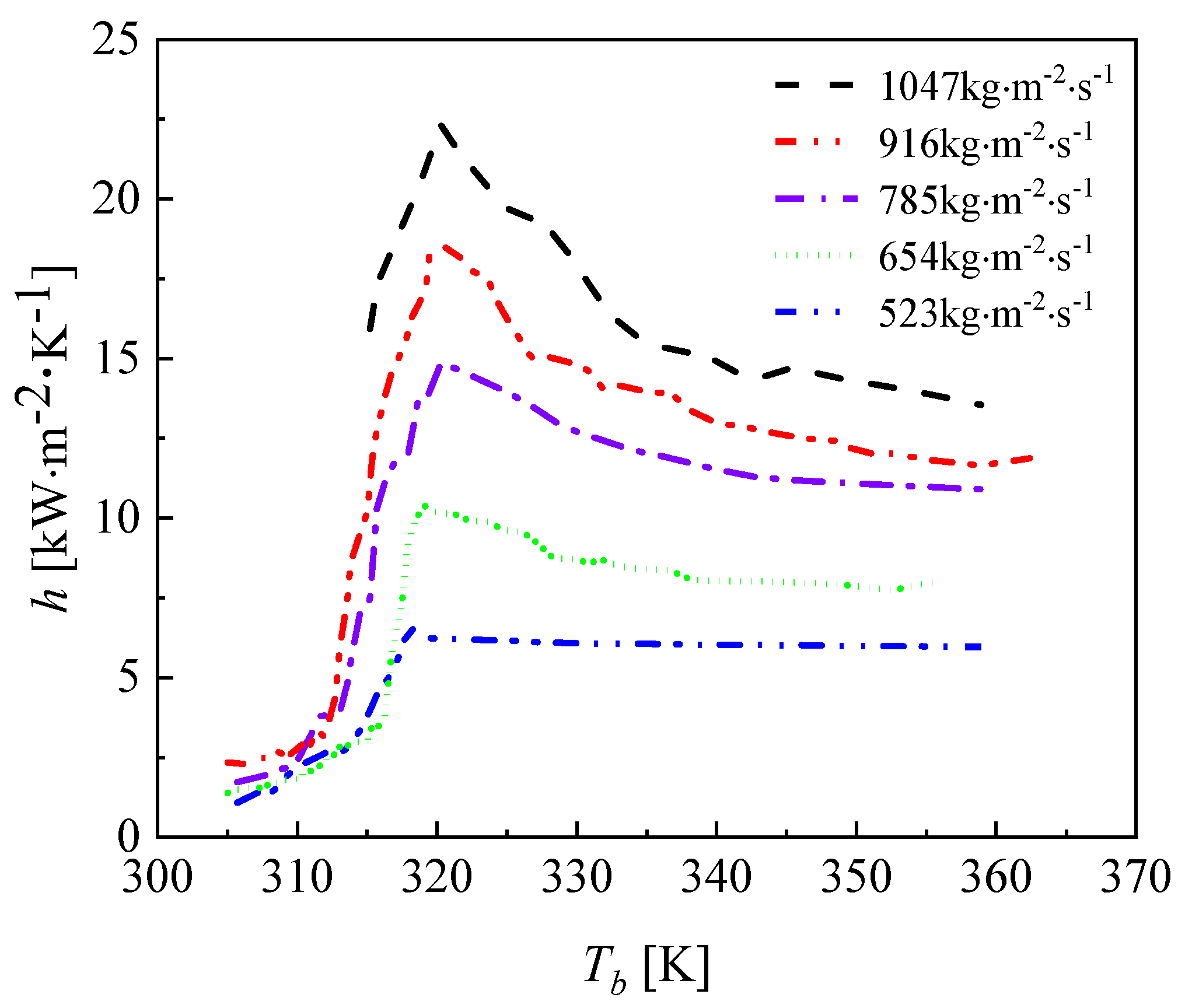
5.2. Effect of Inlet Mass Flux of CO2 on Heat Transfer
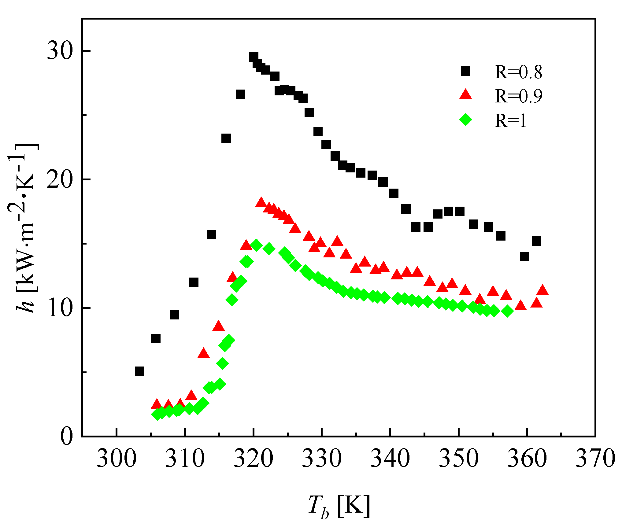
5.3. Effect of Channel Size of CO2 on Heat Transfer
5.4. Field Synergy Principle of Heat Exchange
6. Conclusions
- Spiral plate heat exchanger pressurization is good; when the radius of the circular channel is 1 mm, the elliptical channel short axis is 2.3 mm and the long axis is 5 mm, it can withstand the high pressure of 20 MPa.
- As the cooling pressure decreases, the average heat transfer coefficient of CO2 increases, the heat transfer capacity is enhanced and the peak heat transfer increases. Mainly owing to the fact that the lower the pressure, the higher the specific heat will be at constant pressure, the average heat transfer coefficient of CO2 is also higher.
- The higher the mass flux of CO2, the higher the corresponding peak local convective heat transfer coefficient, which occurs near the pseudocritical temperature corresponding to the cooling pressure.
- The effects of changing the mass fluxes of water and CO2 on the heat transfer coefficient of CO2 are different. The increase in the mass flux of CO2 and the decrease in the channel radius have a more obvious effect on the heat transfer coefficient, while the increase in the mass flux of water affects the temperature of the wall surface of CO2.
- The locations with smaller synergy angles within the channel of CO2 are distributed in the center of the channel, and the locations with better synergy occur at the location of the peak heat transfer coefficient of CO2.
Author Contributions
Funding
Conflicts of Interest
Appendix A. Governing Equations
References
- Lorentzen, G.; Pettersen, J. A new, efficient and environmentally benign system for car air-conditioning. Int. J. Refrig. 1993, 16, 4–12. [Google Scholar] [CrossRef]
- Chang, Y.S.; Kim, M.S. Modeling and Performance Simulation of a Gas Cooler for a CO2 Heat Pump System. HVAC&R Res. 2007, 13, 445–456. [Google Scholar] [CrossRef]
- Chai, L.; Tsamos, K.M.; Tassou, S.A. Modelling and Evaluation of the Thermohydraulic Performance of Finned-Tube Supercritical Carbon Dioxide Gas Coolers. Energies 2020, 13, 1031. [Google Scholar] [CrossRef]
- Wang, C.C.; Hwang, Y.M.; Lin, Y.T. Empirical correlations for heat transfer and flow friction characteristics of herringbone wavy fin-and-tube heat exchangers. Int. J. Refrig. 2002, 25, 673–680. [Google Scholar] [CrossRef]
- Ge, Y.; Cropper, R. Performance evaluations of air-cooled condensers using pure and mixture refrigerants by four-section lumped modelling methods. Appl. Therm. Eng. 2005, 25, 1549–1564. [Google Scholar] [CrossRef]
- Ge, Y.; Cropper, R. Performance simulation of refrigerated display cabinets operating with refrigerants R22 and R404A. Appl. Energy 2008, 85, 694–707. [Google Scholar] [CrossRef]
- Ge, Y.T.; Cropper, R.T. Simulation and performance evaluation of finned-tube CO2 gas coolers for refrigeration systems. Appl. Therm. Eng. 2009, 29, 957–965. [Google Scholar] [CrossRef]
- Zhang, X.; Ge, Y.; Sun, J.; Li, L.; Tassou, S.A. CFD Modelling of Finned-tube CO2 Gas Cooler for Refrigeration Systems. Energy Procedia 2019, 161, 275–282. [Google Scholar] [CrossRef]
- Zhang, X.; Ge, Y.; Sun, J. Performance analysis of finned-tube CO2 gas cooler with advanced 1D-3D CFD modelling development and simulation. Appl. Therm. Eng. 2020, 176, 115421. [Google Scholar] [CrossRef]
- Zilio, C.; Mancin, S. Shell and tube carbon dioxide gas coolers-Experimental results and modelling. Int. J. Refrig. 2015, 56, 224–234. [Google Scholar] [CrossRef]
- Fronk, B.M.; Garimella, S. Water-coupled carbon dioxide microchannel gas cooler for heat pump water heaters: Part I-Experiments. Int. J. Refrig. 2011, 34, 7–16. [Google Scholar] [CrossRef]
- Fronk, B.M.; Garimella, S. Water-coupled carbon dioxide microchannel gas cooler for heat pump water heaters: Part II-Model development and validation. Int. J. Refrig. 2011, 34, 17–28. [Google Scholar] [CrossRef]
- Starace, G.; Fiorentino, M.; Longo, M.; Carluccio, E. A hybrid method for the cross flow compact heat exchangers design. Appl. Therm. Eng. 2017, 111, 1129–1142. [Google Scholar] [CrossRef]
- Fiorentino, M.; Starace, G. Numerical and Experimental Performance Analysis of Evaporative Condensers. Energy Procedia 2016, 101, 26–33. [Google Scholar] [CrossRef]
- Fiorentino, M.; Starace, G. Sensitivity analysis of evaporative condensers performance using an experimental approach. Energy Procedia 2017, 126, 345–352. [Google Scholar] [CrossRef]
- Qureshi, B.A.; Zubair, S.M. A comprehensive design and rating study of evaporative coolers and condensers. Part I. Performance evaluation. Int. J. Refrig. 2006, 29, 645–658. [Google Scholar] [CrossRef]
- Qureshi, B.A.; Zubair, S.M. A comprehensive design and rating study of evaporative coolers and condensers. Part II. Sensitivity analysis. Int. J. Refrig. 2006, 29, 659–668. [Google Scholar] [CrossRef]
- Ciuffini, A.; Scattina, A.; Carena, F.; Roberti, M.; Rivalta, G.T.; Chiavazzo, E.; Fasano, M.; Asinari, P. Multiscale Computational Fluid Dynamics Methodology for Predicting Thermal Performance of Compact Heat Exchangers. J. Heat Transf. 2016, 138, 071801. [Google Scholar] [CrossRef]
- Bes, T.; Roetzel, W. Thermal theory of the spiral heat exchanger. Int. J. Heat Mass Transf. 1993, 36, 765–773. [Google Scholar] [CrossRef]
- Naphon, P. Study on the heat transfer and flow characteristics in a spiral-coil tube. Int. Commun. Heat Mass Transf. 2011, 38, 69–74. [Google Scholar] [CrossRef]
- Zhang, W.; Wang, S.; Li, C.; Xu, J. Mixed convective heat transfer of CO2 at supercritical pressures flowing upward through a vertical helically coiled tube. Appl. Therm. Eng. 2015, 88, 61–70. [Google Scholar] [CrossRef]
- Ngo, T.L.; Kato, Y.; Nikitin, K.; Tsuzuki, N. New printed circuit heat exchanger with S-shaped fins for hot water supplier. Exp. Therm. Fluid Sci. 2006, 30, 811–819. [Google Scholar] [CrossRef]
- Jiang, P.X.; Zhao, C.R.; Shi, R.F.; Chen, Y.; Ambrosini, W. Experimental and numerical study of convection heat transfer of CO2 at super-critical pressures during cooling in small vertical tube. Int. J. Heat Mass Transf. 2009, 52, 4748–4756. [Google Scholar] [CrossRef]
- Guo, Z. Mechanism and control of convective heat transfer—Coordination of velocity and heat flow fields. Chin. Sci. Bull. 2000, 19, 2118–2122. [Google Scholar]






















| Overall Dimensions | |
|---|---|
| Gas cooler length | 200 mm |
| Gas cooler width | 200 mm |
| Gas cooler height | 270 mm |
| Gas cooler single layer plate thickness | 1.5 mm |
| Carbon Dioxide Side | |
| Carbon dioxide channel length | 3.2 m |
| Carbon dioxide channel radius | 1 mm |
| Water Side | |
| Elliptical channel length | 2.8 m |
| Elliptical channel short semi-axis | 1.3 mm |
| Elliptical channel long semi-axis | 2.5 mm |
| Case | GCO2 (kg·m−2·s−1) | Pwater (MPa) | Twater (K) | PCO2 (MPa) | TCO2 (K) |
|---|---|---|---|---|---|
| 1 | 1047 | 0.5 | 293.15 | 9 | 373.15 |
| 2 | 1047 | 0.5 | 293.15 | 10 | 373.15 |
| 3 | 1047 | 0.5 | 293.15 | 11 | 373.15 |
| 4 | 1047 | 0.5 | 293.15 | 12 | 373.15 |
| Case | GCO2 (kg·m−2·s−1) | Pwater (MPa) | Twater (K) | PCO2 (MPa) | TCO2 (K) |
|---|---|---|---|---|---|
| 1 | 523 | 0.5 | 293.15 | 10 | 373.15 |
| 2 | 654 | 0.5 | 293.15 | 10 | 373.15 |
| 3 | 785 | 0.5 | 293.15 | 10 | 373.15 |
| 4 | 916 | 0.5 | 293.15 | 10 | 373.15 |
| 5 | 1047 | 0.5 | 293.15 | 10 | 373.15 |
Publisher’s Note: MDPI stays neutral with regard to jurisdictional claims in published maps and institutional affiliations. |
© 2022 by the authors. Licensee MDPI, Basel, Switzerland. This article is an open access article distributed under the terms and conditions of the Creative Commons Attribution (CC BY) license (https://creativecommons.org/licenses/by/4.0/).
Share and Cite
Jiang, J.; Liang, S.; Ji, C.; Wang, L.; Guo, C. Study of New Mini-Channel Trans-Critical CO2 Heat Pump Gas Cooler. Micromachines 2022, 13, 1206. https://doi.org/10.3390/mi13081206
Jiang J, Liang S, Ji C, Wang L, Guo C. Study of New Mini-Channel Trans-Critical CO2 Heat Pump Gas Cooler. Micromachines. 2022; 13(8):1206. https://doi.org/10.3390/mi13081206
Chicago/Turabian StyleJiang, Jiawei, Shiqiang Liang, Can Ji, Longyan Wang, and Chaohong Guo. 2022. "Study of New Mini-Channel Trans-Critical CO2 Heat Pump Gas Cooler" Micromachines 13, no. 8: 1206. https://doi.org/10.3390/mi13081206
APA StyleJiang, J., Liang, S., Ji, C., Wang, L., & Guo, C. (2022). Study of New Mini-Channel Trans-Critical CO2 Heat Pump Gas Cooler. Micromachines, 13(8), 1206. https://doi.org/10.3390/mi13081206

