Acoustic Characterization of Transmitted and Received Acoustic Properties of Air-Coupled Ultrasonic Transducers Based on Matching Layer of Organosilicon Hollow Glass Microsphere
Abstract
:1. Introduction
2. Matching Layer Optimization Theory
3. Fabrication and Testing of Ultrasonic Transducers
3.1. Selection of Piezoelectric Elements
3.2. Matching Layer Sample Fabrication
3.2.1. Substrate Material Preparation
3.2.2. Preparation and Testing Procedure of Hollow Glass Microsphere Based Matching Layer Samples
3.3. Ultrasonic Transducer Assembly
3.4. Ultrasonic Transducer Emission Performance Testing
3.5. Ultrasonic Transducer Receiver Performance Testing
3.6. Verification of Ultrasonic Transducers for Practical Applications
4. Results and Discussion
4.1. Result of Substrate Testing
4.2. Matching Layer Sample Test Results
4.3. Transducer Emission Performance Test Results
4.3.1. Emission Performance Test Results for Different Excitation Voltages
4.3.2. Test Results of Emission Performance with Different Cycles of Burst
4.3.3. Ultrasonic Transducer Maximum Emission Distance Results
4.3.4. Comparison Test Results with Commercially Available transducer Emission Sound Pressure Amplitude
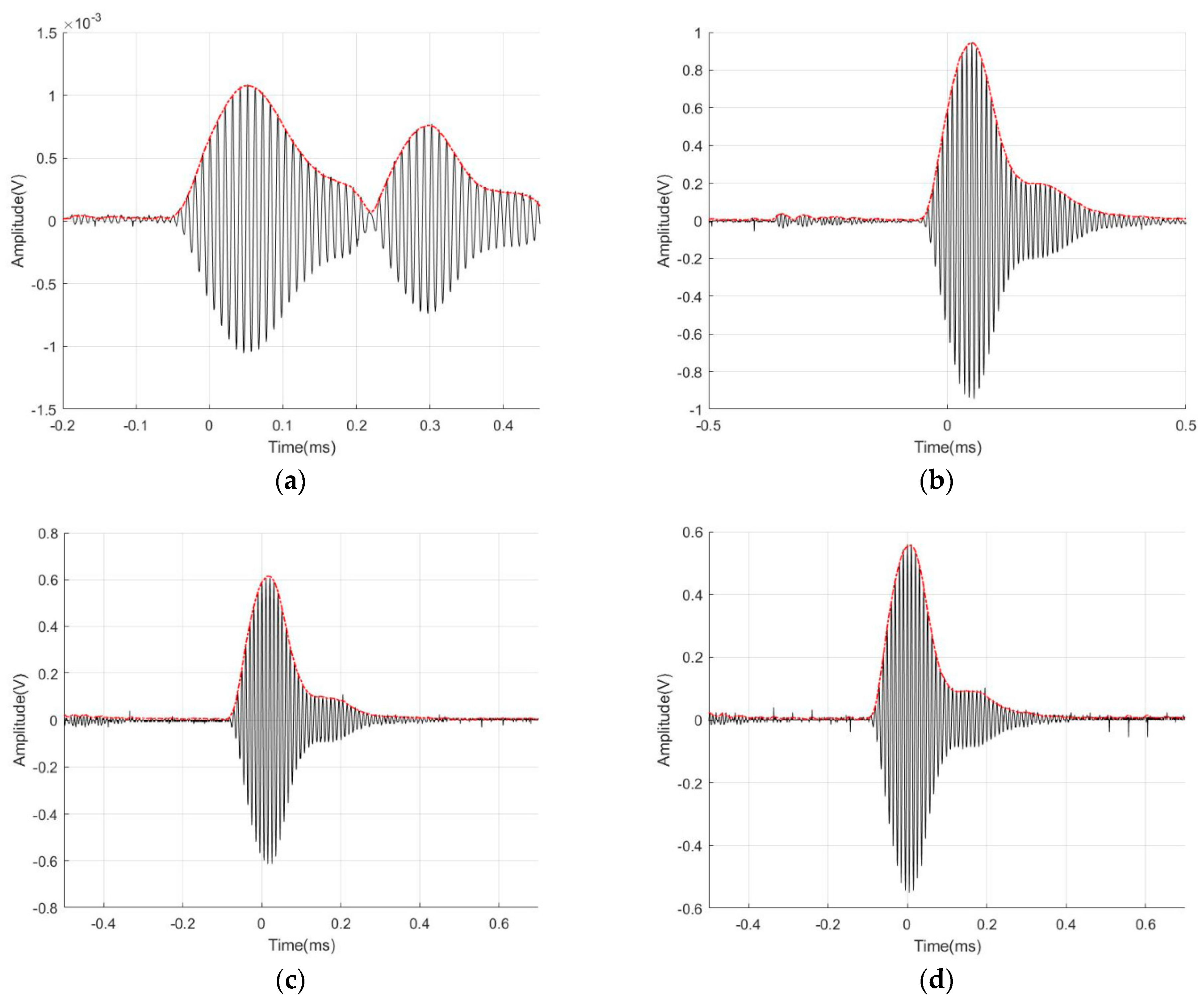
4.4. Transducer Receiving Performance Test
4.5. Practical Application Verification Test Results
5. Conclusions
Author Contributions
Funding
Institutional Review Board Statement
Informed Consent Statement
Data Availability Statement
Conflicts of Interest
References
- Alvarez-Arenas, T.E.G. Acoustic impedance matching of piezoelectric transducers to the air. IEEE Trans. Ultrason. Ferroelectr. Freq. Control 2004, 51, 624–633. [Google Scholar] [CrossRef]
- Hu, Y.; Yang, Y. Wave propagation modeling of the PZT sensing region for structural health monitoring. Smart Mater. Struct. 2007, 16, 706–716. [Google Scholar] [CrossRef]
- Liu, B.T.; Zhao, J.W.; Li, X.H.; Zhou, Y.; Bian, F.; Wang, X.Y.; Zhao, Q.X.; Wang, Y.L.; Guo, Q.L.; Wang, L.X.; et al. Enhanced dielectric constant and fatigue-resistance of PbZr0.4Ti0.6O3 capacitor with magnetic intermetallic FePt top electrode. Appl. Phys. Lett. 2010, 96, 252904. [Google Scholar] [CrossRef]
- Yu, Y.; Wang, X.; Yao, X. Studies on Dynamic Mechanical and Electrical Properties of PZT Ceramics. Ferroelectrics 2013, 451, 96–102. [Google Scholar] [CrossRef]
- Kazys, R.; Sliteris, R.; Sestoke, J.; Vladisauskas, A. Air-Coupled Ultrasonic Transducers Based on an Application of the PMN-32%PT Single Crystals. Ferroelectrics 2015, 480, 85–91. [Google Scholar] [CrossRef]
- Song, Y.-S.; Yun, Y.; Lee, D.Y.; Kim, B.-Y. Effect of PVDF Concentration and Number of Fiber Lines on Piezoelectric Properties of Polymeric PVDF Biosensors. Fibers Polym. 2021, 22, 1200–1207. [Google Scholar] [CrossRef]
- Yang, J.; Wang, X.-L.; Tian, Y.; Lin, Y.; Tian, F. Morphologies and crystalline forms of polyvinylidene fluoride membranes prepared in different diluents by thermally induced phase separation. J. Polym. Sci. Part B Polym. Phys. 2010, 48, 2468–2475. [Google Scholar] [CrossRef]
- He, C.; Wang, Y.; Lu, Y.; Liu, Y.; Wu, B. Design and Fabrication of Air-Based 1-3 Piezoelectric Composite Transducer for Air-Coupled Ultrasonic Applications. J. Sens. 2016, 2016, 4982616. [Google Scholar] [CrossRef]
- Mazrouei-Sebdani, Z.; Begum, H.; Schoenwald, S.; Horoshenkov, K.V.; Malfait, W.J. A review on silica aerogel-based materials for acoustic applications. J. Non-Cryst. Solids 2021, 562, 120770. [Google Scholar] [CrossRef]
- Kelly, S.P.; Hayward, G.; Alvarez-Arenas, T.E. Characterization and assessment of an integrated matching layer for air-coupled ultrasonic applications. IEEE Trans. Ultrason. Ferroelectr. Freq. Control 2004, 51, 1314–1323. [Google Scholar] [CrossRef] [PubMed]
- Park, J.H.; Lee, S.M.; Park, J.; Lee, H.J.; Paik, K.W. Acoustic Matching Layer Films Using B-Stage Thermosetting Polymer Resins for Ultrasound Transducer Applications. IEEE Trans. Ultrason. Ferroelectr. Freq. Control 2020, 67, 2148–2154. [Google Scholar] [CrossRef] [PubMed]
- Zhou, J.; Bai, J.; Liu, Y. Fabrication and Modeling of Matching System for Air-Coupled Transducer. Micromachines 2022, 13, 781. [Google Scholar] [CrossRef] [PubMed]
- Zhang, K.; Ma, C.; He, Q.; Lin, S.; Chen, Y.; Zhang, Y.; Fang, N.X.; Zhao, X. Metagel with Broadband Tunable Acoustic Properties Over Air–Water–Solid Ranges. Adv. Funct. Mater. 2019, 29, 1903699. [Google Scholar] [CrossRef]
- Kang, C.-M.; Baek, Y.-j.; Jeong, J.-Y.; Sim, J.; Gwak, E.-J.; Je, T.-J.; Choi, D.-S.; Kim, G.M.; Han, J.S. Acoustic and rheological characterization of hollow glass microsphere composite for development of optimized air-coupled ultrasonic matching layer. Ceram. Int. 2022, 48, 32036–32048. [Google Scholar] [CrossRef]
- Fang, H.J.; Chen, Y.; Wong, C.M.; Qiu, W.B.; Chan, H.L.; Dai, J.Y.; Li, Q.; Yan, Q.F. Anodic aluminum oxide-epoxy composite acoustic matching layers for ultrasonic transducer application. Ultrasonics 2016, 70, 29–33. [Google Scholar] [CrossRef] [PubMed]
- Gomez Alvarez-Arenas, T.E. Air-coupled piezoelectric transducers with active polypropylene foam matching layers. Sensors 2013, 13, 5996–6013. [Google Scholar] [CrossRef] [PubMed]
- Hosono, Y.; Itsumi, K. Effects of Metal Particle Dopant on Acoustic Attenuation Properties of Silicone Rubber Lens for Medical Echo Array Probe. Jpn. J. Appl. Phys. 2005, 44, 4558. [Google Scholar] [CrossRef]
- Wójcik, J.; Gambin, B. Theoretical and numerical aspects of nonlinear reflection–transmission phenomena in acoustics. Appl. Math. Model. 2017, 46, 771–784. [Google Scholar] [CrossRef]
- Lenz, M.; Bock, M.; Kühnicke, E.; Pal, J.; Cramer, A. Measurement of the sound velocity in fluids using the echo signals from scattering particles. Ultrasonics 2012, 52, 117–124. [Google Scholar] [CrossRef]
- Lenz, M.; Kühnicke, E. Nichtinvasive Schallgeschwindigkeitsmessung in Fluiden auf Basis von Streupartikelechos. TEME 2012, 79, 23–28. [Google Scholar] [CrossRef]
- Titov, S.A.; Maev, R.G.; Bogachenkov, A.N. Measuring the acoustic wave velocity and sample thickness using an ultrasonic transducer array. Tech. Phys. Lett. 2009, 35, 1029–1031. [Google Scholar] [CrossRef]
- Chen, Q.; Li, W.; Wu, J. Realization of a multipath ultrasonic gas flowmeter based on transit-time technique. Ultrasonics 2014, 54, 285–290. [Google Scholar] [CrossRef] [PubMed]
- Sunol, F.; Ochoa, D.A.; Garcia, J.E. High-Precision Time-of-Flight Determination Algorithm for Ultrasonic Flow Measurement. IEEE Trans. Instrum. Meas. 2019, 68, 2724–2732. [Google Scholar] [CrossRef]
- Hanus, R. Time delay estimation of random signals using cross-correlation with Hilbert Transform. Measurement 2019, 146, 792–799. [Google Scholar] [CrossRef]
- Vera-Diaz, J.M.; Pizarro, D.; Macias-Guarasa, J. Acoustic source localization with deep generalized cross correlations. Signal Process. 2021, 187, 108169. [Google Scholar] [CrossRef]
- Zhang, C.; Shen, S.; Huang, H.; Wang, L. Estimation of the Vehicle Speed Using Cross-Correlation Algorithms and MEMS Wireless Sensors. Sensors 2021, 21, 1721. [Google Scholar] [CrossRef] [PubMed]
- Chen, J.; Fei, C.; Lin, D.; Gao, P.; Zhang, J.; Quan, Y.; Chen, D.; Li, D.; Yang, Y. A Review of UltraHigh Frequency Ultrasonic Transducers. Front. Mater. 2022, 8, 733358. [Google Scholar] [CrossRef]






















| Name | kP | d31 | g31 | Curie Temperature (°C) | ZL (MRayl) |
|---|---|---|---|---|---|
| PZT-4 | 0.33 | −120 | −16 | 330 | 34 |
| PZT-8 | 0.30 | −100 | −10 | 325 | 30 |
| PZT-5 | 0.34 | −175 | −11 | 380 | 35 |
| Name | True Density (g/cc) | Particle Size Distribution | |||
|---|---|---|---|---|---|
| 10th% | 50th% | 90th% | Average | ||
| K25 | 0.2 | 25 | 55 | 95 | 50 |
| K20 | 0.2 | 30 | 65 | 110 | 55 |
| S15 | 0.15 | 25 | 55 | 90 | 55 |
| K1 | 0.12 | 30 | 65 | 110 | 65 |
| Test Paraments | 1 | 2 | 3 | 4 |
|---|---|---|---|---|
| Vpp (V) | 50 | 100 | 150 | 200 |
| Cycle count of burst | 10 | |||
| Period of bursts (ms) | 5 | |||
| Cycle count of burst | 1 | 5 | 10 | 15 |
| Period of bursts (ms) | 5 | |||
| Vpp (V) | 150 | |||
| Material | Density | Sound Velocity m/s | Acoustic Impedance MRayl | Hardness (Shore) | Attenuation Coefficient (dB/mm) |
|---|---|---|---|---|---|
| Epoxy | 1250 | 3134 | 3.91 | ShoreD 70 | 0.55 |
| Polyurethane (PU) | 1150 | 2980 | 3.42 | ShoreA 50 | 0.48 |
| Organosilicon (OSI) | 950 | 3305 | 3.14 | ShoreA70 | 0.25 |
Disclaimer/Publisher’s Note: The statements, opinions and data contained in all publications are solely those of the individual author(s) and contributor(s) and not of MDPI and/or the editor(s). MDPI and/or the editor(s) disclaim responsibility for any injury to people or property resulting from any ideas, methods, instructions or products referred to in the content. |
© 2023 by the authors. Licensee MDPI, Basel, Switzerland. This article is an open access article distributed under the terms and conditions of the Creative Commons Attribution (CC BY) license (https://creativecommons.org/licenses/by/4.0/).
Share and Cite
Xu, X.; Zhang, L.; Guo, H.; Wang, X.; Kong, L. Acoustic Characterization of Transmitted and Received Acoustic Properties of Air-Coupled Ultrasonic Transducers Based on Matching Layer of Organosilicon Hollow Glass Microsphere. Micromachines 2023, 14, 2021. https://doi.org/10.3390/mi14112021
Xu X, Zhang L, Guo H, Wang X, Kong L. Acoustic Characterization of Transmitted and Received Acoustic Properties of Air-Coupled Ultrasonic Transducers Based on Matching Layer of Organosilicon Hollow Glass Microsphere. Micromachines. 2023; 14(11):2021. https://doi.org/10.3390/mi14112021
Chicago/Turabian StyleXu, Xinhu, Liang Zhang, Hulin Guo, Xiaojie Wang, and Lingcai Kong. 2023. "Acoustic Characterization of Transmitted and Received Acoustic Properties of Air-Coupled Ultrasonic Transducers Based on Matching Layer of Organosilicon Hollow Glass Microsphere" Micromachines 14, no. 11: 2021. https://doi.org/10.3390/mi14112021
APA StyleXu, X., Zhang, L., Guo, H., Wang, X., & Kong, L. (2023). Acoustic Characterization of Transmitted and Received Acoustic Properties of Air-Coupled Ultrasonic Transducers Based on Matching Layer of Organosilicon Hollow Glass Microsphere. Micromachines, 14(11), 2021. https://doi.org/10.3390/mi14112021
