Exploring the Potential of GaN-Based Power HEMTs with Coherent Channel †
Abstract
:1. Introduction
2. Structure and Mechanism
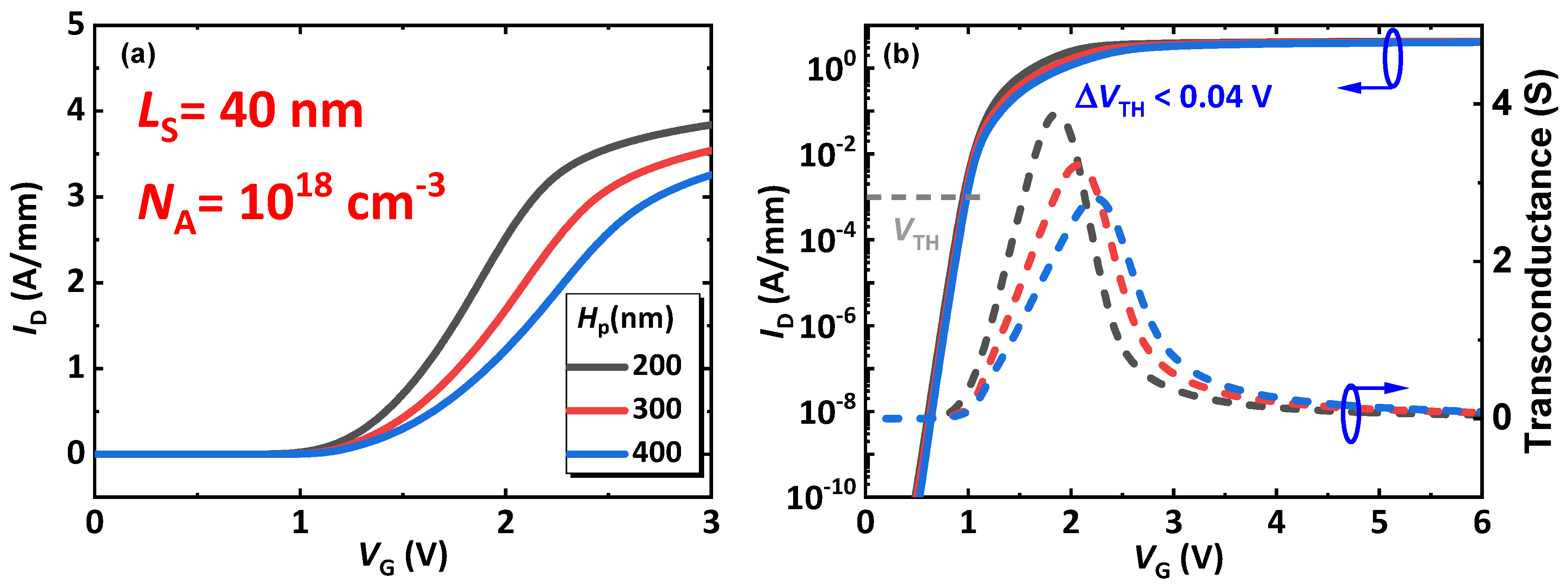
3. Results and Discussion
4. Conclusions
Author Contributions
Funding
Data Availability Statement
Acknowledgments
Conflicts of Interest
References
- Rabkowski, J.; Peftitsis, D.; Nee, H.-P. Silicon carbide power transistors: A new era in power electronics is initiated. IEEE Ind. Electron. Mag. 2012, 6, 17–26. [Google Scholar] [CrossRef]
- Mishra, U.K.; Parikh, P.; Wu, Y.-F. AlGaN/GaN HEMTs-an overview of device operation and applications. Proc. IEEE 2002, 90, 1022–1031. [Google Scholar] [CrossRef]
- Chen, K.J.; Häberlen, O.; Lidow, A.; lin Tsai, C.; Ueda, T.; Uemoto, Y.; Wu, Y. GaN-on-Si power technology: Devices and applications. IEEE Trans. Electron Devices 2017, 64, 779–795. [Google Scholar] [CrossRef]
- Azad, M.T.; Hossain, T.; Sikder, B.; Xie, Q.; Yuan, M.; Yagyu, E.; Teo, K.H.; Palacios, T.; Chowdhury, N. AlGaN/GaN-Based Multimetal Gated High-Electron-Mobility Transistor with Improved Linearity. IEEE Trans. Electron Devices 2023, 70, 5570–5576. [Google Scholar] [CrossRef]
- Chung, J.W.; Hoke, W.E.; Chumbes, E.M.; Palacios, T. AlGaN/GaN HEMT with 300-GHz fmax. IEEE Electron Device Lett. 2010, 31, 195–197. [Google Scholar] [CrossRef]
- Ma, C.-T.; Gu, Z.-H. Review of GaN HEMT Applications in Power Converters over 500 W. Electronics 2019, 8, 1401. [Google Scholar] [CrossRef]
- Hamza, K.H.; Nirmal, D. A review of GaN HEMT broadband power amplifiers. AEU Int. J. Electron. Commun. 2020, 116, 153040. [Google Scholar] [CrossRef]
- Feng, C.; Jiang, Q.; Huang, S.; Wang, X.; Liu, X. Gate-Bias-Accelerated VTH Recovery on Schottky-Type p-GaN Gate AlGaN/GaN HEMTs. IEEE Trans. Electron Devices 2023, 70, 4591–4595. [Google Scholar] [CrossRef]
- Uren, M.J.; Karboyan, S.; Chatterjee, I.; Pooth, A.; Moens, P.; Banerjee, A.; Kuball, M. “Leaky Dielectric” Model for the Suppression of Dynamic RON in Carbon-Doped AlGaN/GaN HEMTs. IEEE Trans. Electron Devices 2017, 64, 2826–2834. [Google Scholar] [CrossRef]
- Wu, N.; Luo, L.; Xing, Z.; Li, S.; Zeng, F.; Cao, B.; Wu, C.; Li, G. Enhanced Performance of Low-Leakage-Current Normally off p-GaN Gate HEMTs Using NH3 Plasma Pretreatment. IEEE Trans. Electron Devices 2023, 70, 4560–4564. [Google Scholar] [CrossRef]
- Zhang, W.; Zhang, J.; Xiao, M.; Zhang, L.; Hao, Y. Al0.3Ga0.7N/GaN (10 nm)/Al0.1Ga0.9N HEMTs with Low Leakage Current and High Three-Terminal Breakdown Voltage. IEEE Electron Device Lett. 2018, 39, 1370–1372. [Google Scholar] [CrossRef]
- Lee, H.P.; Perozek, J.; Rosario, L.D.; Bayram, C. Investigation of AlGaN/GaN high electron mobility transistor structures on 200-mm silicon (111) substrates employing different buffer layer configurations. Sci. Rep. 2016, 6, 37588. [Google Scholar] [CrossRef]
- Wang, H.; Wei, J.; Xie, R.; Liu, C.; Tang, G.; Chen, K.J. Maximizing the Performance of 650-V p-GaN Gate HEMTs: Dynamic RON Characterization and Circuit Design Considerations. IEEE Trans. Power Electron. 2017, 32, 5539–5549. [Google Scholar] [CrossRef]
- Liu, C.; Chen, X.; Sun, R.; Lai, J.; Chen, W.; Xin, Y.; Wang, F.; Wang, X.; Li, Z.; Zhang, B. On the Abnormal Reduction and Recovery of Dynamic R ON Under UIS Stress in Schottky p-GaN Gate HEMTs. IEEE Trans. Power Electron. 2023, 38, 9347–9350. [Google Scholar] [CrossRef]
- Ye, Y.; Borkar, S.; De, V. A new technique for standby leakage reduction in high-performance circuits. In Proceedings of the 1998 Symposium on VLSI Circuits. Digest of Technical Papers (Cat. No.98CH36215), Honolulu, HI, USA, 11–13 June 1998; pp. 40–41. [Google Scholar] [CrossRef]
- Wang, Z.; Wang, Z.; Zhang, Z.; Yang, D.; Yao, Y. On the Baliga’s Figure-Of-Merits (BFOM) Enhancement of a Novel GaN Nano-Pillar Vertical Field Effect Transistor (FET) with 2DEG Channel and Patterned Substrate. Nanoscale Res. Lett. 2019, 14, 128. [Google Scholar] [CrossRef]
- Cai, Y.; Zhou, Y.; Chen, K.; Lau, K. High-performance enhancement-mode AlGaN/GaN HEMTs using fluoride-based plasma treatment. IEEE Electron Device Lett. 2005, 26, 435–437. [Google Scholar] [CrossRef]
- Wang, Z. Proposal of a novel recess-free enhancement-mode AlGaN/GaN HEMT with field-assembled structure: A simulation study. J. Comput. Electron. 2019, 18, 1251–1258. [Google Scholar] [CrossRef]
- Wang, F.; Chen, W.; Wang, Z.; Wang, Y.; Lai, J.; Sun, R.; Zhou, Q.; Zhang, B. A low turn-on voltage AlGaN/GaN lateral field-effect rectifier compatible with p-GaN gate HEMT technology. Semicond. Sci. Technol. 2021, 36, 034004. [Google Scholar] [CrossRef]
- Wang, F.; Chen, W.; Sun, R.; Wang, Z.; Zhou, Q.; Zhang, B. An analytical model on the gate control capability in p-GaN Gate AlGaN/GaN high-electron-mobility transistors considering buffer acceptor traps. J. Phys. D Appl. Phys. 2021, 54, 095107. [Google Scholar] [CrossRef]
- Wang, F.; Chen, W.; Li, X.; Sun, R.; Xu, X.; Xin, Y.; Wang, Z.; Shi, Y.; Xia, Y.; Liu, C.; et al. Charge storage impact on input capacitance in p-GaN gate AlGaN/GaN power high-electron-mobility transistors. J. Phys. D Appl. Phys. 2020, 53, 305106. [Google Scholar] [CrossRef]
- Wang, F.; Chen, W.; Xu, X.; Sun, R.; Wang, Z.; Xia, Y.; Xin, Y.; Liu, C.; Zhou, Q.; Zhang, B. Simulation Study of an Ultralow Switching Loss p-GaN Gate HEMT with Dynamic Charge Storage Mechanism. IEEE Trans. Electron Devices 2021, 68, 175–183. [Google Scholar] [CrossRef]
- Efthymiou, L.; Longobardi, G.; Camuso, G.; Chien, T.; Chen, M.; Udrea, F. On the physical operation and optimization of the p-GaN gate in normally-off GaN HEMT devices. Appl. Phys. Lett. 2017, 110, 123502. [Google Scholar] [CrossRef]
- Wang, Z.; Li, L. Two-dimensional polarization doping of GaN heterojunction and its potential for realizing lateral p–n junction devices. Appl. Phys. A 2022, 128, 672. [Google Scholar] [CrossRef]
- Wang, Z.; Che, C.; Wang, S.; Chen, C.; Wang, Z.; Yao, Y. A Novel Enhancement-Type GaN HEMT with High Power Transmission Capability Using Extended Quantum Well Channel. In Proceedings of the 2020 IEEE 15th International Conference on Solid-State & Integrated Circuit Technology (ICSICT), Kunming, China, 3–6 November 2020; pp. 1–3. [Google Scholar] [CrossRef]
- Anderson, T.J.; Tadjer, M.J.; Hite, J.K.; Greenlee, J.D.; Koehler, A.D.; Hobart, K.D.; Kub, F.J. Effect of Reduced Extended Defect Density in MOCVD Grown AlGaN/GaN HEMTs on Native GaN Substrates. IEEE Electron Device Lett. 2016, 37, 28–30. [Google Scholar] [CrossRef]
- Sokolovskij, R.; Sun, J.; Santagata, F.; Iervolino, E.; Li, S.; Zhang, G.; Sarro, P. Precision Recess of AlGaN/GaN with Controllable Etching Rate Using ICP-RIE Oxidation and Wet Etching. Procedia Eng. 2016, 168, 1094–1097. [Google Scholar] [CrossRef]
- Geng, K.; Chen, D.; Zhou, Q.; Wang, H. AlGaN/GaN MIS-HEMT with PECVD SiNx, SiON, SiO2 as Gate Dielectric and Passivation Layer. Electronics 2018, 7, 416. [Google Scholar] [CrossRef]
- Zhang, S.; Liu, X.; Wei, K.; Huang, S.; Chen, X.; Zhang, Y.; Zheng, Y.; Liu, G.; Yuan, T.; Wang, X.; et al. Suppression of Gate Leakage Current in Ka-Band AlGaN/GaN HEMT with 5-nm SiN Gate Dielectric Grown by Plasma-Enhanced ALD. IEEE Trans. Electron Devices 2021, 68, 49–52. [Google Scholar] [CrossRef]
- Suria, A.J.; Yalamarthy, A.S.; So, H.; Senesky, D.G. DC characteristics of ALD-grown Al2O3/AlGaN/GaN MIS-HEMTs and HEMTs at 600 °C in air. Semicond. Sci. Technol. 2016, 31, 115017. [Google Scholar] [CrossRef]
- Lu, H.; Ma, X.; Hou, B.; Yang, L.; Zhang, M.; Wu, M.; Si, Z.; Zhang, X.; Niu, X.; Hao, Y. Improved RF Power Performance of AlGaN/GaN HEMT Using by Ti/Au/Al/Ni/Au Shallow Trench Etching Ohmic Contact. IEEE Trans. Electron Devices 2021, 68, 4842–4846. [Google Scholar] [CrossRef]
- Hwang, I.; Kim, J.; Choi, H.S.; Choi, H.; Lee, J.; Kim, K.Y.; Park, J.-B.; Lee, J.C.; Ha, J.; Oh, J.; et al. p-GaN Gate HEMTs with Tungsten Gate Metal for High Threshold Voltage and Low Gate Current. IEEE Electron Device Lett. 2013, 34, 202–204. [Google Scholar] [CrossRef]
- Wang, Z.; Yang, D.; Cao, J.; Wang, F.; Yao, Y. A novel technology for turn-on voltage reduction of high-performance lateral heterojunction diode with source-gate shorted anode. Superlattices Microstruct. 2019, 125, 144–150. [Google Scholar] [CrossRef]
- Wang, Z.; Zhang, Z.; Wang, S.; Chen, C.; Wang, Z.; Yao, Y. Design and Optimization on a Novel High-Performance Ultra-Thin Barrier AlGaN/GaN Power HEMT with Local Charge Compensation Trench. Appl. Sci. 2019, 9, 3054. [Google Scholar] [CrossRef]
- Armstrong, A.M.; Klein, B.A.; Baca, A.G.; Allerman, A.A.; Douglas, E.A.; Colon, A.; Abate, V.M.; Fortune, T.R. AlGaN polarization-doped field effect transistor with compositionally graded channel from Al0.6Ga0.4N to AlN. Appl. Phys. Lett. 2019, 114, 052103. [Google Scholar] [CrossRef]
- Hamza, K.H.; Nirmal, D.; Fletcher, A.A.; Arivazhagan, L.; Ajayan, J.; Natarajan, R. Highly scaled graded channel GaN HEMT with peak drain current of 2.48 A/mm. AEU Int. J. Electron. Commun. 2021, 136, 153774. [Google Scholar] [CrossRef]
- Marino, F.A.; Faralli, N.; Ferry, D.K.; Goodnick, S.M.; Saraniti, M.; Varani, L. Figures of merit in high-frequency and high-power GaN HEMTs. In Proceedings of the 16th International Conference on Electron Dynamics in Semiconductors, Optoelectronics and Nanostructures (Edison 16), Montpellier, France, 24–28 August 2009. [Google Scholar]
- Fletcher, A.S.A.; Nirmal, D.; Arivazhagan, L.; Ajayan, J.; Varghese, A. Enhancement of Johnson figure of merit in III-V HEMT combined with discrete field plate and AlGaN blocking layer. Int. J. RF Microw. Comput. Eng. 2020, 30, e22040. [Google Scholar] [CrossRef]











| Short Name | Full Name | Value |
|---|---|---|
| LS | Source length | 40 nm |
| HP | p-GaN height | 200 to 400 nm |
| NA | p-GaN doping concentration | 1018 cm−3 |
| / | n-GaN doping concentration | 3 × 1020 cm−3 |
| / | GaN cap doping concentration | 2 × 1020 cm−3 |
| / | Thickness of n-GaN | 10 nm |
| / | Thickness of GaN cap | 1 nm |
| / | The thickness of graded AlGaN | 15 nm |
Disclaimer/Publisher’s Note: The statements, opinions and data contained in all publications are solely those of the individual author(s) and contributor(s) and not of MDPI and/or the editor(s). MDPI and/or the editor(s) disclaim responsibility for any injury to people or property resulting from any ideas, methods, instructions or products referred to in the content. |
© 2023 by the authors. Licensee MDPI, Basel, Switzerland. This article is an open access article distributed under the terms and conditions of the Creative Commons Attribution (CC BY) license (https://creativecommons.org/licenses/by/4.0/).
Share and Cite
Chen, X.; Wang, F.; Wang, Z.; Huang, J.-K. Exploring the Potential of GaN-Based Power HEMTs with Coherent Channel. Micromachines 2023, 14, 2041. https://doi.org/10.3390/mi14112041
Chen X, Wang F, Wang Z, Huang J-K. Exploring the Potential of GaN-Based Power HEMTs with Coherent Channel. Micromachines. 2023; 14(11):2041. https://doi.org/10.3390/mi14112041
Chicago/Turabian StyleChen, Xinghuan, Fangzhou Wang, Zeheng Wang, and Jing-Kai Huang. 2023. "Exploring the Potential of GaN-Based Power HEMTs with Coherent Channel" Micromachines 14, no. 11: 2041. https://doi.org/10.3390/mi14112041
APA StyleChen, X., Wang, F., Wang, Z., & Huang, J.-K. (2023). Exploring the Potential of GaN-Based Power HEMTs with Coherent Channel. Micromachines, 14(11), 2041. https://doi.org/10.3390/mi14112041

