Theoretical Analysis of Piezoelectric Semiconductor Thick Plates with Periodic Boundary Conditions
Abstract
:1. Introduction
2. A general Solution for a PSC Plate
2.1. The Basic Equations for PSCs
2.2. The Basic Solution by Stroh Formalism
2.3. Boundary Conditions
2.4. The General Solution
2.4.1. The Solution for a Constant Loading Term
2.4.2. The Solution for the Exponential Loading Terms
2.4.3. The General Solution
2.5. Degeneration from PSCs to Piezoelectric and Elastic Solutions
3. Numerical Example for a PSC Plate under Four-Point Bending
4. The Discussion of the Theoretical Solution
4.1. Influence of the Constant Boundary Condition
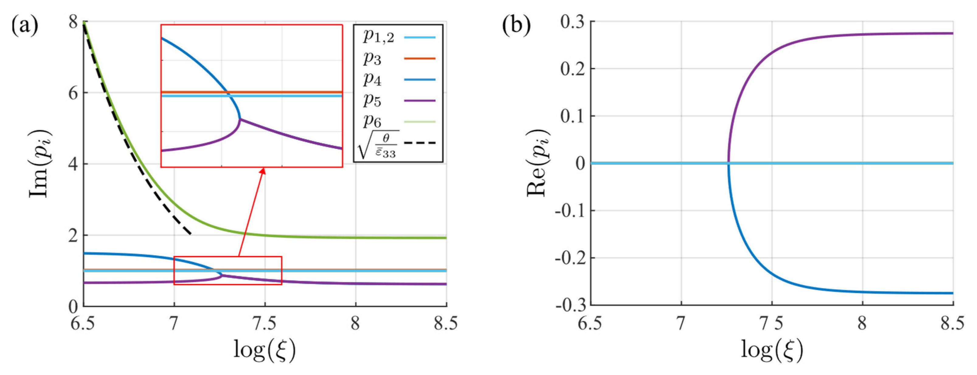
4.2. The Effect of Reciprocal Length
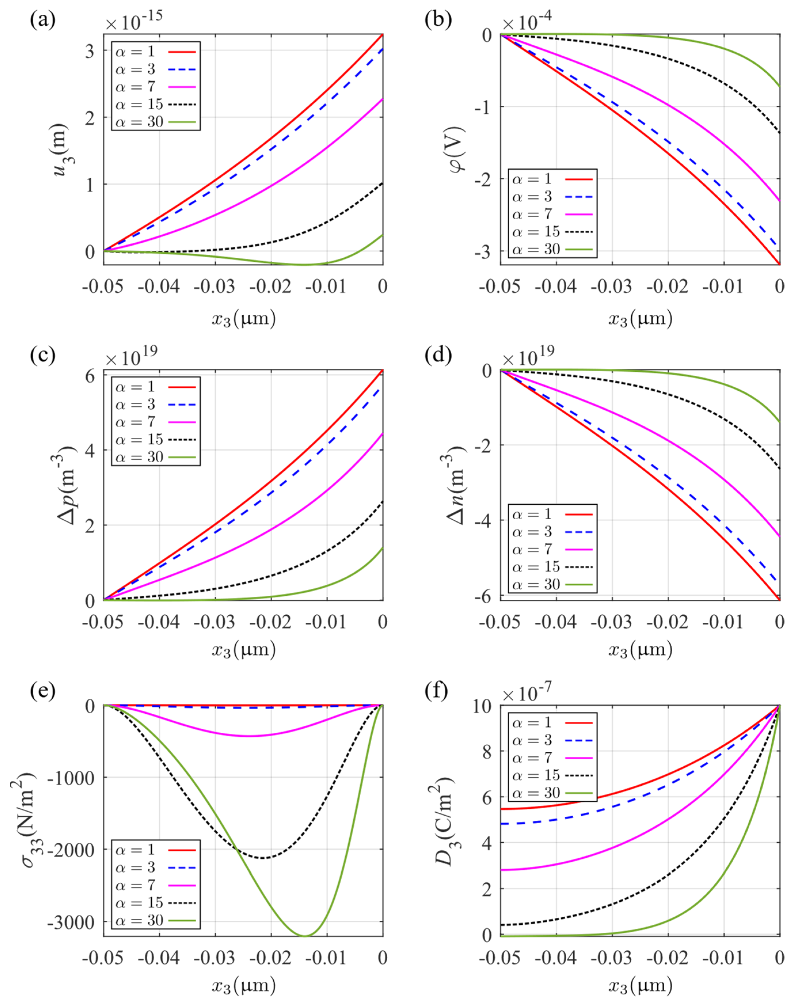
4.3. Influence of the Periodic Boundary Conditions
5. Conclusions
Author Contributions
Funding
Data Availability Statement
Conflicts of Interest
References
- Hutson, A.R. Piezoelectricity and Conductivity in ZnO and CdS. Phys. Rev. Lett. 1960, 4, 505–507. [Google Scholar] [CrossRef]
- Wang, X.; Zhou, J.; Song, J.; Liu, J.; Xu, N.; Wang, Z.L. Piezoelectric Field Effect Transistor and Nanoforce Sensor Based on a Single ZnO Nanowire. Nano Lett. 2006, 6, 2768–2772. [Google Scholar] [CrossRef]
- He, J.H.; Hsin, C.L.; Liu, J.; Chen, L.J.; Wang, Z.L. Piezoelectric Gated Diode of a Single ZnO Nanowire. Adv. Mater. 2007, 19, 781–784. [Google Scholar] [CrossRef]
- Wang, Z.L. Nanopiezotronics. Adv. Mater. 2007, 19, 889–892. [Google Scholar] [CrossRef]
- Yang, Q.; Wang, W.; Xu, S.; Wang, Z.L. Enhancing Light Emission of ZnO Microwire-Based Diodes by Piezo-Phototronic Effect. Nano Lett. 2011, 11, 4012–4017. [Google Scholar] [CrossRef] [PubMed]
- Hu, Y.; Zhang, Y.; Chang, Y.; Snyder, R.L.; Wang, Z.L. Optimizing the Power Output of a ZnO Photocell by Piezopotential. ACS Nano 2010, 4, 4220–4224. [Google Scholar] [CrossRef] [PubMed]
- Yang, Q.; Guo, X.; Wang, W.; Zhang, Y.; Xu, S.; Lien, D.H.; Wang, Z.L. Enhancing Sensitivity of a Single ZnO Micro-/Nanowire Photodetector by Piezo-Phototronic Effect. ACS Nano 2010, 4, 6285–6291. [Google Scholar] [CrossRef] [PubMed]
- Zhang, J.; Meguid, S.A. On the Piezoelectric Potential of Gallium Nitride Nanotubes. Nano Energy 2015, 12, 322–330. [Google Scholar] [CrossRef]
- Yu, R.; Dong, L.; Pan, C.; Niu, S.; Liu, H.; Liu, W.; Chua, S.; Chi, D.; Wang, Z.L. Piezotronic Effect on the Transport Properties of GaN Nanobelts for Active Flexible Electronics. Adv. Mater. 2012, 24, 3532–3537. [Google Scholar] [CrossRef] [PubMed]
- Yu, R.; Wang, X.; Wu, W.; Pan, C.; Bando, Y.; Fukata, N.; Hu, Y.; Peng, W.; Ding, Y.; Wang, Z.L. Temperature Dependence of the Piezophototronic Effect in CdS Nanowires. Adv. Funct. Mater. 2015, 25, 5277–5284. [Google Scholar] [CrossRef]
- Rai, S.C.; Wang, K.; Chen, J.; Marmon, J.K.; Bhatt, M.; Wozny, S.; Zhang, Y.; Zhou, W. Enhanced Broad Band Photodetection through Piezo-Phototronic Effect in CdSe/ZnTe Core/Shell Nanowire Array. Adv. Electron. Mater. 2015, 1, 1400050. [Google Scholar] [CrossRef]
- Li, X.; Wei, X.; Xu, T.; Pan, D.; Zhao, J.; Chen, Q. Remarkable and Crystal-Structure-Dependent Piezoelectric and Piezoresistive Effects of InAs Nanowires. Adv. Mater. 2015, 27, 2852–2858. [Google Scholar] [CrossRef] [PubMed]
- Ku, N.-J.; Huang, J.-H.; Wang, C.-H.; Fang, H.-C.; Liu, C.-P. Crystal Face-Dependent Nanopiezotronics of an Obliquely Aligned InN Nanorod Array. Nano Lett. 2012, 12, 562–568. [Google Scholar] [CrossRef] [PubMed]
- Pan, C.; Yu, R.; Niu, S.; Zhu, G.; Wang, Z.L. Piezotronic Effect on the Sensitivity and Signal Level of Schottky Contacted Proactive Micro/Nanowire Nanosensors. ACS Nano 2013, 7, 1803–1810. [Google Scholar] [CrossRef] [PubMed]
- Niu, S.; Hu, Y.; Wen, X.; Zhou, Y.; Zhang, F.; Lin, L.; Wang, S.; Wang, Z.L. Enhanced Performance of Flexible ZnO Nanowire Based Room-Temperature Oxygen Sensors by Piezotronic Effect. Adv. Mater. 2013, 25, 3701–3706. [Google Scholar] [CrossRef] [PubMed]
- Zhou, X.; Shen, B.; Lyubartsev, A.; Zhai, J.; Hedin, N. Semiconducting Piezoelectric Heterostructures for Piezo- and Piezophotocatalysis. Nano Energy 2022, 96, 107141. [Google Scholar] [CrossRef]
- Wu, W.; Wang, L.; Li, Y.; Zhang, F.; Lin, L.; Niu, S.; Chenet, D.; Zhang, X.; Hao, Y.; Heinz, T.F.; et al. Piezoelectricity of Single-Atomic-Layer MoS2 for Energy Conversion and Piezotronics. Nature 2014, 514, 470–474. [Google Scholar] [CrossRef]
- Wu, T.; Zhang, H. Piezoelectricity in Two-Dimensional Materials. Angew. Chem. Int. Ed. 2015, 54, 4432–4434. [Google Scholar] [CrossRef]
- Wen, X.; Wu, W.; Ding, Y.; Wang, Z.L. Piezotronic Effect in Flexible Thin-Film Based Devices. Adv. Mater. 2013, 25, 3371–3379. [Google Scholar] [CrossRef]
- Xue, F.; Zhang, L.; Tang, W.; Zhang, C.; Du, W.; Wang, Z.L. Piezotronic Effect on ZnO Nanowire Film Based Temperature Sensor. ACS Appl. Mater. Interfaces 2014, 6, 5955–5961. [Google Scholar] [CrossRef]
- Khan, M.B.; Jan, R.; Habib, A.; Khan, A.N. Evaluating Mechanical Properties of Few Layers MoS 2 Nanosheets-Polymer Composites. Adv. Mater. Sci. Eng. 2017, 2017, 3176808. [Google Scholar] [CrossRef]
- Oh, H.; Dayeh, S.A. Physics-Based Device Models and Progress Review for Active Piezoelectric Semiconductor Devices. Sensors 2020, 20, 3872. [Google Scholar] [CrossRef] [PubMed]
- Zhang, C.; Wang, X.; Chen, W.; Yang, J. An Analysis of the Extension of a ZnO Piezoelectric Semiconductor Nanofiber under an Axial Force. Smart Mater. Struct. 2017, 26, 025030. [Google Scholar] [CrossRef]
- Zhang, C.; Wang, X.; Chen, W.; Yang, J. Bending of a Cantilever Piezoelectric Semiconductor Fiber Under an End Force. In Generalized Models and Non-classical Approaches in Complex Materials 2; Altenbach, H., Pouget, J., Rousseau, M., Collet, B., Michelitsch, T., Eds.; Advanced Structured Materials; Springer International Publishing: Cham, Switzerland, 2018; Volume 90, pp. 261–278. ISBN 978-3-319-77503-6. [Google Scholar]
- Chen, J.; Zhang, G.; Li, D.; Qu, Y. Virtual Work Principle for Piezoelectric Semiconductors and Its Application on Extension and Bending of ZnO Nanowires. Crystals 2023, 13, 1368. [Google Scholar] [CrossRef]
- Luo, Y.; Zhang, C.; Chen, W.; Yang, J. An Analysis of PN Junctions in Piezoelectric Semiconductors. J. Appl. Phys. 2017, 122, 204502. [Google Scholar] [CrossRef]
- Yang, Y.; Chen, J.; Wang, Y. The Limit Tuning Effects Exerted by the Mechanically Induced Artificial Potential Barriers on the I–V Characteristics of Piezoelectric PN Junctions. Micromachines 2022, 13, 2103. [Google Scholar] [CrossRef]
- Cheng, R.; Zhang, C.; Chen, W.; Yang, J. Piezotronic Effects in the Extension of a Composite Fiber of Piezoelectric Dielectrics and Nonpiezoelectric Semiconductors. J. Appl. Phys. 2018, 124, 064506. [Google Scholar] [CrossRef]
- Yang, G.; Yang, L.; Du, J.; Wang, J.; Yang, J. PN Junctions with Coupling to Bending Deformation in Composite Piezoelectric Semiconductor Fibers. Int. J. Mech. Sci. 2020, 173, 105421. [Google Scholar] [CrossRef]
- Luo, Y.; Zhang, C.; Chen, W.; Yang, J. Piezotronic Effect of a Thin Film With Elastic and Piezoelectric Semiconductor Layers Under a Static Flexural Loading. J. Appl. Mech. 2019, 86, 051003. [Google Scholar] [CrossRef]
- Li, M.; Zhang, Q.; Wang, B.; Zhao, M. Analysis of Flexural Vibrations of a Piezoelectric Semiconductor Nanoplate Driven by a Time-Harmonic Force. Materials 2021, 14, 3926. [Google Scholar] [CrossRef]
- Qu, Y.; Jin, F.; Yang, J. Stress-Induced Electric Potential Barriers in Thickness-Stretch Deformations of a Piezoelectric Semiconductor Plate. Acta Mech 2021, 232, 4533–4543. [Google Scholar] [CrossRef]
- Sladek, J.; Sladvek, V.; Pan, E.; Young, D.L. Dynamic Anti-Plane Crack Analysis in Functional Graded Piezoelectric Semiconductor Crystals. Comput. Model. Eng. Sci. 2014, 99, 273–296. [Google Scholar]
- Zhao, M.; Pan, Y.; Fan, C.; Xu, G. Extended Displacement Discontinuity Method for Analysis of Cracks in 2D Piezoelectric Semiconductors. Int. J. Solids Struct. 2016, 94–95, 50–59. [Google Scholar] [CrossRef]
- Qin, G.; Lu, C.; Zhang, X.; Zhao, M. Electric Current Dependent Fracture in GaN Piezoelectric Semiconductor Ceramics. Materials 2018, 11, 2000. [Google Scholar] [CrossRef]
- Yang, J.S.; Zhou, H.G. Amplification of Acoustic Waves in Piezoelectric Semiconductor Plates. Int. J. Solids Struct. 2005, 42, 3171–3183. [Google Scholar] [CrossRef]
- Jiao, F.; Wei, P.; Zhou, Y.; Zhou, X. Wave Propagation through a Piezoelectric Semiconductor Slab Sandwiched by Two Piezoelectric Half-Spaces. Eur. J. Mech. A/Solids 2019, 75, 70–81. [Google Scholar] [CrossRef]
- Tian, R.; Nie, G.; Liu, J.; Pan, E.; Wang, Y. On Rayleigh Waves in a Piezoelectric Semiconductor Thin Film over an Elastic Half-Space. Int. J. Mech. Sci. 2021, 204, 106565. [Google Scholar] [CrossRef]
- Cheng, R.; Zhang, C.; Yang, J. Thermally Induced Carrier Distribution in a Piezoelectric Semiconductor Fiber. J. Electron. Mater. 2019, 48, 4939–4946. [Google Scholar] [CrossRef]
- Yang, Z.; Zhang, Z.; Liu, C.; Gao, C.; Chen, W.; Zhang, C. Analysis of a Hollow Piezoelectric Semiconductor Composite Cylinder under a Thermal Loading. Mech. Adv. Mater. Struct. 2023, 30, 2037–2046. [Google Scholar] [CrossRef]
- Qu, Y.; Pan, E.; Zhu, F.; Jin, F.; Roy, A.K. Modeling Thermoelectric Effects in Piezoelectric Semiconductors: New Fully Coupled Mechanisms for Mechanically Manipulated Heat Flux and Refrigeration. Int. J. Eng. Sci. 2023, 182, 103775. [Google Scholar] [CrossRef]
- Wang, G.; Liu, J.; Feng, W.; Yang, J. Magnetically Induced Carrier Distribution in a Composite Rod of Piezoelectric Semiconductors and Piezomagnetics. Materials 2020, 13, 3115. [Google Scholar] [CrossRef] [PubMed]
- Wang, Y.; Huang, Y.; Zhang, C.; Xu, R. Bending Analysis of Multiferroic Semiconductor Composite Beam towards Smart Cement-Based Materials. Materials 2023, 16, 421. [Google Scholar] [CrossRef] [PubMed]
- Qu, Y.; Jin, F.; Yang, J. Torsion of a Piezoelectric Semiconductor Rod of Cubic Crystals with Consideration of Warping and In-Plane Shear of Its Rectangular Cross Section. Mech. Mater. 2022, 172, 104407. [Google Scholar] [CrossRef]
- Guo, Z.; Chen, J.; Zhang, G.; Mi, C.; Qu, Y. Exact Solutions for Plane Stress Problems of Piezoelectric Semiconductors: Tuning Free-Carrier Motions by Various Mechanical Loadings. Eur. J. Mech. A/Solids 2023, 101, 105073. [Google Scholar] [CrossRef]
- Stroh, A.N. Dislocations and Cracks in Anisotropic Elasticity. Philos. Mag. 1958, 3, 625–646. [Google Scholar] [CrossRef]
- Lothe, J.; Barnett, D.M. Integral Formalism for Surface Waves in Piezoelectric Crystals. Existence Considerations. J. Appl. Phys. 1976, 47, 1799–1807. [Google Scholar] [CrossRef]
- Ting, T.C.T. Anisotropic Elasticity: Theory and Applications, 1st ed.; Oxford University Press: New York, NY, USA, 1996; ISBN 978-0-19-507447-5. [Google Scholar]
- Hwu, C. Some Explicit Expressions of Extended Stroh Formalism for Two-Dimensional Piezoelectric Anisotropic Elasticity. Int. J. Solids Struct. 2008, 45, 4460–4473. [Google Scholar] [CrossRef]
- Zhang, Y.; Xia, R.; Huang, K.; Li, Z. Theoretical Analysis of Guided Waves Propagation in Periodic Piezoelectric Plates with Shunting Circuits. Front. Phys. 2022, 10, 1094077. [Google Scholar] [CrossRef]
- Zhang, Y.; Xia, R.; Xu, J.; Huang, K.; Li, Z. Theoretical Analysis of Surface Waves in Piezoelectric Medium with Periodic Shunting Circuits. Appl. Math. Mech.-Engl. Ed. 2023, 44, 1287–1304. [Google Scholar] [CrossRef]
- Yang, J. An Introduction to the Theory of Piezoelectricity; Springer: New York, NY, USA, 2006. [Google Scholar]
- Pierret, R. Semiconductor Device Fundamentals, 2nd ed.; Addison Wesley: Reading, MA, USA, 1996; ISBN 978-0-201-54393-3. [Google Scholar]
- Lekhnitskii, S.G.; Fern, P.; Brandstatter, J.J.; Dill, E.H. Theory of Elasticity of an Anisotropic Elastic Body. Phys. Today 1964, 17, 84. [Google Scholar] [CrossRef]
- Vel, S.S.; Batra, R.C. Analytical Solution for Rectangular Thick Laminated Plates Subjected to Arbitrary Boundary Conditions. AIAA J. 1999, 37, 1464–1473. [Google Scholar] [CrossRef]
- Vel, S.S.; Batra, R.C. The Generalized Plane Strain Deformations of Thick Anisotropic Composite Laminated Plates. Int. J. Solids Struct. 2000, 37, 715–733. [Google Scholar] [CrossRef]
- Tanuma, K. Stroh Formalism and Rayleigh Waves. In Stroh Formalism and Rayleigh Waves; Tanuma, K., Ed.; Springer: Dordrecht, The Netherlands, 2007; pp. 5–154. ISBN 978-1-4020-6389-3. [Google Scholar]
- Auld, B.A. Acoustic Fields and Waves in Solids; Wiley: New York, NY, USA, 1973; Volume 2, ISBN 978-0-471-03701-9. [Google Scholar]










| Stiffness | ||||
| 20.97 | 21.09 | 4.247 | 4.43 | 10.51 |
| Piezoelectric Stress Constants | Dielectric Constants | |||
| −0.48 | −0.573 | 1.32 | 7.57 | 9.03 |
Disclaimer/Publisher’s Note: The statements, opinions and data contained in all publications are solely those of the individual author(s) and contributor(s) and not of MDPI and/or the editor(s). MDPI and/or the editor(s) disclaim responsibility for any injury to people or property resulting from any ideas, methods, instructions or products referred to in the content. |
© 2023 by the authors. Licensee MDPI, Basel, Switzerland. This article is an open access article distributed under the terms and conditions of the Creative Commons Attribution (CC BY) license (https://creativecommons.org/licenses/by/4.0/).
Share and Cite
Zhu, J.; Negahban, M.; Xu, J.; Xia, R.; Li, Z. Theoretical Analysis of Piezoelectric Semiconductor Thick Plates with Periodic Boundary Conditions. Micromachines 2023, 14, 2174. https://doi.org/10.3390/mi14122174
Zhu J, Negahban M, Xu J, Xia R, Li Z. Theoretical Analysis of Piezoelectric Semiconductor Thick Plates with Periodic Boundary Conditions. Micromachines. 2023; 14(12):2174. https://doi.org/10.3390/mi14122174
Chicago/Turabian StyleZhu, Jueyong, Mehrdad Negahban, Jie Xu, Rongyu Xia, and Zheng Li. 2023. "Theoretical Analysis of Piezoelectric Semiconductor Thick Plates with Periodic Boundary Conditions" Micromachines 14, no. 12: 2174. https://doi.org/10.3390/mi14122174
APA StyleZhu, J., Negahban, M., Xu, J., Xia, R., & Li, Z. (2023). Theoretical Analysis of Piezoelectric Semiconductor Thick Plates with Periodic Boundary Conditions. Micromachines, 14(12), 2174. https://doi.org/10.3390/mi14122174

