Investigation into Photolithography Process of FPCB with 18 µm Line Pitch
Abstract
1. Introduction
2. Materials and Methods
2.1. Governing Equations
2.2. Simulation Model
3. Results and Discussion
3.1. Effects of Incident Light Intensity
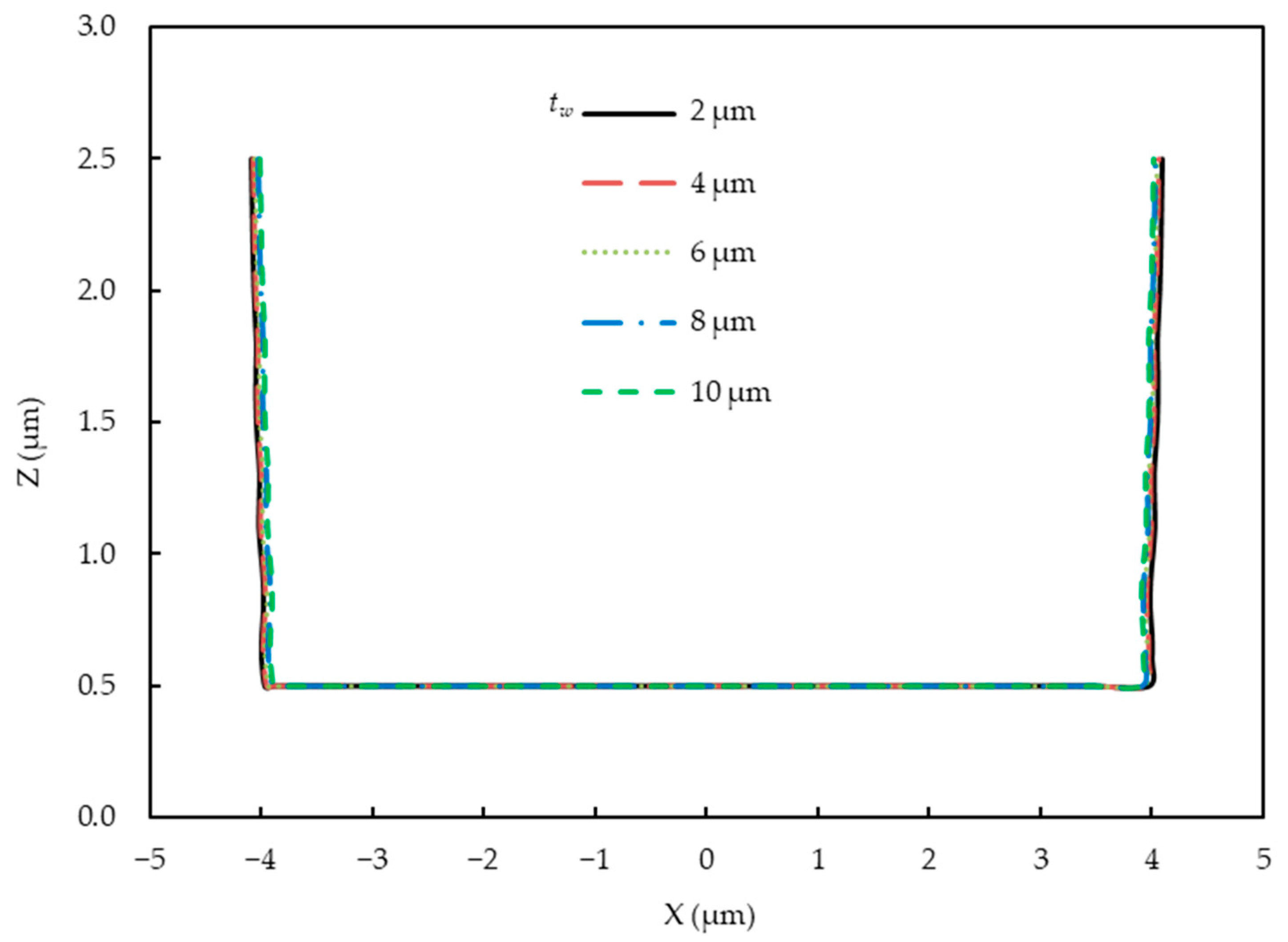
3.2. Effects of Air Gap and Types of Media
3.3. Experimental Results and Analysis
4. Conclusions
Author Contributions
Funding
Data Availability Statement
Acknowledgments
Conflicts of Interest
References
- Meng, B.; Tang, W.; Zhang, X.S.; Han, M.D.; Liu, W.; Zhang, H.X. Self-powered flexible printed circuit board with integrated triboelectric generator. Nano Energy 2013, 2, 1101–1106. [Google Scholar] [CrossRef]
- Sheng, J.Z.; Li, H.; Shen, S.N.; Ming, R.J.; Sun, B.; Wang, J.; Zhang, D.D.; Tang, Y.G. Investigation on chemical etching process of FPCB with 18 μm line pitch. IEEE Access 2021, 9, 50872–50879. [Google Scholar] [CrossRef]
- Ming, R.J.; Li, H.; Chen, A.J.; Sheng, J.Z.; Sun, B.; Wang, J.; Huang, C.S.; Yang, J. Investigation on spraying uniformity in etching process of FPCB with 18 μm line pitch. Int. J. Precis. Eng. Manuf. 2022, 23, 479–488. [Google Scholar] [CrossRef]
- Zhou, Z.F.; Huang, Q. Comprehensive simulations for ultraviolet lithography process of thick SU-8 photoresist. Micromachines 2018, 9, 341. [Google Scholar] [CrossRef] [PubMed]
- Kim, S.K.; Lee, J.E.; Park, S.W.; Oh, H.K. Optical lithography simulation for the whole resist process. Curr. Appl. Phys. 2006, 6, 48–53. [Google Scholar] [CrossRef]
- Koyama, M.; Shirai, M.; Kawata, H.; Hirai, Y.; Yasuda, M. Computational study on UV curing characteristics in nanoimprint lithography: Stochastic simulation. Jpn. J. Appl. Phys. 2017, 56, 06GL03. [Google Scholar] [CrossRef]
- Tsvetkov, Y.B. Computer simulation of diffraction focusing in proximity lithography. AIP Conf. Proc. 2019, 2195, 020064. [Google Scholar]
- Yasuda, M.; Koyama, M.; Imai, K.; Shirai, M.; Kawata, H.; Hirai, Y. Stochastic simulation of pattern formation for negative-type chemically amplified resists in extreme ultraviolet lithography. J. Photopolym. Sci. Technol. 2020, 33, 53–56. [Google Scholar] [CrossRef]
- Rudolph, O.H.; Evanschitzky, P.; Erdmann, A.; Bar, E.; Lorenz, J. Rigorous electromagnetic field simulation of the impact of photomask line-edge and line-width roughness on lithographic processes. J. Micro/Nanolith. MEMS MOEMS 2012, 11, 013004. [Google Scholar] [CrossRef]
- Ichikawa, T.; Yagisawa, T.; Furukawa, S.; Taguchi, T.; Nojima, S.; Murakami, S.; Tamaoki, N. Cooperative simulation of lithography and topography for three-dimensional high-aspect-ratio etching. Jpn. J. Appl. Phys. 2018, 57, 06JC01. [Google Scholar] [CrossRef]
- Yasuda, M.; Tada, K.; Kotera, M. Multiphysics simulation of nanopatterning in electron beam lithography. J. Photopolym. Sci. Technol. 2016, 29, 725–730. [Google Scholar] [CrossRef]
- Bourdillon, A.J.; Boothroyd, C.B.; Kong, J.R.; Vladimirsky, Y. A critical condition in Fresnel diffraction used for ultra-high resolution lithographic printing. J. Phys. Appl. Phys. 2000, 33, 2133–2141. [Google Scholar] [CrossRef]
- Tian, X.; Liu, G.; Tian, Y.; Zhang, P.; Zhang, X. Simulation of deep UV lithography with SU-8 resist by using 365 nm light source. Microsyst. Technol. 2005, 11, 265–270. [Google Scholar] [CrossRef]
- Zhou, Z.F.; Shi, L.L.; Zhang, H.; Huang, Q.A. Large scale three-dimensional simulations for thick SU-8 lithography process based on a full hash fast marching method. Microelectron. Eng. 2014, 123, 171–174. [Google Scholar] [CrossRef]
- Geng, Z.C.; Zhou, Z.F.; Dai, H.; Huang, Q.A. A 2D waveguide method for lithography simulation of thick SU-8 photoresist. Micromachines 2020, 11, 972. [Google Scholar] [CrossRef] [PubMed]
- Koyama, M.; Shirai, M.; Kawata, H.; Hirai, Y.; Yasuda, M. Stochastic simulation of the UV curing process in nanoimprint lithography: Pattern size and shape effects in sub-50 nm lithography. J. Vac. Sci. Technol. 2017, 35, 06G307. [Google Scholar] [CrossRef]
- Majumder, A.; Helms, P.L.; Andrew, T.L.; Menon, R. A comprehensive simulation model of the performance of photochromic films in absorbance-modulation-optical-lithography. AIP Adv. 2016, 6, 035210. [Google Scholar] [CrossRef]
- Arat, K.T.; Zonnevylle, A.C.; Ketelaars, W.S.M.M.; Belic, N.; Hofmann, U.; Hagen, C.W. Electron beam lithography on curved or tilted surfaces: Simulations and experiments. J. Vac. Sci. Technol. 2019, 37, 051604. [Google Scholar] [CrossRef]
- Liu, X.L.; Wang, X.Z.; Li, S.K.; Yan, G.Y.; Erdmann, A. Fast model for mask spectrum simulation and analysis of mask shadowing effects in extreme ultraviolet lithography. J. Micro/Nanolith. MEMS MOEMS 2014, 13, 033007. [Google Scholar] [CrossRef]
- Palik, E.D. Handbook of Optical Constants of Solids; Academic Press: Pittsburgh, PA, USA, 1998; Volume 3, pp. 749–763. [Google Scholar]












| Materials | Cr | SiO2 | Photoresist | Cu |
|---|---|---|---|---|
| Refractive index | 1.4 + 3.26i | 1.47 | 1.68 + 0.0058i | 1.27 + 1.95i |
| Permittivity | −8.66 + 9.13i | 2.17 | 2.82 + 0.019i | −2.21 + 4.96i |
Disclaimer/Publisher’s Note: The statements, opinions and data contained in all publications are solely those of the individual author(s) and contributor(s) and not of MDPI and/or the editor(s). MDPI and/or the editor(s) disclaim responsibility for any injury to people or property resulting from any ideas, methods, instructions or products referred to in the content. |
© 2023 by the authors. Licensee MDPI, Basel, Switzerland. This article is an open access article distributed under the terms and conditions of the Creative Commons Attribution (CC BY) license (https://creativecommons.org/licenses/by/4.0/).
Share and Cite
Sun, K.; Wu, G.; Liang, K.; Sun, B.; Wang, J. Investigation into Photolithography Process of FPCB with 18 µm Line Pitch. Micromachines 2023, 14, 1020. https://doi.org/10.3390/mi14051020
Sun K, Wu G, Liang K, Sun B, Wang J. Investigation into Photolithography Process of FPCB with 18 µm Line Pitch. Micromachines. 2023; 14(5):1020. https://doi.org/10.3390/mi14051020
Chicago/Turabian StyleSun, Ke, Gai Wu, Kang Liang, Bin Sun, and Jian Wang. 2023. "Investigation into Photolithography Process of FPCB with 18 µm Line Pitch" Micromachines 14, no. 5: 1020. https://doi.org/10.3390/mi14051020
APA StyleSun, K., Wu, G., Liang, K., Sun, B., & Wang, J. (2023). Investigation into Photolithography Process of FPCB with 18 µm Line Pitch. Micromachines, 14(5), 1020. https://doi.org/10.3390/mi14051020

