Full Complex-Amplitude Modulation of Surface Waves Based on Spin-Decoupled Metasurface
Abstract
1. Introduction
2. Concept and Meta-Atom Design
3. Meta-Device Design
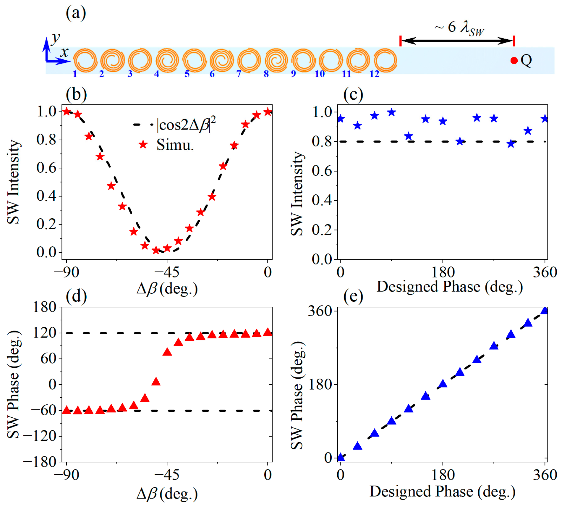
3.1. Supercell Analysis
3.2. Meta-Device Design for Airy Beam Generation
3.3. Polarization Delinked Wavefront Manipulation
4. Conclusions
Author Contributions
Funding
Data Availability Statement
Conflicts of Interest
References
- Raether, H. Surface Plasmons on Smooth and Rough Surfaces and on Gratings; Springer: Berlin/Heidelberg, Germany, 1986. [Google Scholar]
- Anker, J.N.; Hall, W.P.; Lyandres, O.; Shah, N.C.; Zhao, J.; Van Duyne, R.P. Biosensing with plasmonic nanosensors. Nat. Mater. 2008, 7, 442–453. [Google Scholar] [CrossRef]
- Kauranen, M.; Zayats, A.V. Nonlinear plasmonics. Nat. Photonics 2012, 6, 737–748. [Google Scholar] [CrossRef]
- Wei, F.; Lu, D.; Shen, H.; Wan, W.; Ponsetto, J.L.; Huang, E.; Liu, Z. Wide field super-resolution surface imaging through plasmonic structured illumination microscopy. Nano Lett. 2014, 14, 4634–4639. [Google Scholar] [CrossRef]
- Zia, R.; Schuller, J.A.; Chandran, A.; Brongersma, M.L. Plasmonics: The next chip-scale technology. Mater. Today 2006, 9, 20–27. [Google Scholar] [CrossRef]
- Kim, J.T.; Ju, J.J.; Park, S.; Kim, M.-S.; Park, S.K.; Lee, M.-H. Chip-to-chip optical interconnect using gold long-range surface plasmon polariton waveguides. Opt. Express 2008, 16, 13133–13138. [Google Scholar] [CrossRef] [PubMed]
- Yu, N.; Genevet, P.; Kats, M.A.; Aieta, F.; Tetienne, J.-P.; Capasso, F.; Gaburro, Z. Light propagation with phase discontinuities: Generalized laws of reflection and refraction. Science 2011, 334, 333–337. [Google Scholar] [CrossRef] [PubMed]
- Sun, S.; He, Q.; Xiao, S.; Xu, Q.; Li, X.; Zhou, L. Gradient-index meta-surfaces as a bridge linking propagating waves and surface waves. Nat. Mater. 2012, 11, 426–431. [Google Scholar] [CrossRef] [PubMed]
- Wang, J.; Qu, S.; Ma, H.; Xu, Z.; Zhang, A.; Zhou, H.; Chen, H.; Li, Y. High-efficiency spoof plasmon polariton coupler mediated by gradient metasurfaces. Appl. Phys. Lett. 2012, 101, 201104. [Google Scholar] [CrossRef]
- Sun, W.; He, Q.; Sun, S.; Zhou, L. High-efficiency surface plasmon meta-couplers: Concept and microwave-regime realizations. Light Sci. Appl. 2016, 5, e16003. [Google Scholar] [CrossRef]
- Li, S.; Wang, Z.; Dong, S.; Yi, S.; Guan, F.; Chen, Y.; Guo, H.; He, Q.; Zhou, L.; Sun, S. Helicity-delinked manipulations on surface waves and propagating waves by metasurfaces. Nanophotonics 2020, 9, 3473–3481. [Google Scholar] [CrossRef]
- Meng, Y.; Ma, H.; Li, Y.; Feng, M.; Wang, J.; Li, Z.; Qu, S. Spoof surface plasmon polaritons excitation and wavefront control by Pancharatnam–Berry phase manipulating metasurface. J. Phys. D Appl. Phys. 2018, 51, 10. [Google Scholar] [CrossRef]
- Mühlenbernd, H.; Georgi, P.; Pholchai, N.; Huang, L.; Li, G.; Zhang, S.; Zentgraf, T. Amplitude- and Phase-Controlled Surface Plasmon Polariton Excitation with Metasurfaces. ACS Photonics 2016, 3, 124–129. [Google Scholar] [CrossRef]
- Chen, L.; Ren, T.; Zhao, Y.; Yu, Q.; Huang, Z.; Zhang, K.; Wen, J.; Lin, F.; Chen, S. Polarization-Independent Wavefront Manipulation of Surface Plasmons with Plasmonic Metasurfaces. Adv. Opt. Mater. 2020, 8, 2000868. [Google Scholar] [CrossRef]
- Huang, L.; Chen, X.; Bai, B.; Tan, Q.; Jin, G.; Zentgraf, T.; Zhang, S. Helicity dependent directional surface plasmon polariton excitation using a metasurface with interfacial phase discontinuity. Light Sci. Appl. 2013, 2, e70. [Google Scholar] [CrossRef]
- Wang, S.; Wang, X.; Zhang, Y. Simultaneous Airy beam generation for both surface plasmon polaritons and transmitted wave based on metasurface. Opt. Express 2017, 25, 23589–23596. [Google Scholar] [CrossRef] [PubMed]
- Yin, X.; Chen, L.; Li, X. Polarization-controlled generation of Airy plasmons. Opt. Express 2018, 26, 23251–23264. [Google Scholar] [CrossRef]
- Zhang, Z.; Wu, C.; Li, Q.; Zhao, S.; Li, H. Complex-amplitude modulation of surface waves based on a metasurface coupler. Opt. Express 2023, 31, 9620–9630. [Google Scholar] [CrossRef] [PubMed]
- Berry, M.V. Quantal phase factors accompanying adiabatic changes. Proc. R. Soc. Lond. Ser. A—Math. Phys. 1997, 392, 45–57. [Google Scholar]
- Longuet-Higgins, H.C.; Opik, U.; Pryce, M.H.L.; Sack, R.A. Studies of the Jahn-Teller effect. II. The dynamical problem. Proc. R. Soc. Lond. Ser. A Math. Phys. Sci. 1958, 244, 1–16. [Google Scholar] [CrossRef]
- Pancharatnam, S. Generalized theory of interference, and its applications. Proc. Indian Acad. Sci. 1956, 44, 247–262. [Google Scholar] [CrossRef]
- Song, X.; Huang, L.; Sun, L.; Zhang, X.; Zhao, R.; Li, X.; Wang, J.; Bai, B.; Wang, Y. Near-field plasmonic beam engineering with complex amplitude modulation based on metasurface. Appl. Phys. Lett. 2018, 112, 073104. [Google Scholar] [CrossRef]
- Xu, H.-X.; Han, L.; Li, Y.; Sun, Y.; Zhao, J.; Zhang, S.; Qiu, C.-W. Completely Spin-Decoupled Dual-Phase Hybrid Metasurfaces for Arbitrary Wavefront Control. ACS Photonics 2018, 6, 211–220. [Google Scholar] [CrossRef]
- Chen, C.; Gao, S.; Song, W.; Li, H.; Zhu, S.-N.; Li, T. Metasurfaces with Planar Chiral Meta-Atoms for Spin Light Manipulation. Nano Lett. 2021, 21, 1815–1821. [Google Scholar] [CrossRef]
- Xu, H.-X.; Hu, G.; Li, Y.; Han, L.; Zhao, J.; Sun, Y.; Yuan, F.; Wang, G.-M.; Jiang, Z.H.; Ling, X.; et al. Interference-assisted kaleidoscopic meta-plexer for arbitrary spin-wavefront manipulation. Light Sci. Appl. 2019, 8, 3. [Google Scholar] [CrossRef]
- Jin, L.; Dong, Z.; Mei, S.; Yu, Y.F.; Wei, Z.; Pan, Z.; Rezaei, S.D.; Li, X.; Kuznetsov, A.I.; Kivshar, Y.S.; et al. Noninterleaved Metasurface for (2(6)-1) Spin- and Wavelength-Encoded Holograms. Nano Lett. 2018, 18, 8016–8024. [Google Scholar] [CrossRef]
- Zhang, L.; Liu, S.; Li, L.; Cui, T.J. Spin-Controlled Multiple Pencil Beams and Vortex Beams with Different Polarizations Generated by Pancharatnam-Berry Coding Metasurfaces. ACS Appl. Mater. Interfaces 2017, 9, 36447–36455. [Google Scholar] [CrossRef] [PubMed]
- Bai, G.D.; Ma, Q.; Li, R.Q.; Mu, J.; Jing, H.B.; Zhang, L.; Cui, T.J. Spin-Symmetry Breaking through Metasurface Geometric Phases. Phys. Rev. Appl. 2019, 12, 044042. [Google Scholar] [CrossRef]
- Mehmood, M.Q.; Seong, J.; Naveed, M.A.; Kim, J.; Zubair, M.; Riaz, K.; Rho, J. Single-Cell-Driven Tri-Channel Encryption Meta-Displays. Adv. Sci. 2022, 9, 2203962. [Google Scholar] [CrossRef] [PubMed]
- Li, Z.; Chen, C.; Guan, Z.; Tao, J.; Chang, S.; Dai, Q.; Zhang, S. Three-Channel Metasurfaces for Simultaneous Meta-Holography and Meta-Nanoprinting: A Single-Cell Design Approach. Laser Photon. Rev. 2020, 14, 2000032. [Google Scholar] [CrossRef]
- Zhang, F.; Guo, Y.; Pu, M.; Chen, L.; Xu, M.; Liao, M.; Li, L.; Li, X.; Ma, X.; Luo, X. Meta-optics empowered vector visual cryptography for high security and rapid decryption. Nat. Commun. 2023, 14, 1946. [Google Scholar] [CrossRef] [PubMed]
- Satti, A.J.; Naveed, M.A.; Javed, I.; Mahmood, N.; Zubair, M.; Mehmood, M.Q.; Massoud, Y. A highly efficient broadband multi-functional metaplate. Nanoscale Adv. 2023, 5, 2010–2016. [Google Scholar] [CrossRef] [PubMed]
- Guo, Y.; Zhang, S.; Pu, M.; He, Q.; Jin, J.; Xu, M.; Zhang, Y.; Gao, P.; Luo, X. Spin-decoupled metasurface for simultaneous detection of spin and orbital angular momenta via momentum transformation. Light Sci. Appl. 2021, 10, 63. [Google Scholar] [CrossRef] [PubMed]
- Hao, J.; Lin, X.; Lin, Y.; Chen, M.; Chen, R.; Situ, G.; Horimai, H.; Tan, X. Lensless complex amplitude demodulation based on deep learning in holographic data storage. Opto-Electron. Adv. 2023, 6, 220157-1–220157-15. [Google Scholar] [CrossRef]
- Ma, T.; Tobah, M.; Wang, H.; Guo, L.J. Benchmarking deep learning-based models on nanophotonic inverse design problems. Opto-Electron. Sci. 2022, 1, 210012-1–210012-15. [Google Scholar] [CrossRef]
- Krasikov, S.; Tranter, A.; Bogdanov, A.; Kivshar, Y. Intelligent metaphotonics empowered by machine learning. Opto-Electron. Adv. 2022, 5, 210147-1–210147-24. [Google Scholar] [CrossRef]
- Ji, R.; Xie, X.; Guo, X.; Zhao, Y.; Jin, C.; Song, K.; Wang, S.; Yin, J.; Liu, Y.; Jiang, C.; et al. Chirality-Assisted Aharonov–Anandan Geometric-Phase Metasurfaces for Spin-Decoupled Phase Modulation. ACS Photonics 2021, 8, 1847–1855. [Google Scholar] [CrossRef]
- Available online: www.eastfdtd.com (accessed on 23 July 2023).
- Berry, M.V.; Balázs, N.L. Nonspreading wave packets. Am. J. Phys. 1979, 47, 264–267. [Google Scholar] [CrossRef]
- Kafian, H.; Lalenejad, M.; Moradi-Mehr, S.; Birgani, S.A.; Abdollahpour, D. Light-Sheet Fluorescence Microscopy with Scanning Non-diffracting Beams. Sci. Rep. 2020, 10, 8501. [Google Scholar] [CrossRef]
- Baumgartl, J.; Mazilu, M.; Dholakia, K. Optically mediated particle clearing using Airy wavepackets. Nat. Photonics 2008, 2, 675–678. [Google Scholar] [CrossRef]
- Chong, A.; Renninger, W.H.; Christodoulides, D.N.; Wise, F.W. Airy–Bessel wave packets as versatile linear light bullets. Nat. Photonics 2010, 4, 103–106. [Google Scholar] [CrossRef]
- Panagiotopoulos, P.; Papazoglou, D.; Couairon, A.; Tzortzakis, S. Sharply autofocused ring-Airy beams transforming into non-linear intense light bullets. Nat. Commun. 2013, 4, 2622. [Google Scholar] [CrossRef] [PubMed]
- Dai, H.T.; Sun, X.W.; Luo, D.; Liu, Y.J. Airy beams generated by a binary phase element made of polymer-dispersed liquid crystals. Opt. Express 2009, 17, 19365–19370. [Google Scholar] [CrossRef] [PubMed]





Disclaimer/Publisher’s Note: The statements, opinions and data contained in all publications are solely those of the individual author(s) and contributor(s) and not of MDPI and/or the editor(s). MDPI and/or the editor(s) disclaim responsibility for any injury to people or property resulting from any ideas, methods, instructions or products referred to in the content. |
© 2023 by the authors. Licensee MDPI, Basel, Switzerland. This article is an open access article distributed under the terms and conditions of the Creative Commons Attribution (CC BY) license (https://creativecommons.org/licenses/by/4.0/).
Share and Cite
Li, Q.; Wu, C.; Xie, Y.; Li, S.; Li, H.; Jin, L. Full Complex-Amplitude Modulation of Surface Waves Based on Spin-Decoupled Metasurface. Micromachines 2023, 14, 1511. https://doi.org/10.3390/mi14081511
Li Q, Wu C, Xie Y, Li S, Li H, Jin L. Full Complex-Amplitude Modulation of Surface Waves Based on Spin-Decoupled Metasurface. Micromachines. 2023; 14(8):1511. https://doi.org/10.3390/mi14081511
Chicago/Turabian StyleLi, Quan, Chao Wu, Yu Xie, Song Li, Hongqiang Li, and Lijun Jin. 2023. "Full Complex-Amplitude Modulation of Surface Waves Based on Spin-Decoupled Metasurface" Micromachines 14, no. 8: 1511. https://doi.org/10.3390/mi14081511
APA StyleLi, Q., Wu, C., Xie, Y., Li, S., Li, H., & Jin, L. (2023). Full Complex-Amplitude Modulation of Surface Waves Based on Spin-Decoupled Metasurface. Micromachines, 14(8), 1511. https://doi.org/10.3390/mi14081511

