A Novel Approach for Dry Cutting Inconel 718 in a More Sustainable and Low-Cost Way by Actively and Purposely Utilizing the Built-Up Layer
Abstract
1. Introduction
2. Experimental Section
2.1. Workpiece Material and Cutting Tools
2.2. Experimental Set-Up and Analysis
3. Results and Discussion
3.1. Investigation of BUL Formation during Cutting Inconel 718(AG)
3.1.1. Influence of Cutting-Edge Radius
3.1.2. Influence of Cutting Speed
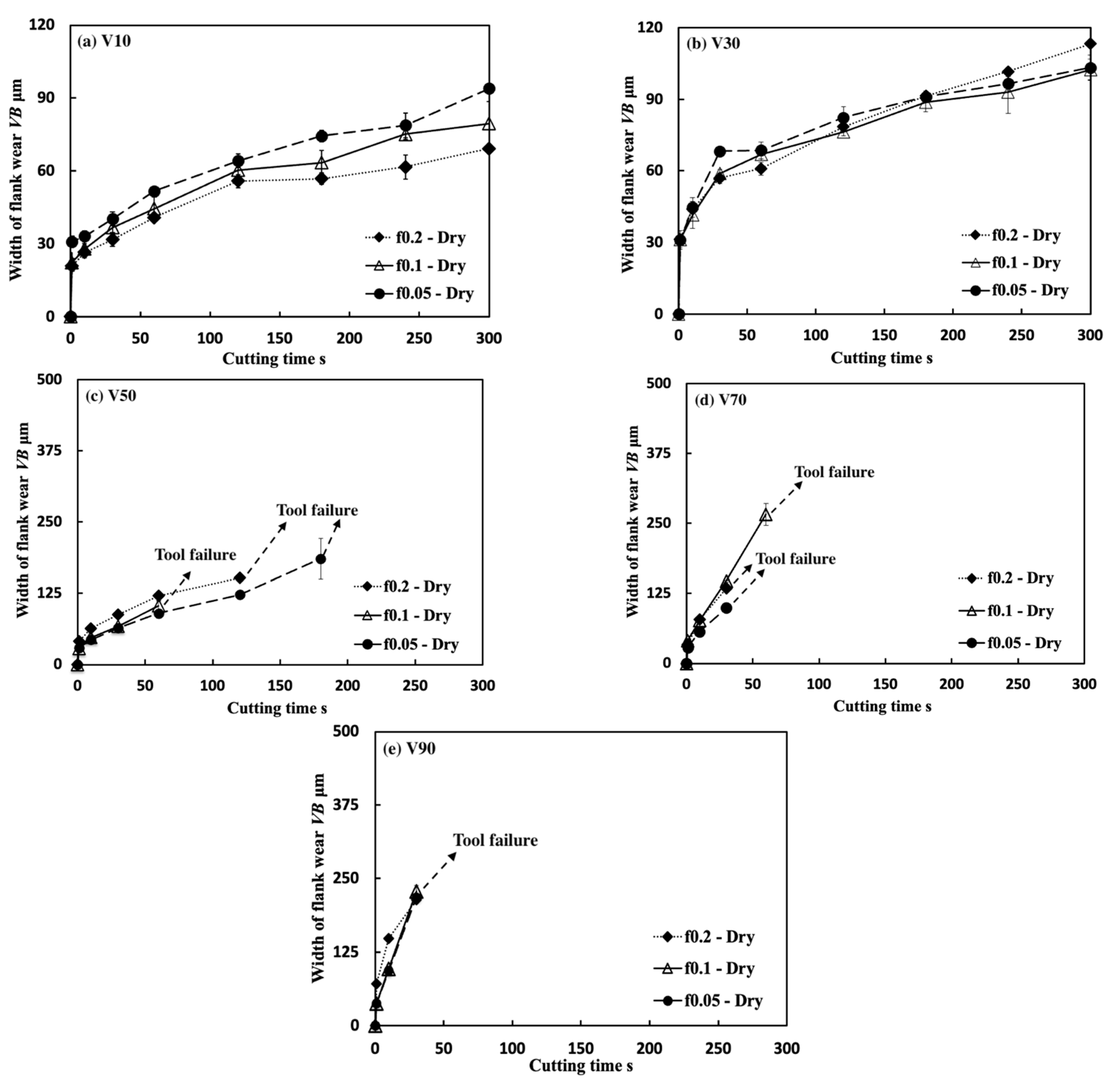
3.1.3. Influence of Feed Rate
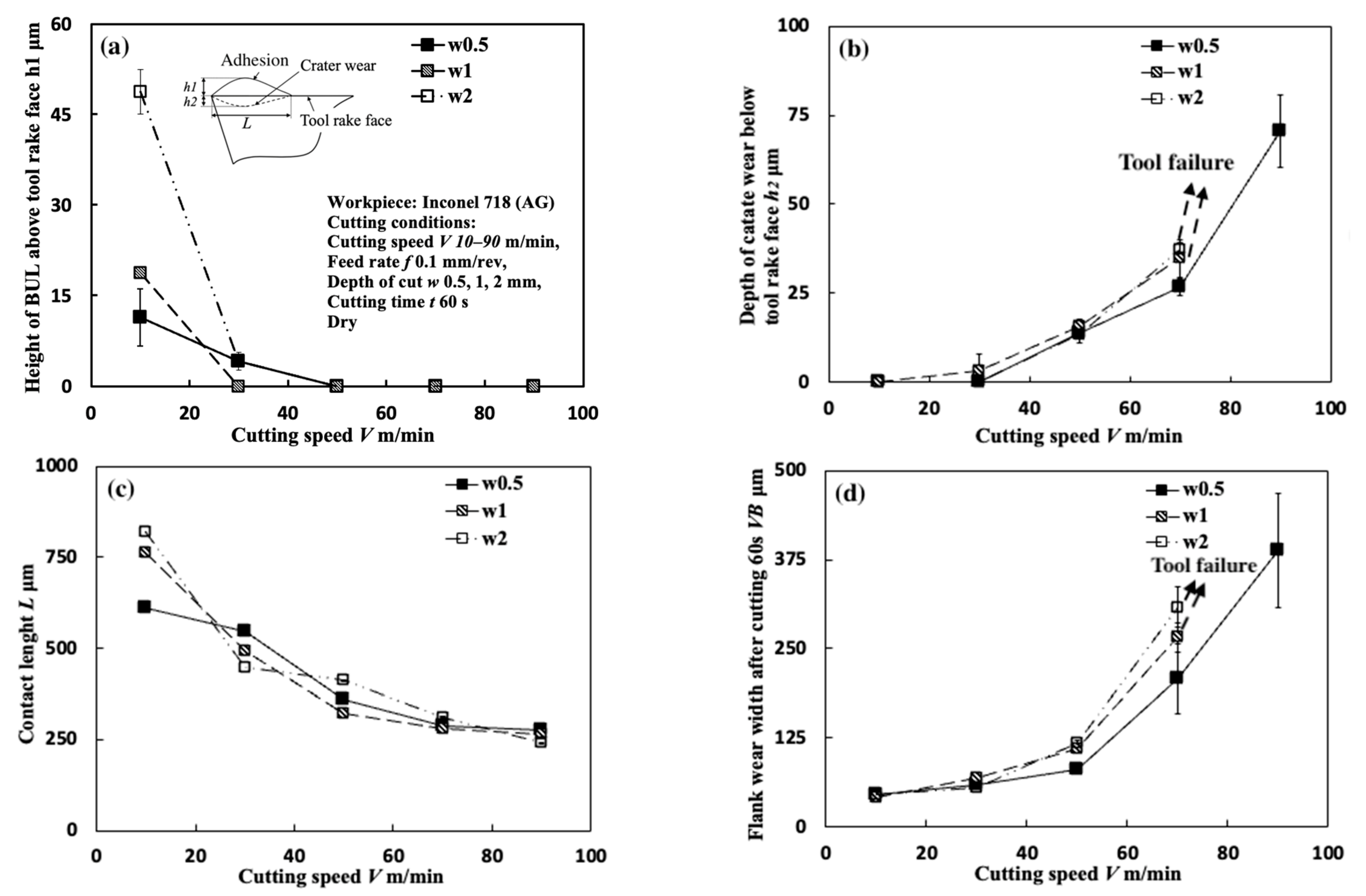
3.1.4. Influence of Cutting Depth
3.1.5. Influence of Cutting Atmosphere
3.1.6. In-Detail Evaluation of BUL’s Formation Mechanism
3.1.7. In-Detail Evaluation of BUL’s Stability
3.2. Influence of BUL on Cutting Process
3.2.1. Cutting Forces
3.2.2. Surface Roughness
3.3. Protective Effect of BUL
3.3.1. Overall Evaluation of the Protective Effect of BUL in Dry Cutting of Inconel 718(AG)
3.3.2. Protective Effect of FBU on Tool Flank Face
3.3.3. Protective Effect of BUL on Tool Flank Face
4. Validation Experiments of Proposed SPT Method
4.1. Comparison with the Results under Air and Wet Cutting Atmospheres
4.2. Comparison with the Results when dry Cutting Inconel 718(ST)
5. Conclusions
- (1)
- Only BUL, not BUE, is formed on the tool rake face when cutting the age-treated Inconel 718. By modifying the material microstructure of Inconel 718, we can control the BUL and BUE formation cutting speed range and the height of BUL.
- (2)
- The cutting speed plays a decisive role in the BUL formation condition. In most cases, the BUL only occurs in the cutting speed range of ~30 m/min, and this cutting speed range can increase to ~50 m/min or decrease to ~10 m/min depending on the cutting condition. The feed rate has a more significant influence on the BUL formation cutting speed range compared with the cutting depth and cutting atmosphere. And the cutting-edge radius has few or no influences on the BUL formation.
- (3)
- The height and contact length of the BUL decrease as the cutting speed increases, and increase as the feed rate or cutting depth increases. A larger cutting-edge radius can reduce the height of the BUL without affecting its length. The air cutting atmosphere tends to increase the height and length of the BUL, while the wet cutting atmosphere tends to decrease them. These relationships between the size of the BUL and cutting conditions can be used to develop an effective BUL control system.
- (4)
- The stability of the BUL is very high, and the BUL can not only significantly protect the tool from wear but also reduce friction at the tool–chip interface and maintain surface roughness. The height of the BUL can play a very important role in its protective effect, and a higher BUL can improve its protective effect. This indicates that we can realize the SPT when dry cutting Inconel 718 by actively and purposely utilizing the BUL and control the SPT by controlling the height of the BUL.
- (5)
- Not only the BUL but also FBU has a protective effect on the tool, and the adhesive-induced wear may be the main wear mechanism of flank wear with the FBU formation. These provide new insights into the wear mechanism in dry cutting of Inconel 718.
Author Contributions
Funding
Data Availability Statement
Acknowledgments
Conflicts of Interest
References
- Qi, H. Review of Inconel 718 alloy: Its history, properties, processing and developing substitutes. J. Mater. Eng. 2012, 8, 92–100. (In Chinese) [Google Scholar] [CrossRef]
- Paulonis, D.F.; Schirra, J.J. Alloy 718 at Pratt & Whitney—Historical perspective and future challenges. Superalloys 2001, 718, 13–23. [Google Scholar] [CrossRef]
- Bartolomeis, A.D.; Newman, S.T.; Jawahir, I.S.; Biermann, D.; Shokrani, A. Future research directions in the machining of Inconel 718. J. Mater. Process Tech 2021, 297, 117260. [Google Scholar] [CrossRef]
- Thakur, A.; Gangopadhyay, S. State-of-the-art in surface integrity in machining of nickel-based super alloys. Int. J. Mach. Tools Manuf. 2016, 100, 25–54. [Google Scholar] [CrossRef]
- Pulidindi, K.; Prakash, A. Nickel Superalloy Market Report (Report ID: GMI4864); Global Market Insights Inc.: Selbyville, DE, USA, 2020. [Google Scholar]
- United Nations. Do You Know All 17 SDGs? Available online: https://sdgs.un.org/goals (accessed on 26 April 2023).
- IPCC 2018. Global Warming of 1.5 °C. Available online: https://www.ipcc.ch/sr15/ (accessed on 26 April 2023).
- Guterres, A. Carbon Neutrality by 2050: The World’s Most Urgent Mission. Available online: https://www.un.org/sg/en/content/sg/articles/2020-12-11/carbon-neutrality-2050-the-world’s-most-urgent-mission (accessed on 26 April 2023).
- Panagiotopoulou, V.; Stavropoulos, P.; Chryssolouris, G. A critical review on the environmental impact of manufacturing: A holistic perspective. Int. J. Adv. Manuf. Technol. 2022, 118, 603–625. [Google Scholar] [CrossRef]
- Fang, Z.; Obikawa, T. Cooling performance of micro-texture at the tool flank face under high pressure jet coolant assistance. Precis. Eng. 2017, 49, 41–51. [Google Scholar] [CrossRef]
- Iturbe, A.; Giraud, E.; Hormaetxe, E.; Garay, A.; Germain, G.; Ostolaza, K.; Arrazola, P.J. Mechanical characterization and modelling of Inconel 718 material behavior for machining process assessment. Mater. Sci. Eng. A 2017, 682, 441–453. [Google Scholar] [CrossRef]
- Song, X.; Takahashi, Y.; Ihara, T. Influence of built-up layer on the wear mechanisms of uncoated and coated carbide tools during dry cutting of Inconel 718. J. JPN Soc. Precis. Eng. 2019, 85, 856–865. [Google Scholar] [CrossRef]
- Song, X.; Takahashi, Y.; He, W.; Ihara, T. Study on the protective effect of built-up layer in dry cutting of stainless steel SUS304. Precis. Eng. 2020, 65, 138–148. [Google Scholar] [CrossRef]
- Kitagawa, T.; Kudo, A.; Maekawa, K. Temperature and wear of cutting tools in high-speed machining of Inconel718 and Ti6Al6V2Sn. Wear 1997, 201, 142–148. [Google Scholar] [CrossRef]
- Song, X.; Takahashi, Y.; Ihara, T. Influence of built-up layer on the wear of uncoated cemented carbide tool during cutting of Inconel 718. In Proceedings of the International Conference on Leading Edge Manufacturing in 21st century: LEM21, Hiroshima, Japan, 13–17 November 2017; p. 56. [Google Scholar] [CrossRef]
- Grzesik, W.; Niesłony, P.; Habrat, W.; Sieniawski, J.; Laskowski, P. Investigation of tool wear in the turning of Inconel 718 superalloy in terms of process performance and productivity enhancement. Tribol. Int. 2018, 118, 337–346. [Google Scholar] [CrossRef]
- Ucun, İ.; Aslantaş, K.; Gökçe, B.; Bedir, F. Effect of tool coating materials on surface roughness in micromachining of Inconel 718 super alloy. Proc. Inst. Mech. Eng. Part B J. Eng. Manuf. 2014, 228, 1550–1562. [Google Scholar] [CrossRef]
- Xue, C.; Wang, D.; Zhang, J. Wear mechanisms and notch formation of whisker-reinforced alumina and sialon ceramic tools during high-speed turning of Inconel 718. Materials 2022, 15, 3860. [Google Scholar] [CrossRef] [PubMed]
- Obikawa, T.; Yamaguchi, M. Suppression of notch wear of a whisker reinforced ceramic tool in air-jet-assisted high-speed machining of Inconel 718. Precis. Eng. 2015, 39, 143–151. [Google Scholar] [CrossRef]
- Bushlya, V.; Zhou, J.; Avdovic, P.; Stahl, J.E. Performance and wear mechanisms of whisker-reinforced alumina, coated and uncoated PCBN tools when high-speed turning aged Inconel 718. Int. J. Adv. Manuf. Technol. 2013, 66, 2013–2021. [Google Scholar] [CrossRef]
- Zeilmann, R.P.; Fontanive, F.; Soares, R.M. Wear mechanisms during dry and wet turning of Inconel 718 with ceramic tools. Int. J. Adv. Manuf. Technol. 2017, 92, 2705–2714. [Google Scholar] [CrossRef]
- Khan, S.A.; Soo, S.L.; Aspinwall, D.K.; Sage, C.; Harden, P.; Fleming, M.; M’Saoubi, R. Tool wear/life evaluation when finish turning Inconel 718 using PCBN tooling. Procedia CIRP 2012, 1, 283–288. [Google Scholar] [CrossRef]
- Díaz-Alvarez, J.; Criado, V.; Miguelez, H.; Cantero, J.L. PCBN performance in high speed finishing turning of Inconel 718. Metals 2018, 8, 582. [Google Scholar] [CrossRef]
- Cantero, J.L.; Díaz-Alvarez, J.; Infante-García, D.; Rodríguez, M.; Criado, V. High speed finish turning of Inconel 718 using PCBN tools under dry conditions. Metals 2018, 8, 192. [Google Scholar] [CrossRef]
- Wickramasinghe, K.C.; Sasahara, H.; Usui, M. Performance evaluation of a sustainable metal working fluid applied to machine Inconel 718 and AISI 304 with minimum quantity lubrication. J. Adv. Mech. Des. Syst. Manuf. 2021, 15, JAMDSM0046. [Google Scholar] [CrossRef]
- Gong, L.; Su, Y.; Liu, Y.; Zhao, W.; Khan, A.M.; Jamil, M. Investigation on machinability characteristics of Inconel 718 alloy in cryogenic machining processes. Lubricants 2023, 11, 82. [Google Scholar] [CrossRef]
- Zou, Z.; He, L.; Jiang, H.; Zhan, G.; Wu, J. Development and analysis of a low-wear micro-groove tool for turning Inconel 718. Wear 2019, 420–421, 163–175. [Google Scholar] [CrossRef]
- Sugihara, T.; Nishimoto, Y.; Enomoto, T. Development of a novel cubic boron nitride cutting tool with a textured flank face for high-speed machining of Inconel 718. Precis. Eng. 2017, 48, 75–82. [Google Scholar] [CrossRef]
- Pusavec, F.; Deshpande, A.; Yang, S.; M’Saoubi, R.; Kopac, J.; Dillon, O.W.; Jawahir, I.S. Sustainable machining of high temperature nickel alloy—Inconel 718: Part 1—Predictive performance models. J. Clean. Prod. 2014, 81, 255–269. [Google Scholar] [CrossRef]
- Kui, G.W.A.; Islam, S.; Reddy, M.M.; Khandoker, N.; Chen, V.L.C. Recent progress and evolution of coolant usages in conventional machining methods: A comprehensive review. Int. J. Adv. Manuf. Technol. 2022, 119, 3–40. [Google Scholar] [CrossRef] [PubMed]
- Trent, E.M.; Wright, P.K. Metal Cutting, 4th ed.; Butterworth-Heinemann: Boston, MA, USA, 2000. [Google Scholar]
- Shaw, M.C. Metal Cutting Principles, 2nd ed.; Oxford University Press: New York, NY, USA, 2005. [Google Scholar]
- Xue, C.; Chen, W. Adhering layer formation and its effect on the wear of coated carbide tools during turning of a nickel-based alloy. Wear 2011, 270, 895–902. [Google Scholar] [CrossRef]
- Olovsjö, S.; Nyborg, L. Influence of microstructure on wear behaviour of uncoated WC tools in turning of Alloy 718 and Waspaloy. Wear 2012, 282–283, 12–21. [Google Scholar] [CrossRef]
- Song, X.; Takahashi, Y.; He, W.; Ihara, T. On the formation mechanisms of adhering layer during machining metal material. Key Eng. Mater. 2017, 749, 39–45. [Google Scholar] [CrossRef]
- Song, X.; Takahashi, Y.; Ihara, T. Prediction of built-up layer and built-up edge formation in dry cutting of SUS304 stainless steel. Int. J. Autom. Technol. 2019, 13, 13–21. [Google Scholar] [CrossRef]
- Song, X.; Takahashi, Y.; He, W.; Ihara, T. Study on usefulness of built-up layer during machining of hardened steel. J. Jpn. Soc. Precis. Eng. 2016, 82, 814–820. [Google Scholar] [CrossRef][Green Version]
- Song, X.; Takahashi, Y.; He, W.; Ihara, T. Investigating the influences of coatings on the built-up layer formation during cutting of Ti-6Al-4V. Trans. JSME 2020, 86, 19–00229. [Google Scholar] [CrossRef]
- Song, X.; Takahashi, Y.; He, W.; Ihara, T. Investigation of tool protective effect and surface deterioration resulting from built-up layer formation in micro scale machining of Inconel 718. In Proceedings of the 35rd annual meeting of the American Society for Precision Engineering, Online, 20–22 October 2020; Volume 73, pp. 235–240. [Google Scholar]
- Pereira, J.M.; Lerch, B.A. Effects of heat treatment on the ballistic impact properties of Inconel 718 for jet engine fan containment applications. Int. J. Impact Eng. 2001, 25, 715–733. [Google Scholar] [CrossRef]
- Ihara, T.; Takahashi, Y.; Song, X. Change in edge radius of cutting tool from surface tension between solid materials. Int. J. Autom. Technol. 2021, 15, 422–430. [Google Scholar] [CrossRef]
- Katayama, S.; Toda, M.; Hashimura, M. Growing model of built-up edge in relation to inhomogeneities of steel microstructure. J. Jpn. Soc. Precis. Eng. 1996, 62, 1345–1349. [Google Scholar] [CrossRef][Green Version]
- Milman, Y.V.; Luyckx, S.; Northrop, I.T. Influence of temperature, grain size and cobalt content on the hardness of WC–Co alloys. Int. J. Refract. Met. Hard Mater. 1999, 17, 39–44. [Google Scholar] [CrossRef]
- Child, T.H.C. Ductile shear failure damage modelling and predicting built-up edge in steel machining. J. Mater. Process. Technol. 2013, 213, 1954–1969. [Google Scholar] [CrossRef]
- Oxley, P.L.B. Mechanics of Machining, an Analytical Approach to Assessing Machinability; Ellis Horwood, Ltd.: Chichester, UK, 1989. [Google Scholar]
- Varaprasad, B.; Srinivasa, R.C.; Vinay, P.V. Effect of machining parameters on tool wear in hard turning of AISI D3 steel. Procedia Eng. 2014, 97, 338–345. [Google Scholar] [CrossRef]
- Swain, S.; Panigrahi, I.; Sahoo, A.K.; Panda, A.; Kumar, R. Effect of tool vibration on flank wear and surface roughness during high-speed machining of 1040 steel. J. Fail. Anal. Prev. 2020, 20, 976–994. [Google Scholar] [CrossRef]
- Koseki, S.; Inoue, K.; Morito, S.; Ohba, T.; Usuki, H. Comparison of TiN-coated tools using CVD and PVD processes during continuous cutting of Ni-based superalloys. Surf. Coat. Technol. 2015, 283, 353–363. [Google Scholar] [CrossRef]
- Song, X.; Takahasi, Y.; He, W.; Ihara, T. Investigation on the nucleus formation mechanisms of built-up layer in cutting of hardened steel. J. JPN Soc. Precis. Eng. 2017, 83, 445–452. [Google Scholar] [CrossRef][Green Version]
- Hoshi, K.; Hoshi, T. Metal Cutting Technology; Kogyo Chosakai Publishing Co., Ltd.: Bunkyo-ku, Japan, 1981. [Google Scholar]
- Liu, D.; Liu, Z.; Wang, B. Effect of cutting parameters on tool chipping mechanism and tool wear multi-patterns in face milling Inconel 718. Lubricants 2022, 10, 218. [Google Scholar] [CrossRef]
- Arrazola, P.J.; Garay, A.; Fernandez, E.; Ostolaza, K. Correlation between tool flank wear, force signals and surface integrity when turning bars of Inconel 718 in finishing conditions. Int. J. Mach. Mach. Mater. 2014, 15, 84–100. [Google Scholar] [CrossRef]
- Olovsjöa, S.; Wretlandb, A.; Sjöberg, G. The effect of grain size and hardness of wrought Alloy 718 on the wear of cemented carbide tools. Wear 2010, 268, 1045–1052. [Google Scholar] [CrossRef]








































| Inconel 718(AG) | Inconel 718(ST) | ||||||
|---|---|---|---|---|---|---|---|
| Ni | 53.07 | Nb + Ta | 5.28 | Ni | 52.43 | Nb + Ta | 5.30 |
| C | 0.03 | Ti | 0.94 | C | 0.03 | Ti | 0.98 |
| Mn | 0.04 | Al | 0.58 | Mn | 0.06 | Al | 0.59 |
| Si | 0.04 | Cu | 0.03 | Si | 0.08 | Cu | 0.07 |
| Cr | 18.57 | Fe | 18.2 | Cr | 18.46 | Fe | 18.49 |
| Co | 0.09 | Other | Bal | Co | 0.31 | Other | Bal |
| Mo | 3.05 | Mo | 2.9 | ||||
| Material | Inconel 718(AG) | Inconel 718(ST) |
|---|---|---|
| Density [] | 8200 | |
| Melting point [] | 1300 | |
| Thermal conductivity [] | 11 | |
| Specific heat [] | 440 | |
| Tensile strength at 25 °C [] | 1455 (a) | 924 (b) |
| Elongation L at 25 °C [%] | 21 (a) | 55 (b) |
| Tensile strength at 650 °C [] | 1160 (a) | × |
| Elongation L at 650 °C [%] | 33.5 (a) | × |
| Vickers hardness [] | 530 ± 18 (c) | 358 ± 13 (c) |
| Cutting Conditions | Values |
|---|---|
| Cutting-edge radius R [μm] | 2.5, 80, 165 |
| Cutting speed [m/min] | 10, 30, 50, 70, 90 |
| Feed rate [mm/rev] | 0.001, 0.002, 0.005, 0.01, 0.02, 0.05, 0.1, 0.2 |
| Cutting depth [mm] | 0.5, 1.0, 2.0 |
| Cutting time [s] | 1, 10, 30, 60, 120, 180, 240, 300 |
| Cutting atmosphere | Dry (Without cool air or cutting fluid supply); Air (Cool air is supplied to cutting point); Wet (Cutting fluid is supplied to cutting point and workpiece) |
Disclaimer/Publisher’s Note: The statements, opinions and data contained in all publications are solely those of the individual author(s) and contributor(s) and not of MDPI and/or the editor(s). MDPI and/or the editor(s) disclaim responsibility for any injury to people or property resulting from any ideas, methods, instructions or products referred to in the content. |
© 2023 by the authors. Licensee MDPI, Basel, Switzerland. This article is an open access article distributed under the terms and conditions of the Creative Commons Attribution (CC BY) license (https://creativecommons.org/licenses/by/4.0/).
Share and Cite
Song, X.; He, W.; Ihara, T. A Novel Approach for Dry Cutting Inconel 718 in a More Sustainable and Low-Cost Way by Actively and Purposely Utilizing the Built-Up Layer. Micromachines 2023, 14, 1787. https://doi.org/10.3390/mi14091787
Song X, He W, Ihara T. A Novel Approach for Dry Cutting Inconel 718 in a More Sustainable and Low-Cost Way by Actively and Purposely Utilizing the Built-Up Layer. Micromachines. 2023; 14(9):1787. https://doi.org/10.3390/mi14091787
Chicago/Turabian StyleSong, Xiaoqi, Weiming He, and Tohru Ihara. 2023. "A Novel Approach for Dry Cutting Inconel 718 in a More Sustainable and Low-Cost Way by Actively and Purposely Utilizing the Built-Up Layer" Micromachines 14, no. 9: 1787. https://doi.org/10.3390/mi14091787
APA StyleSong, X., He, W., & Ihara, T. (2023). A Novel Approach for Dry Cutting Inconel 718 in a More Sustainable and Low-Cost Way by Actively and Purposely Utilizing the Built-Up Layer. Micromachines, 14(9), 1787. https://doi.org/10.3390/mi14091787

