Next Article in Journal
New Coordination Compounds of CuII with Schiff Base Ligands—Crystal Structure, Thermal, and Spectral Investigations
Next Article in Special Issue
A Review on Graphene’s Light Stabilizing Effects for Reduced Photodegradation of Polymers
Previous Article in Journal
Bacterial Colonization on the Surface of Copper Sulfide Minerals Probed by Fourier Transform Infrared Micro-Spectroscopy
Previous Article in Special Issue
The Future of Carbon: An Update on Graphene’s Dermal, Inhalation, and Gene Toxicity
 
 
Font Type:
Arial Georgia Verdana
Font Size:
Aa Aa Aa
Line Spacing:
Column Width:
Background:
Article

Multiple Equilibria and Buckling of Functionally Graded Graphene Nanoplatelet-Reinforced Composite Arches with Pinned-Fixed End

1
College of Urban and Rural Construction, Zhongkai University of Agriculture and Engineering, Guangzhou 510225, China
2
School of Transportation, Civil Engineering and Architecture, Foshan University, Foshan 528225, China
3
Guangzhou University-Tamkang University Joint Research Centre for Engineering Structure Disaster Prevention and Control, Guangzhou University, Guangzhou 510006, China
*
Author to whom correspondence should be addressed.
Crystals 2020, 10(11), 1003; https://doi.org/10.3390/cryst10111003
Submission received: 26 September 2020 / Revised: 30 October 2020 / Accepted: 3 November 2020 / Published: 5 November 2020
(This article belongs to the Special Issue Graphene-Based Nanocomposites and Manufacturing)

Abstract

This paper presents an analytical study on the multiple equilibria and buckling of pinned-fixed functionally graded graphene nanoplatelet-reinforced composite (FG-GPLRC) arches under central point load. It is assumed that graphene nanoplatelets (GPLs) in each GPLRC layer are uniformly distributed and randomly oriented with its concentration varying layer-wise along the thickness direction. The Halpin–Tsai micromechanics-based model is used to estimate the effective elastic modulus of GPLRC. The non-linear equilibrium path and buckling load of the pinned-fixed FG-GPLRC arch are subsequently derived by employing the principle of virtual work. The effects of GPLs distribution, weight fraction, size and geometry on the buckling load are examined comprehensively. It is found that the buckling performances of FG-GPLRC arches can be significantly improved by using GPLs as reinforcing nanofillers. It is also found that the non-linear equilibrium path of the pinned-fixed FG-GPLRC arch have multiple limit points and non-linear equilibrium branches when the arch is with a special geometric parameter.

Graphical Abstract

1. Introduction

The development of carbonaceous nanomaterials, such as graphene and carbon nanotubes, has been greatly advanced by rapidly developing material science and manufacturing techniques over the last decade [1,2,3,4]. Established research works have demonstrated that adding graphene and its derivatives into polymer matrix can form nanocomposites with excellent mechanical properties. Rafiee et al. [5,6] comprehensively examined the reinforcing effect of graphene nanoplatelets (GPLs) and carbon nanotubes on the mechanical properties of epoxy nanocomposites, and indicated the remarkable effect of graphene nanoplatelets. Liu et al. [7,8] studied the effects of GPLs on the microstructure and mechanical properties of Al2O3-based ceramic composites. The results shown that, by adding GPLs into Al2O3 ceramic composites, the flexural strength and fracture toughness of the composite increased by 30.75% and 27.20%, respectively. Experimental results conducted by Tang et al. [9] showed that the epoxy nanocomposites with graphene reinforcements have better strength and fracture toughness when the graphene is highly dispersed in composites. Zhao et al. [10] reported that, at a graphene loading of 1.8 vol %, a 150% improvement of tensile strength and a nearly 10 times increase of Young’s modulus of the graphene/poly (vinyl alcohol) (PVA) composites are obtained.
Except for the study on the material properties of the GPL-reinforced nanocomposite, the mechanical behaviors of structures made of these composites have been investigated widely. Yang and co-workers [11,12,13,14,15] carried out a series of studies on the vibration, dynamic stability, buckling and postbuckling of functionally graded graphene nanoplatelet-reinforced composite (FG-GPLRC) structures, which revealed that the performances of the FG-GPLRC structures can be remarkably improved by adding a low concentration of GPLs. Dong et al. [16,17,18] analytically investigated the non-linear dynamic behavior of graded graphene-reinforced composite cylindrical shells subjected to thermal loading, impact loading and harmonic loading. Shen et al. [19,20,21] studied the non-linear dynamic responses and instability of laminated plates consisting of graphene-reinforced composite (GRC) layers in thermal environments where the materials properties of GRC are estimated by an extended Halpin–Tsai model. Gao et al. [22] presented an investigation of the probabilistic stability characteristics of FG-GPLRC beams by taking into account the multidimensional probability distributions. Wang et al. [23,24,25] theoretically studied the buckling, postbuckling, nonlinear free vibration, nonlinear static and dynamic responses characteristics of GPL-reinforced Polyvinylidene fluoride (PVDF) composite beam with dielectric permittivity.
For the arch structure, the authors had performed in-depth studies on the nonlinear static and dynamic behaviors of FG-GPLRC arches with different boundary conditions, such as fixed ends, pinned ends, and elastic end restraints [26,27,28,29,30,31]. Liu et al. [32] presented an analytical solution for non-linear static responses and buckling of functionally graded porous (FGP) arches with GPLs reinforcements. Li et al. [33] studied the coupling effects of temperature and mechanical load on the stability of confined FGP arches. Up to now, no previous work has been carried out on the pinned-fixed FG-GPLRC arch for investigating its multiple equilibria and non-linear buckling behaviors.
Therefore, this paper aims to investigate the multiple equilibria and nonlinear buckling behaviors of a pinned-fixed FG-GPLRC arch. The effective elastic modulus of GPLRC is estimated by Halpin-Tsai micromechanics-based model. The principle of virtual work is used to establish the non-linear equilibrium equations of the pinned-fixed FG-GPLRC arch. The analytical solutions for the non-linear equilibrium path and buckling load are derived. The effects of GPLs distribution, weight fraction, size and geometry on the limit point buckling load are examined comprehensively.

2. Effective Elastic Modulus

Before the structural analysis, the effective elastic modulus of the composite needs to be determined. As follows, the Halpin–Tsai micromechanics-based model [34] is employed to calculate of the effective elastic modulus of GPLRC as:
E = 3 ( 1 + ξ L η L V GPL ) 8 ( 1 η L V GPL ) × E m + 5 ( 1 + ξ T η T V GPL ) 8 ( 1 η T V GPL ) × E m
with,
η L = ( E GPL / E m ) 1 ( E GPL / E m ) + ξ L , η T = ( E GPL / E m ) 1 ( E GPL / E m ) + ξ T
ξ L = 2 ( a GPL / b GPL ) × ξ T / 2 , ξ T = 2 ( b GPL / t GPL )
where EGPL and Em are the Young’s modulus of GPLs and polymer matrix, respectively. VGPL is the volume fraction of GPLs, and aGPL, bGPL, tGPL, aGPL/bGPL, bGPL/tGPL are the length, width, thickness, aspect ratio, and width-to-thickness ratio of GPLs, respectively.
As shown in Figure 1, three GPL distribution patterns are studied in this paper, namely U-GPLRC, X-GPLRC and O-GPLRC, where darker color represents a higher content of GPLs. In particular, the GPLs concentration in U-GPLRC is constant which represents an isotropic homogeneous arch.
The GPL volume fraction of the kth layer for the above three GPL distribution patterns are formulated as:
U - GPLRC : V GPL k = V GPL *
X - GPLRC : V GPL k = 2 V GPL * | 2 k N L 1 | / N L
O - GPLRC : V GPL k = 2 V GPL * ( 1 | 2 k N L 1 | / N L )
with,
V GPL * = W GPL W GPL + ( ρ GPL / ρ m ) ( 1 W GPL )
In which, NL is total number of layers, V GPL * and WGPL are the total volume fraction and weight fraction of GPLs, respectively.

3. Non-Linear Analysis

3.1. Equilibrium Equations

The FG-GPLRC arch, shown in Figure 2, with pinned-fixed end, arc length S, central angle 2 Θ , cross section b × h, subjected to central point load Q is investigated.
According to Donnell’s shallow shell theory, the normal strain ε in the arch is given as [35]:
ε = ε m + ε b   with   ε m = w ˜ v ˜ + v ˜ 2 2   and   ε b = z v ˜ R
where ( ) d ( ) / d θ , v ˜ = v / R and w ˜ = w / R .
The non-linear equilibrium equation of FG-GPLRC arches is established by employing the principle of virtual work as:
δ W = Θ Θ R b h / 2 h / 2 E ε δ ε d z d θ Θ Θ δ D ( θ ) Q R δ v ˜ d θ = 0
in which, δ D ( θ ) is the Dirac-delta function defined by:
δ D = { + , θ = 0 0 , θ 0
with the property:
δ D ( θ ) d θ = 1
δ D ( θ ) f ( θ ) d θ = f ( 0 )
Substituting Equation (8) into Equation (9) leads to the virtual work statement as:
δ W = Θ Θ [ N R ( δ w ˜ δ v ˜ + v ˜ δ v ˜ ) M δ v ˜ δ D ( θ ) Q R δ v ˜ ] d θ = 0
with axial compressive force N and bending moment M as:
N = A 11 ε m + B 11 R v ˜
M = B 11 ε m D 11 R v ˜ = κ v ˜ R B N
with,
{ A 11 B 11 D 11 } = b h / 2 h / 2 E { 1 z z 2 } d z = b k = 1 N L z k z k + 1 E ( k ) { 1 z z 2 } d z κ = D 11 B 11 2 A 11 ,   B = B 11 A 11
where κ is the effective bending stiffness.
Integrating Equation (13) by parts leads to the differential equations of equilibrium as:
( N R ) = 0
N R + ( N R v ˜ ) M δ D ( θ ) Q R = 0
and the boundary conditions as:
v ˜ = w ˜ = v ˜ = 0 ,   at   θ = ± Θ   for   fixed   end v ˜ = w ˜ = M = 0 ,   at   θ = ± Θ   for   pinned   end
Substituting Equations (15) and (17) into Equation (18), the equilibrium equation in radial direction of the arch can be derived as:
v ˜ i v μ 2 + v ˜ = δ D ( θ ) Q R 2 κ μ 2 1 ,   with   μ 2 = N R 2 κ
Solving Equation (20) by incorporating the boundary conditions given by Equation (19), the explicit expression of radial displacement for FG-GPLRC arch with pinned-fixed boundary condition is determined as:
v ˜ = β 2 2 μ 2 θ 2 2 + K 3 μ 2 [ cos β cos ( μ θ ) ] + B K 1 R [ μ θ sin β β sin ( μ θ ) ]    + K 2 { μ θ sin β β sin ( μ θ ) μ 2 + B R [ cos ( μ θ ) cos β ] } + P μ 2 β { K 4 sin β cos ( μ θ )    + K 5 [ μ θ sin β β sin ( μ θ ) ] + β K 6 + H ( θ ) [ μ θ sin ( μ θ ) ] }
with,
K 1 = sin β 2 β cos 2 β sin β cos β β ,   K 2 = β cos β sin β 2 β cos 2 β sin β cos β β K 3 = β cos β ( 1 + β 2 ) sin β 2 β cos 2 β sin β cos β β ,   K 4 = 2 β cos β sin β β 2 β cos 2 β sin β cos β β K 5 = 1 cos β 2 β cos 2 β sin β cos β β ,   K 6 = sin ( 2 β ) β cos ( 2 β ) sin β 2 β cos 2 β sin β cos β β
and with,
P = Q R 2 Θ 2 κ ,   β = μ Θ
and H( θ ) is a step function as:
H ( θ ) = { 1 θ < 0 1 θ 0
By substituting Equation (21) into Equation (14) and integrating along the entire FG-GPLRC arch leads to the equilibrium equation as:
A 1 P 2 + B 1 P + C 1 = 0
with,
A 1 = Ξ 1 K 4 2 sin 2 β β 3 Ξ 2 2 K 4 sin β 2 β + ( cos β 4 ) sin β + 3 β 4 β 5 + Ξ 3 K 5 2 β 2
B 1 = 2 Ξ 1 K 4 sin β ( B K 2 λ h K 3 β 2 ) + 2 β K 5 Ξ 3 ( B K 1 λ h + K 2 β 2 ) + sin β β K 6 β β 3      + K 3 Ξ 2 2 2 + B Ξ 2 λ h ( 1 Ξ 2 K 2 β 2 2 ) + K 4 sin β β 2 ( B sin β λ h cos β β )
C 1 = Ξ 1 β ( B K 2 β 2 λ h K 3 ) 2 + Ξ 3 ( B K 1 β 2 λ h + K 2 ) 2 + B 2 K 2 β λ 2 h 2 sin β      + B λ h ( 1 K 3 sin β β ) 1 6 + β 2 r 11 2 λ 2
and
Ξ 1 = β cos β sin β 4 β 2 ,   Ξ 2 = cos β 1 β 2 Ξ 3 = β 2 + β cos β sin β 2 sin 2 β 4 β 2
where λ = R Θ 2 / h is the dimensionless geometrical parameter of the FG-GPLRC arch.
Accordingly, by solving Equations (21) and (25), the solutions of the nonlinear equilibrium path of the FG-GPLRC arch with pinned-fixed boundary condition can be determined.

3.2. Limit Point Buckling

When the applied point load reaches a maximum load, namely limit point load, the limit point buckling may occur to the FG-GPLRC arch, and the limit point buckling load is the local maximum point on the non-linear equilibrium path defined in Equation (25). Therefore, by setting Equation (25) as an implicit function F ( Q , β ) = 0 and performing d Q / d β , the extrema equation for limit point buckling load is derived as:
A 1 β P 2 + B 1 β P + C 1 β = 0
In response to this, the limit point buckling load can be obtained by solving Equations (25) and (30) simultaneously.

3.3. Multiple Equilibria and Inflection Point

According to the previous research [26], when the arch buckle is in a bifurcation mode, the arch is in an equilibrium state { v ˜ , w ˜ , N , M , Q } associated with the pre-buckling condition and also in an infinitesimally closed bifurcation equilibrium state as:
v ˜ = v ˜ + v ˜ b , w ˜ = w ˜ + w ˜ b N = N + N b , M = M + M b
Substituting Equation (31) into Equation (18) and neglecting the second- and higher-order terms, the differential equation of the bifurcation equilibrium state can be formulated as:
v ˜ b i v μ 2 + v ˜ b = N b R 2 μ 2 κ ( 1 + v ˜ )
If a pinned-fixed arch can buckle in a bifurcation buckling mode, the bifurcation equilibrium state Nb associated with Equation (14) should become zero, and Equation (32) is simplified as:
v ˜ b i v μ 2 + v ˜ b = 0
However, as pointed out by Pi and Bradford [36], the arch with pinned-fixed end cannot buckle in a bifurcation mode due to its asymmetric deformation, and Equation (33) is false. Even so, Equation (33) may hold at an inflection point for a specific arch with a certain value of the arch geometry parameter λ s b 1 (or λ s b 2 ), and the value of λ s b 1 (or λ s b 2 ) can be derived from solving Equation (33) as follows.
Solving Equation (33), its general solution is obtained as:
v ˜ b = D 1 + D 2 θ + D 3 sin μ θ + D 4 cos μ θ
where the coefficients D1, D2, D3, and D4 can be determined from specified boundary conditions of the pinned-fixed FG-GPLRC arch.
Substituting the boundary conditions of the pinned-fixed FG-GPLRC arch into Equation (34), leads to the following four linear homogeneous algebraic equations:
{ D 1 + D 2 Θ + D 3 sin β + D 4 cos β = 0 D 1 D 2 Θ D 3 sin β + D 4 cos β = 0 D 2 + D 3 μ cos β D 4 μ sin β = 0 D 3 μ 2 sin β D 4 μ 2 cos β = 0
The existence of a non-trivial solutions to Equation (35) for coefficients D1D4 requires the vanishing of their determinant of the coefficient matrix, which leads to the characteristic equation as:
2 β tan ( 2 β ) = 0
The first two solutions of Equation (36) are:
β 1 = 0.7151 π ,   β 2 = 1.2295 π
From the definitions of μ and β , the axial compressive forces corresponding to β 1 and β 2 are:
N E 1 = ( 0.7151 π ) 2 κ ( S / 2 ) 2 ,   N E 2 = ( 1.2295 π ) 2 κ ( S / 2 ) 2
The dimensionless load P in inflexion point can be solved from Equation (25) in β = β 1 or β 2 as:
P = B 1 ± B 1 2 4 A 1 C 1 2 A 1
It should be mentioned that the existence of real solutions for Equation (39) requires that:
B 2 2 4 A 2 C 2 0
By substituting β 1 or β 2 into Equation (39), respectively, a special geometric parameter λ s b 1 (or λ s b 2 ) making Equation (33) true can be solved, which is also defined as the minimum geometric parameter for distinguishing the number of limit points.

4. Parameters Studies

In order to verify the proposed results, the commercial finite element (FE) package ANSYS 17.0 (ANSYS, Inc., Cannonsburg, PA, USA) were used to perform nonlinear analysis for the nonlinear buckling of a pinned-fixed FG-GPLRC arch. Table 1 lists the material properties of the FG-GPLRC arch for the following parameters studies.
In ANSYS simulation, the shell element SHELL181 with six degrees of freedom (DOF) at each node is used to develop the FE model of the FG-GPLRC arch, and the arch is meshed into 100 elements for non-linear buckling analysis. The layered composite is defined by using the section commands to specify the thickness, material and orientation of each layer. In addition, the equilibrium path and structural displacement of pinned-fixed FG-GPLRC arches under the external load are traced by using the arc-length method in the FE analysis.
The finite element result and present result for the non-linear equilibrium path of the FG-GPLRC arch are shown together in Figure 3 for comparison, where NE0 is the NE2 given by Equation (37) for the pure epoxy arch, and vc/f is the dimensionless displacement of the arch crown with f being the rise of the arch. It is found that the present result is almost identical to the finite element result.
Figure 4 shows the multiple equilibria and buckling of the pinned-fixed FG-X-GPLRC arch in the form of load-displacement curve and load-axial force curve. It can be seen that, when the pinned-fixed FG-X-GPLRC arch has λ λ s b 1 = 2.1672 (Figure 4a,b), there is no limit point on its non-linear equilibrium path, which means that the pinned-fixed FG-GPLRC arch cannot buckle under the central point load. When the arch has λ s b 1 < λ λ s b 2 = 4.9504 (Figure 4c,d), there are two limit points (b and c) and three branches (ab, bc and cd) on the non-linear equilibrium paths. When the arch has λ = 8 > λ s b 2 (Figure 4e,f), there are four limit points (b, c, d and e) and five branches (ab, bc, cd, de and ef) on the non-linear equilibrium paths. Hence, it can be concluded that the special arch geometric parameter λ s b 1 and λ s b 2 can be used as a switch between arches with two or four limit points and those without limit point. It is worth pointing out that no matter how the λ increases, if λ > λ s b 2 , there are four and only four limit points on the non-linear equilibrium path. It also can be observed from Figure 4c–f that the curve on both sides of the upper limit point is concave downwards with the slopes changing from positive to negative, whereas the curve on both sides of the lower limit point is concave upwards with the slopes changing from negative to positive. The deformed shape of the arch under limit point load has a greater change in curvature.
In addition, Figure 5 presents the typical radial displacement distributions along the arch length for the pinned-fixed FG-X-GPLRC arch with λ = 8 , in which the distributions correspond to the limit points b, c, d and e indicated in Figure 4e,f. As expected, all distributions of the displacements are unsymmetrical.
Taking the first upper limit point as the limit point buckling load, the limit point buckling loads of FG-X-GPLRC arches with different geometry are listed in Table 2. It is found that the FG-X-GPLRC arch has the highest limit point buckling load, and the cracked FG-X-GPLRC beam has the smallest one. This is because the FG-X-GPLRC arch with more GPLs filler dispersed in the top and bottom layers possesses a higher bending stiffness and consequently has a higher buckling load. In addition, Figure 6 plots the buckling load of FG-GPLRC arches with varying weight fraction WGPL, and shows that the buckling load of FG-GPLRC arches are much higher than that of pure epoxy arch (WGPL = 0.0%) in all cases, which indicates the remarkable reinforcing effect of GPLs.
Figure 7 presents the influences of GPL geometry on the limit point buckling load of the FG-X-GPLRC arch with the GPL width-to-thickness ratio bGPL/tGPL increasing from 10 to 5000. According to the Equations (1)–(3), GPL with higher value of width-to-thickness ratio and aspect ratio have a more significant enhancing effect on the effective elastic modulus of GPLRC. Therefore, the buckling load increases when GPL width-to-thickness ratio or aspect ratio increases, but the effect of GPL geometry tends to be insignificant when bGPL/tGPL > 1000 and bGPL/tGPL > 4, respectively.
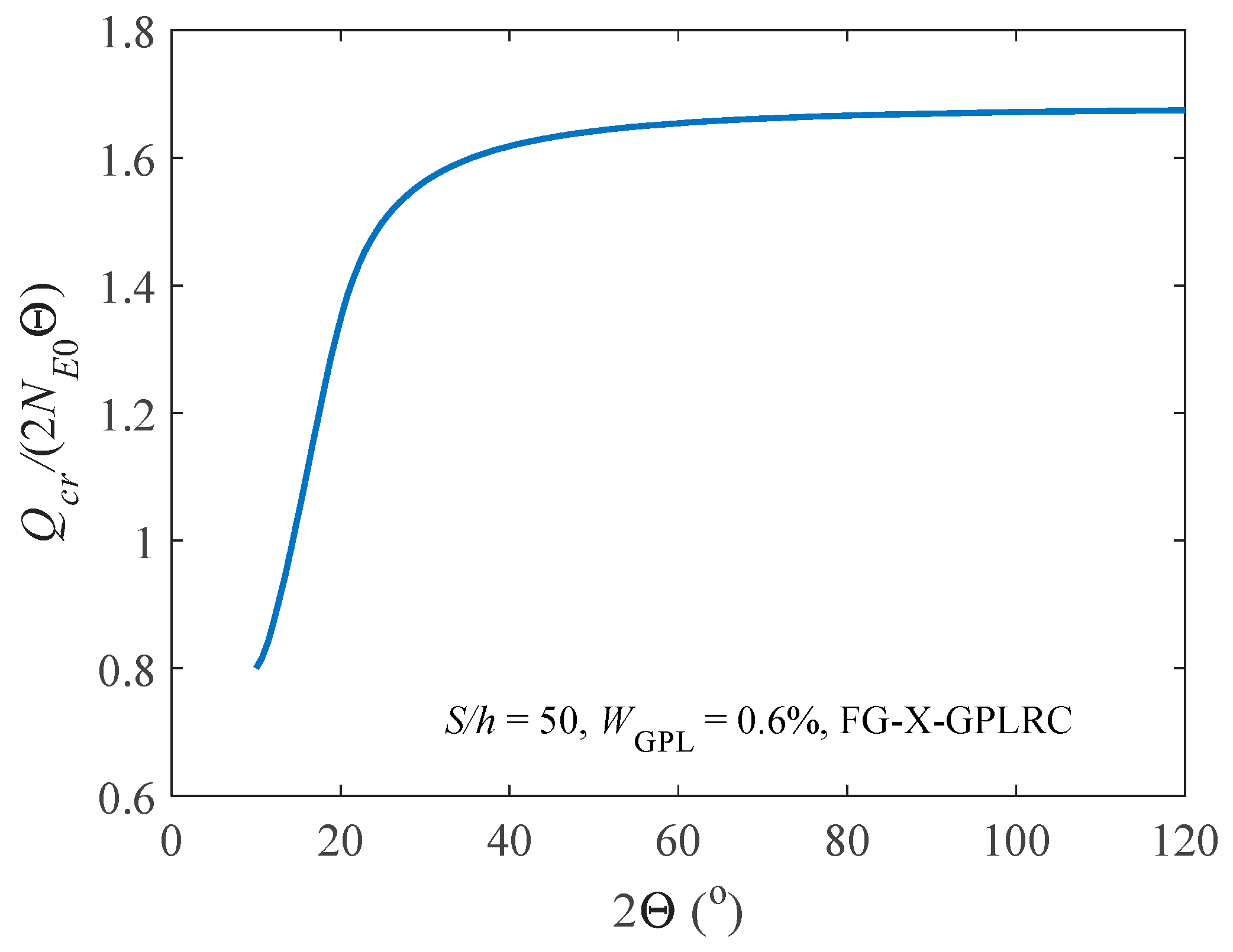
Figure 8 investigates the effect of the arch’s central angle on limit point buckling loads of the FG-X-GPLRC arch where the arch’s central angle varies from 10° to 120°. It can be seen that the pinned-fixed FG-X-GPLRC arch with a bigger central angle has higher limit point buckling load.

5. Conclusions

The multiple equilibria and buckling of the pinned-fixed FG-GPLRC arch under central point load has been comprehensively studied in this paper. The analysis demonstrates that there exists a special geometric parameter for distinguishing the number of multiple limit points and non-linear equilibrium branches of the FG-GPLRC arch. The analytical solutions for the special geometric parameter, limit point buckling load, structural displacement and axial force are derived. According to numerical studies, it is found that the pinned-fixed FG-GPLRC arch under central point load can buckle in unsymmetrical limit point instability mode, and there are four and only four limit points on the non-linear equilibrium path for the arch possessing a geometric parameter higher than a special value. It is also found that distributing more GPLs at the surface of the arch can considerably increase the buckling load of the FG-GPLRC arch.

Author Contributions

All authors contributed to the main idea of this paper. Z.Y., H.L. and A.L. carried out the theoretical derivation. Z.Y., J.X., J.L. and J.F. analysed the numerical results. Z.Y. and H.L. wrote the article. All authors have read and agreed to the published version of the manuscript.

Funding

This research work was funded by the National Natural Science Foundation of China (No. 51908146, 51925802, 11972123 and 51878188), Characteristic innovation projects of colleges and universities in Guangdong Province (2019KTSCX190), Technology Planning Project of Guangzhou City (No. 201807010021), National University Student Innovation and Entrepreneurship Training Programs (No. 202011347025), the authors are grateful for this support.

Conflicts of Interest

The authors declare no conflict of interest.

References

  1. Balandin, A.A.; Ghosh, S.; Bao, W.; Calizo, I.; Teweldebrhan, D.; Miao, F.; Lau, C.N. Superior thermal conductivity of single-layer graphene. Nano Lett. 2008, 8, 902–907. [Google Scholar] [CrossRef] [PubMed]
  2. Zhao, S.; Zhao, Z.; Yang, Z.; Ke, L.; Kitipornchai, S.; Yang, J. Functionally graded graphene reinforced composite structures: A review. Eng. Struct. 2020, 210, 110339. [Google Scholar] [CrossRef]
  3. Kleinschmidt, A.C.; Almeida, J.H.S.; Donato, R.K.; Schrekker, H.S.; Marques, V.C.; Corat, E.J.; Amico, S.C. Functionalized-carbon nanotubes with physisorbed ionic liquid as filler for epoxy nanocomposites. J. Nanosci. Nanotechnol. 2016, 16, 9132–9140. [Google Scholar] [CrossRef]
  4. Moghimian, N.; Nazarpour, S. The Future of Carbon: An Update on Graphene’s Dermal, Inhalation, and Gene Toxicity. Crystals 2020, 10, 718. [Google Scholar] [CrossRef]
  5. Rafiee, M.A.; Rafiee, J.; Wang, Z.; Song, H.; Yu, Z.Z.; Koratkar, N. Enhanced mechanical properties of nanocomposites at low graphene content. ACS Nano 2009, 3, 3884–3890. [Google Scholar] [CrossRef] [PubMed]
  6. Rafiee, M.A.; Rafiee, J.; Srivastava, I.; Wang, Z.; Song, H.; Yu, Z.Z.; Koratkar, N. Fracture and fatigue in graphene nanocomposites. Small 2010, 6, 179–183. [Google Scholar] [CrossRef]
  7. Liu, J.; Yan, H.; Jiang, K. Mechanical properties of graphene platelet-reinforced alumina ceramic composites. Ceram. Int. 2013, 39, 6215–6221. [Google Scholar] [CrossRef]
  8. Liu, J.; Li, Z.; Yan, H.; Jiang, K. Spark plasma sintering of alumina composites with graphene platelets and silicon carbide nanoparticles. Adv. Eng. Mater. 2014, 16, 1111–1118. [Google Scholar] [CrossRef]
  9. Tang, L.C.; Wan, Y.J.; Yan, D.; Pei, Y.B.; Zhao, L.; Li, Y.B.; Lai, G.Q. The effect of graphene dispersion on the mechanical properties of graphene/epoxy composites. Carbon 2013, 60, 16–27. [Google Scholar] [CrossRef]
  10. Zhao, X.; Zhang, Q.; Chen, D.; Lu, P. Enhanced mechanical properties of graphene-based poly (vinyl alcohol) composites. Macromolecules 2010, 43, 2357–2363. [Google Scholar] [CrossRef]
  11. Yang, J.; Wu, H.; Kitipornchai, S. Buckling and postbuckling of functionally graded multilayer graphene platelet-reinforced composite beams. Compos. Struct. 2017, 161, 111–118. [Google Scholar] [CrossRef]
  12. Yang, Z.; Tam, M.; Zhang, Y.; Kitipornchai, S.; Lv, J.; Yang, J. Nonlinear dynamic response of fg graphene platelets reinforced composite beam with edge cracks in thermal environment. Int. J. Struct. Stab. Dy. 2020, 2043005. [Google Scholar] [CrossRef]
  13. Feng, C.; Kitipornchai, S.; Yang, J. Nonlinear free vibration of functionally graded polymer composite beams reinforced with graphene nanoplatelets (GPLs). Eng. Struct. 2017, 140, 110–119. [Google Scholar] [CrossRef]
  14. Feng, C.; Kitipornchai, S.; Yang, J. Nonlinear bending of polymer nanocomposite beams reinforced with non-uniformly distributed graphene platelets (GPLs). Compos. Part. B Eng. 2017, 110, 132–140. [Google Scholar] [CrossRef]
  15. Wu, H.; Yang, J.; Kitipornchai, S. Dynamic instability of functionally graded multilayer graphene nanocomposite beams in thermal environment. Compos. Struct. 2017, 162, 244–254. [Google Scholar] [CrossRef]
  16. Dong, Y.; Li, X.; Gao, K.; Li, Y.; Yang, J. Harmonic resonances of graphene-reinforced nonlinear cylindrical shells: Effects of spinning motion and thermal environment. Nonlinear Dynam. 2020, 99, 981–1000. [Google Scholar] [CrossRef]
  17. Dong, Y.; Li, Y.; Li, X.; Yang, J. Active control of dynamic behaviors of graded graphene reinforced cylindrical shells with piezoelectric actuator/sensor layers. Appl. Math. Model. 2020, 82, 252–270. [Google Scholar] [CrossRef]
  18. Dong, Y.H.; Zhu, B.; Wang, Y.; He, L.W.; Li, Y.H.; Yang, J. Analytical prediction of the impact response of graphene reinforced spinning cylindrical shells under axial and thermal loads. Appl. Math. Model. 2019, 71, 331–348. [Google Scholar] [CrossRef]
  19. Shen, H.S.; Xiang, Y.; Fan, Y. A novel technique for nonlinear dynamic instability analysis of FG-GRC laminated plates. Thin. Walled Struct. 2019, 139, 389–397. [Google Scholar] [CrossRef]
  20. Shen, H.S.; Xiang, Y.; Fan, Y. Vibration of thermally postbuckled FG-GRC laminated plates resting on elastic foundations. J. Vib. Control 2019, 25, 1507–1520. [Google Scholar] [CrossRef]
  21. Fan, Y.; Xiang, Y.; Shen, H.S. Nonlinear forced vibration of FG-GRC laminated plates resting on visco-Pasternak foundations. Compos. Struct. 2019, 209, 443–452. [Google Scholar] [CrossRef]
  22. Gao, K.; Do, D.M.; Li, R.; Kitipornchai, S.; Yang, J. Probabilistic stability analysis of functionally graded graphene reinforced porous beams. Aerosp. Sci. Technol. 2020, 98, 105738. [Google Scholar] [CrossRef]
  23. Wang, Y.; Feng, C.; Wang, X.; Zhao, Z.; Romero, C.S.; Dong, Y.; Yang, J. Nonlinear static and dynamic responses of graphene platelets reinforced composite beam with dielectric permittivity. Appl. Math. Model. 2019, 71, 298–315. [Google Scholar] [CrossRef]
  24. Wang, Y.; Feng, C.; Santiuste, C.; Zhao, Z.; Yang, J. Buckling and postbuckling of dielectric composite beam reinforced with Graphene Platelets (GPLs). Aerosp. Sci. Technol. 2019, 91, 208–218. [Google Scholar] [CrossRef]
  25. Wang, Y.; Feng, C.; Wang, X.; Zhao, Z.; Romero, C.S.; Yang, J. Nonlinear free vibration of graphene platelets (GPLs)/polymer dielectric beam. Smart Mater. Struct. 2019, 28, 055013. [Google Scholar] [CrossRef]
  26. Yang, Z.; Yang, J.; Liu, A.; Fu, J. Nonlinear in-plane instability of functionally graded multilayer graphene reinforced composite shallow arches. Compos. Struct. 2018, 204, 301–312. [Google Scholar] [CrossRef]
  27. Yang, Z.; Zhao, S.; Yang, J.; Lv, J.; Liu, A.; Fu, J. In-plane and out-of-plane free vibrations of functionally graded composite arches with graphene reinforcements. Mech. Adv. Mater. Struct. 2020, 1–11. [Google Scholar] [CrossRef]
  28. Yang, Z.; Huang, Y.; Liu, A.; Fu, J.; Wu, D. Nonlinear in-plane buckling of fixed shallow functionally graded graphene reinforced composite arches subjected to mechanical and thermal loading. Appl. Math. Model. 2019, 70, 315–327. [Google Scholar] [CrossRef]
  29. Yang, Z.; Liu, A.; Yang, J.; Fu, J.; Yang, B. Dynamic buckling of functionally graded graphene nanoplatelets reinforced composite shallow arches under a step central point load. J. Sound. Vib. 2020, 465, 115019. [Google Scholar] [CrossRef]
  30. Zhao, S.; Yang, Z.; Kitipornchai, S.; Yang, J. Dynamic instability of functionally graded porous arches reinforced by graphene platelets. Thin Walled Struct. 2020, 147, 106491. [Google Scholar] [CrossRef]
  31. Huang, Y.; Yang, Z.; Liu, A.; Fu, J. Nonlinear buckling analysis of functionally graded graphene reinforced composite shallow arches with elastic rotational constraints under uniform radial load. Materials 2018, 11, 910. [Google Scholar] [CrossRef] [PubMed]
  32. Liu, Z.; Yang, C.; Gao, W.; Wu, D.; Li, G. Nonlinear behaviour and stability of functionally graded porous arches with graphene platelets reinforcements. Int. J. Eng. Sci. 2019, 137, 37–56. [Google Scholar] [CrossRef]
  33. Li, Z.; Zheng, J.; Chen, Y.; Sun, Q.; Zhang, Z. Effect of temperature variations on the stability mechanism of the confined functionally graded porous arch with nanocomposites reinforcement under mechanical loading. Compos. Part. B Eng. 2019, 176, 107330. [Google Scholar] [CrossRef]
  34. Affdl, J.H.; Kardos, J.L. The Halpin-Tsai equations: A review. Polym. Eng. Sci. 1976, 16, 344–352. [Google Scholar] [CrossRef]
  35. Lu, H.; Liu, L.; Liu, A.; Pi, Y.L.; Bradford, M.A.; Huang, Y. Effects of movement and rotation of supports on nonlinear instability of fixed shallow arches. Thin Walled Struct. 2020, 155, 106909. [Google Scholar] [CrossRef]
  36. Pi, Y.L.; Bradford, M.A. Non-linear in-plane analysis and buckling of pinned-fixed shallow arches subjected to a central concentrated load. Int. J. Nonlin. Mech. 2012, 47, 118–131. [Google Scholar] [CrossRef]
Figure 1. Graphene nanoplatelets (GPLs) distribution patterns.
Figure 1. Graphene nanoplatelets (GPLs) distribution patterns.
Crystals 10 01003 g001
Figure 2. Schematic configuration of the functionally graded graphene nanoplatelet-reinforced composite (FG-GPLRC) arch.
Figure 2. Schematic configuration of the functionally graded graphene nanoplatelet-reinforced composite (FG-GPLRC) arch.
Crystals 10 01003 g002
Figure 3. Comparison of analytical results and finite element results.
Figure 3. Comparison of analytical results and finite element results.
Crystals 10 01003 g003
Figure 4. Multiple equilibria of FG-X-GPLRC arch with pinned-fixed end: (a,b): λ = 2.1672 ; (c,d): λ = 4.9504 ; (e,f): λ = 8 .
Figure 4. Multiple equilibria of FG-X-GPLRC arch with pinned-fixed end: (a,b): λ = 2.1672 ; (c,d): λ = 4.9504 ; (e,f): λ = 8 .
Crystals 10 01003 g004aCrystals 10 01003 g004b
Figure 5. Distribution of dimensionless radial displacement along the arch length.
Figure 5. Distribution of dimensionless radial displacement along the arch length.
Crystals 10 01003 g005
Figure 6. Effect of GPL weight fraction on buckling loads of the FG-GPLRC arch.
Figure 6. Effect of GPL weight fraction on buckling loads of the FG-GPLRC arch.
Crystals 10 01003 g006
Figure 7. Effect of GPL dimension on buckling loads of the FG-X-GPLRC arch.
Figure 7. Effect of GPL dimension on buckling loads of the FG-X-GPLRC arch.
Crystals 10 01003 g007
Figure 8. Effect of arch’s central angle on buckling loads of the FG-X-GPLRC arch.
Figure 8. Effect of arch’s central angle on buckling loads of the FG-X-GPLRC arch.
Crystals 10 01003 g008
Table 1. Material properties of the FG-GPLRC arch.
Table 1. Material properties of the FG-GPLRC arch.
ParametersValues
Cross section (width × height)0.03 m × 0.025 m
Total number of GPLRC layers10
GPL length2.5 µm
GPL width1.5 µm
GPL thickness1.5 nm
Young’s modulus (epoxy)3 GPa
Young’s modulus (GPL)1010 GPa
Table 2. Limit point buckling load of FG-GPLRC arches.
Table 2. Limit point buckling load of FG-GPLRC arches.
PatternsWGPL (%) λ = 3.5 λ = 5.5 λ = 7.5
U-GPLRC0.10.42510.52370.5451
0.20.53110.65430.6809
0.30.63710.78480.8168
X-GPLRC0.10.45210.57960.6072
0.20.58390.76500.8047
0.30.71520.94991.0021
O-GPLRC0.10.39460.46620.4823
0.20.46680.53820.5549
0.30.53690.60980.6274
Pure epoxy0.00.31920.39320.4092
Publisher’s Note: MDPI stays neutral with regard to jurisdictional claims in published maps and institutional affiliations.

Share and Cite

MDPI and ACS Style

Yang, Z.; Xu, J.; Lu, H.; Lv, J.; Liu, A.; Fu, J. Multiple Equilibria and Buckling of Functionally Graded Graphene Nanoplatelet-Reinforced Composite Arches with Pinned-Fixed End. Crystals 2020, 10, 1003. https://doi.org/10.3390/cryst10111003

AMA Style

Yang Z, Xu J, Lu H, Lv J, Liu A, Fu J. Multiple Equilibria and Buckling of Functionally Graded Graphene Nanoplatelet-Reinforced Composite Arches with Pinned-Fixed End. Crystals. 2020; 10(11):1003. https://doi.org/10.3390/cryst10111003

Chicago/Turabian Style

Yang, Zhicheng, Jiamian Xu, Hanwen Lu, Jiangen Lv, Airong Liu, and Jiyang Fu. 2020. "Multiple Equilibria and Buckling of Functionally Graded Graphene Nanoplatelet-Reinforced Composite Arches with Pinned-Fixed End" Crystals 10, no. 11: 1003. https://doi.org/10.3390/cryst10111003

APA Style

Yang, Z., Xu, J., Lu, H., Lv, J., Liu, A., & Fu, J. (2020). Multiple Equilibria and Buckling of Functionally Graded Graphene Nanoplatelet-Reinforced Composite Arches with Pinned-Fixed End. Crystals, 10(11), 1003. https://doi.org/10.3390/cryst10111003

Note that from the first issue of 2016, this journal uses article numbers instead of page numbers. See further details here.

Article Metrics

Back to TopTop